Номер 4, страница 8 - гдз по алгебре 11 класс сборник задач Арефьева, Пирютко

Алгебра, 11 класс Сборник задач, авторы: Арефьева Ирина Глебовна, Пирютко Ольга Николаевна, издательство Народная асвета, Минск, 2020, белого цвета

Авторы: Арефьева И. Г., Пирютко О. Н.

Тип: Сборник задач

Издательство: Народная асвета

Год издания: 2020 - 2025

Уровень обучения: базовый и повышенный

Цвет обложки: белый с графиком

Допущено Министерством образования Республики Беларусь

Популярные ГДЗ в 11 классе

Глава 1. Обобщение понятия степени. Параграф 1. Степень с рациональным показателем. Степень с действительным показателем - номер 4, страница 8.

№4 (с. 8)
Условие. №4 (с. 8)
скриншот условия
Алгебра, 11 класс Сборник задач, авторы: Арефьева Ирина Глебовна, Пирютко Ольга Николаевна, издательство Народная асвета, Минск, 2020, белого цвета, страница 8, номер 4, Условие

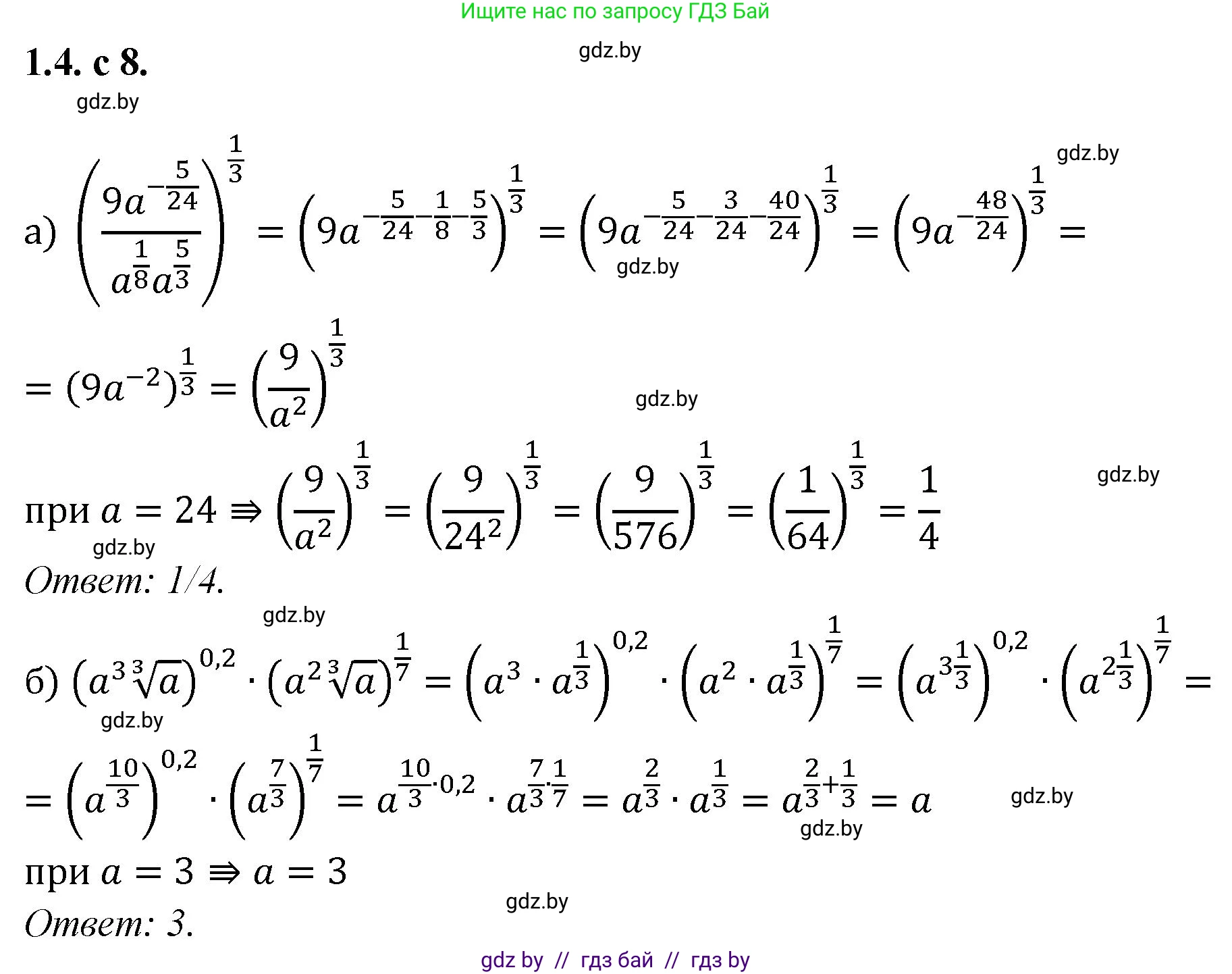
1.4. Упростите выражение и найдите его значение:

а) $\left( \frac{9a^{-\frac{5}{24}}}{a^{\frac{1}{8}} a^{\frac{5}{3}}} \right)^{\frac{1}{3}}$ при $a = 24$;

б) $(a^3 \sqrt[3]{a})^{0.2} \cdot (a^2 \sqrt[3]{a})^{\frac{1}{7}}$ при $a = 3$.

