Номер 22, страница 21 - гдз по алгебре 11 класс сборник задач Арефьева, Пирютко

Алгебра, 11 класс Сборник задач, авторы: Арефьева Ирина Глебовна, Пирютко Ольга Николаевна, издательство Народная асвета, Минск, 2020, белого цвета

Авторы: Арефьева И. Г., Пирютко О. Н.

Тип: Сборник задач

Издательство: Народная асвета

Год издания: 2020 - 2025

Уровень обучения: базовый и повышенный

Цвет обложки: белый с графиком

Допущено Министерством образования Республики Беларусь

Популярные ГДЗ в 11 классе

Глава 2. Показательная функция. Параграф 4. Показательная функция. Производная показательной функции - номер 22, страница 21.

№22 (с. 21)
Условие. №22 (с. 21)
скриншот условия
Алгебра, 11 класс Сборник задач, авторы: Арефьева Ирина Глебовна, Пирютко Ольга Николаевна, издательство Народная асвета, Минск, 2020, белого цвета, страница 21, номер 22, Условие

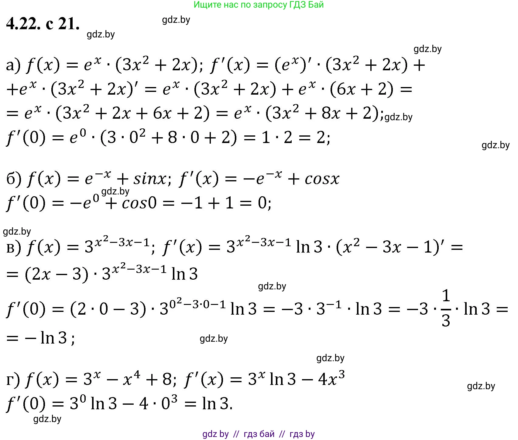
4.22. Вычислите f'(0):

а) $f(x) = e^x \cdot (3x^2 + 2x);$

б) $f(x) = e^{-x} + \sin x;$

в) $f(x) = 3^{x^2 - 3x - 1};$

г) $f(x) = 3^x - x^4 + 8.$

Решение. №22 (с. 21)
Алгебра, 11 класс Сборник задач, авторы: Арефьева Ирина Глебовна, Пирютко Ольга Николаевна, издательство Народная асвета, Минск, 2020, белого цвета, страница 21, номер 22, Решение
Решение 2. №22 (с. 21)

а) Дана функция $f(x) = e^x \cdot (3x^2 + 2x)$.

Для нахождения производной $f'(x)$ воспользуемся правилом дифференцирования произведения функций $(u \cdot v)' = u'v + uv'$.

Пусть $u(x) = e^x$ и $v(x) = 3x^2 + 2x$.

Найдём производные этих функций:

$u'(x) = (e^x)' = e^x$

$v'(x) = (3x^2 + 2x)' = 3 \cdot 2x + 2 = 6x + 2$

Теперь применим правило произведения:

$f'(x) = (e^x)' \cdot (3x^2 + 2x) + e^x \cdot (3x^2 + 2x)'$

$f'(x) = e^x(3x^2 + 2x) + e^x(6x + 2)$

Вынесем общий множитель $e^x$ за скобки и упростим выражение в скобках:

$f'(x) = e^x(3x^2 + 2x + 6x + 2) = e^x(3x^2 + 8x + 2)$

Теперь вычислим значение производной в точке $x = 0$:

$f'(0) = e^0(3 \cdot 0^2 + 8 \cdot 0 + 2) = 1 \cdot (0 + 0 + 2) = 2$

Ответ: 2

б) Дана функция $f(x) = e^{-x} + \sin x$.

Для нахождения производной $f'(x)$ воспользуемся правилом дифференцирования суммы функций $(u+v)' = u' + v'$.

Производная первого слагаемого $e^{-x}$ находится по правилу дифференцирования сложной функции: $(e^{u(x)})' = e^{u(x)} \cdot u'(x)$.

$(e^{-x})' = e^{-x} \cdot (-x)' = e^{-x} \cdot (-1) = -e^{-x}$

Производная второго слагаемого: $(\sin x)' = \cos x$.

Таким образом, производная исходной функции:

$f'(x) = -e^{-x} + \cos x$

Вычислим значение производной в точке $x = 0$:

$f'(0) = -e^{-0} + \cos(0) = -1 + 1 = 0$

Ответ: 0

в) Дана функция $f(x) = 3^{x^2 - 3x - 1}$.

Это сложная функция вида $a^{u(x)}$, её производная находится по формуле $(a^{u(x)})' = a^{u(x)} \cdot \ln a \cdot u'(x)$.

В данном случае $a = 3$ и $u(x) = x^2 - 3x - 1$.

Найдём производную показателя степени $u(x)$:

$u'(x) = (x^2 - 3x - 1)' = 2x - 3$

Теперь найдем производную $f'(x)$:

$f'(x) = 3^{x^2 - 3x - 1} \cdot \ln 3 \cdot (2x - 3)$

Вычислим значение производной в точке $x = 0$:

$f'(0) = 3^{0^2 - 3 \cdot 0 - 1} \cdot \ln 3 \cdot (2 \cdot 0 - 3)$

$f'(0) = 3^{-1} \cdot \ln 3 \cdot (-3) = \frac{1}{3} \cdot (-3) \cdot \ln 3 = -1 \cdot \ln 3 = -\ln 3$

Ответ: $-\ln 3$

г) Дана функция $f(x) = 3^x - x^4 + 8$.

Для нахождения производной $f'(x)$ применим правила дифференцирования к каждому слагаемому по отдельности.

Производная показательной функции: $(3^x)' = 3^x \ln 3$.

Производная степенной функции: $(x^4)' = 4x^3$.

Производная константы: $(8)' = 0$.

Соберём производные вместе:

$f'(x) = 3^x \ln 3 - 4x^3 + 0 = 3^x \ln 3 - 4x^3$

Вычислим значение производной в точке $x = 0$:

$f'(0) = 3^0 \ln 3 - 4 \cdot 0^3 = 1 \cdot \ln 3 - 0 = \ln 3$

Ответ: $\ln 3$

Помогло решение? Оставьте отзыв в комментариях ниже.

Присоединяйтесь к Телеграм-группе @gdz_by_belarus

Присоединиться

Мы подготовили для вас ответ c подробным объяснением домашего задания по алгебре за 11 класс, для упражнения номер 22 расположенного на странице 21 к сборнику задач 2020 года издания для учащихся школ и гимназий.

Теперь на нашем сайте ГДЗ.ТОП вы всегда легко и бесплатно найдёте условие с правильным ответом на вопрос «Как решить ДЗ» и «Как сделать» задание по алгебре к упражнению №22 (с. 21), авторов: Арефьева (Ирина Глебовна), Пирютко (Ольга Николаевна), базовый и повышенный уровень обучения учебного пособия издательства Народная асвета.