Решение. №4 (с. 8)
Алгебра, 11 класс Сборник задач, авторы: Арефьева Ирина Глебовна, Пирютко Ольга Николаевна, издательство Народная асвета, Минск, 2020, белого цвета, страница 8, номер 4, Решение
Решение 2. №4 (с. 8)

а) Упростим данное выражение при $a = 24$:

$$ \left(\frac{9a^{-\frac{5}{24}}}{a^{\frac{1}{8}}a^{\frac{5}{3}}}\right)^{\frac{1}{3}} $$

1. Сначала упростим знаменатель дроби, используя свойство степеней $x^m \cdot x^n = x^{m+n}$:

$$ a^{\frac{1}{8}}a^{\frac{5}{3}} = a^{\frac{1}{8} + \frac{5}{3}} $$

Приведем показатели к общему знаменателю 24:

$$ \frac{1}{8} + \frac{5}{3} = \frac{1 \cdot 3}{24} + \frac{5 \cdot 8}{24} = \frac{3 + 40}{24} = \frac{43}{24} $$

Таким образом, знаменатель равен $a^{\frac{43}{24}}$.

2. Теперь упростим всю дробь под знаком корня, используя свойство степеней $\frac{x^m}{x^n} = x^{m-n}$:

$$ \frac{9a^{-\frac{5}{24}}}{a^{\frac{43}{24}}} = 9 \cdot a^{-\frac{5}{24} - \frac{43}{24}} = 9 \cdot a^{-\frac{48}{24}} = 9a^{-2} $$

3. Теперь возведем полученное выражение в степень $\frac{1}{3}$:

$$ (9a^{-2})^{\frac{1}{3}} = (9)^{\frac{1}{3}} \cdot (a^{-2})^{\frac{1}{3}} = (3^2)^{\frac{1}{3}} \cdot a^{-\frac{2}{3}} = 3^{\frac{2}{3}} a^{-\frac{2}{3}} = \left(\frac{3}{a}\right)^{\frac{2}{3}} $$

4. Подставим значение $a = 24$ в упрощенное выражение:

$$ \left(\frac{3}{24}\right)^{\frac{2}{3}} = \left(\frac{1}{8}\right)^{\frac{2}{3}} = \left(\sqrt[3]{\frac{1}{8}}\right)^2 = \left(\frac{1}{2}\right)^2 = \frac{1}{4} $$

Ответ: $\frac{1}{4}$

б) Упростим данное выражение при $a = 3$:

$$ (a^3 \sqrt[3]{a})^{0,2} \cdot (a^2 \sqrt[3]{a})^{\frac{1}{7}} $$

1. Преобразуем десятичную дробь в обыкновенную и представим корни в виде степеней с дробным показателем:

$$ 0,2 = \frac{2}{10} = \frac{1}{5} $$ $$ \sqrt[3]{a} = a^{\frac{1}{3}} $$

Выражение принимает вид:

$$ (a^3 \cdot a^{\frac{1}{3}})^{\frac{1}{5}} \cdot (a^2 \cdot a^{\frac{1}{3}})^{\frac{1}{7}} $$

2. Упростим выражения в скобках, используя свойство $x^m \cdot x^n = x^{m+n}$:

Для первой скобки: $a^3 \cdot a^{\frac{1}{3}} = a^{3 + \frac{1}{3}} = a^{\frac{9}{3} + \frac{1}{3}} = a^{\frac{10}{3}}$

Для второй скобки: $a^2 \cdot a^{\frac{1}{3}} = a^{2 + \frac{1}{3}} = a^{\frac{6}{3} + \frac{1}{3}} = a^{\frac{7}{3}}$

3. Подставим упрощенные выражения обратно и применим свойство $(x^m)^n = x^{mn}$:

$$ (a^{\frac{10}{3}})^{\frac{1}{5}} \cdot (a^{\frac{7}{3}})^{\frac{1}{7}} = a^{\frac{10}{3} \cdot \frac{1}{5}} \cdot a^{\frac{7}{3} \cdot \frac{1}{7}} = a^{\frac{10}{15}} \cdot a^{\frac{7}{21}} = a^{\frac{2}{3}} \cdot a^{\frac{1}{3}} $$

4. Сложим показатели степеней:

$$ a^{\frac{2}{3} + \frac{1}{3}} = a^{\frac{3}{3}} = a^1 = a $$

5. Подставим значение $a = 3$:

Выражение равно $a$, следовательно, его значение равно 3.

Ответ: 3

Помогло решение? Оставьте отзыв в комментариях ниже.

Присоединяйтесь к Телеграм-группе @gdz_by_belarus

Присоединиться

Мы подготовили для вас ответ c подробным объяснением домашего задания по алгебре за 11 класс, для упражнения номер 4 расположенного на странице 8 к сборнику задач 2020 года издания для учащихся школ и гимназий.

Теперь на нашем сайте ГДЗ.ТОП вы всегда легко и бесплатно найдёте условие с правильным ответом на вопрос «Как решить ДЗ» и «Как сделать» задание по алгебре к упражнению №4 (с. 8), авторов: Арефьева (Ирина Глебовна), Пирютко (Ольга Николаевна), базовый и повышенный уровень обучения учебного пособия издательства Народная асвета.