Номер 34, страница 33 - гдз по алгебре 11 класс сборник задач Арефьева, Пирютко

Алгебра, 11 класс Сборник задач, авторы: Арефьева Ирина Глебовна, Пирютко Ольга Николаевна, издательство Народная асвета, Минск, 2020, белого цвета

Авторы: Арефьева И. Г., Пирютко О. Н.

Тип: Сборник задач

Издательство: Народная асвета

Год издания: 2020 - 2025

Уровень обучения: базовый и повышенный

Цвет обложки: белый с графиком

Допущено Министерством образования Республики Беларусь

Популярные ГДЗ в 11 классе

Глава 2. Показательная функция. Параграф 5. Показательные уравнения - номер 34, страница 33.

№34 (с. 33)
Условие. №34 (с. 33)
скриншот условия
Алгебра, 11 класс Сборник задач, авторы: Арефьева Ирина Глебовна, Пирютко Ольга Николаевна, издательство Народная асвета, Минск, 2020, белого цвета, страница 33, номер 34, Условие

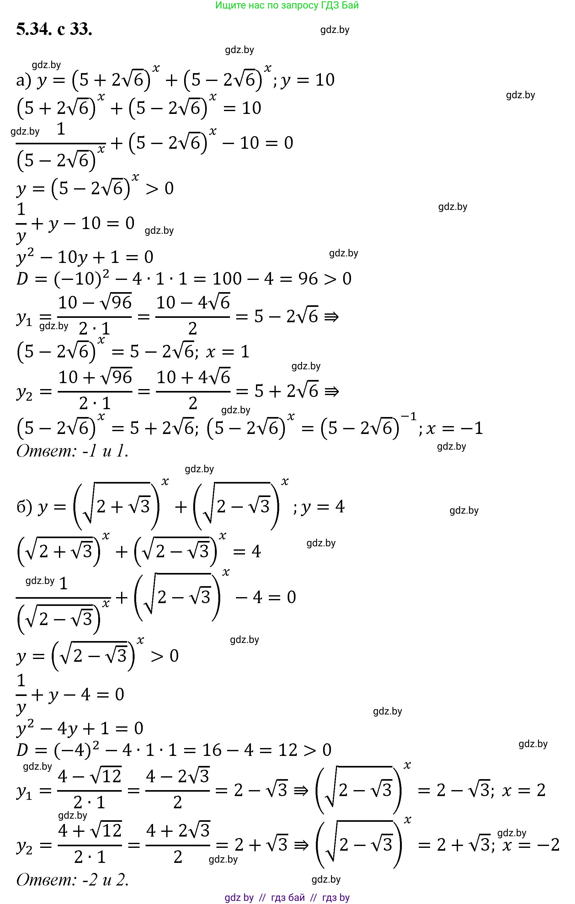
5.34. Найдите абсциссы точек пересечения графика функции:

a) $y = (5 + 2\sqrt{6})^x + (5 - 2\sqrt{6})^x$ и прямой $y = 10$;

б) $y = (\sqrt{2 + \sqrt{3}})^x + (\sqrt{2 - \sqrt{3}})^x$ и прямой $y = 4$.

Решение. №34 (с. 33)
Алгебра, 11 класс Сборник задач, авторы: Арефьева Ирина Глебовна, Пирютко Ольга Николаевна, издательство Народная асвета, Минск, 2020, белого цвета, страница 33, номер 34, Решение
Решение 2. №34 (с. 33)

а) Чтобы найти абсциссы точек пересечения, необходимо приравнять правые части уравнений функций:

$(5+2\sqrt{6})^x + (5-2\sqrt{6})^x = 10$

Заметим, что основания степеней $(5+2\sqrt{6})$ и $(5-2\sqrt{6})$ являются взаимно обратными числами, так как их произведение равно 1:

$(5+2\sqrt{6})(5-2\sqrt{6}) = 5^2 - (2\sqrt{6})^2 = 25 - 4 \cdot 6 = 25 - 24 = 1$.

Из этого следует, что $5-2\sqrt{6} = \frac{1}{5+2\sqrt{6}} = (5+2\sqrt{6})^{-1}$.

Введем замену: пусть $t = (5+2\sqrt{6})^x$. Поскольку основание степени положительно, то $t > 0$.

Подставив замену в исходное уравнение, получим:

$t + \frac{1}{t} = 10$

Умножим обе части уравнения на $t$ (так как $t \neq 0$):

$t^2 + 1 = 10t$

$t^2 - 10t + 1 = 0$

Решим полученное квадратное уравнение с помощью дискриминанта:

$D = b^2 - 4ac = (-10)^2 - 4 \cdot 1 \cdot 1 = 100 - 4 = 96$

$t_{1,2} = \frac{-b \pm \sqrt{D}}{2a} = \frac{10 \pm \sqrt{96}}{2} = \frac{10 \pm 4\sqrt{6}}{2} = 5 \pm 2\sqrt{6}$

Оба корня $t_1 = 5 + 2\sqrt{6}$ и $t_2 = 5 - 2\sqrt{6}$ являются положительными, так как $5 = \sqrt{25}$, а $2\sqrt{6} = \sqrt{24}$, следовательно $5 > 2\sqrt{6}$.

Теперь выполним обратную замену:

1) $(5+2\sqrt{6})^x = t_1 = 5+2\sqrt{6}$
$(5+2\sqrt{6})^x = (5+2\sqrt{6})^1$
$x_1 = 1$

2) $(5+2\sqrt{6})^x = t_2 = 5-2\sqrt{6}$
Поскольку $5-2\sqrt{6} = (5+2\sqrt{6})^{-1}$, уравнение принимает вид:
$(5+2\sqrt{6})^x = (5+2\sqrt{6})^{-1}$
$x_2 = -1$

Ответ: -1, 1.

б) Аналогично пункту а), приравняем правые части уравнений:

$(\sqrt{2+\sqrt{3}})^x + (\sqrt{2-\sqrt{3}})^x = 4$

Проверим произведение оснований степеней:

$\sqrt{2+\sqrt{3}} \cdot \sqrt{2-\sqrt{3}} = \sqrt{(2+\sqrt{3})(2-\sqrt{3})} = \sqrt{2^2 - (\sqrt{3})^2} = \sqrt{4-3} = \sqrt{1} = 1$.

Основания являются взаимно обратными: $\sqrt{2-\sqrt{3}} = \frac{1}{\sqrt{2+\sqrt{3}}} = (\sqrt{2+\sqrt{3}})^{-1}$.

Введем замену: пусть $t = (\sqrt{2+\sqrt{3}})^x$, где $t > 0$.

Уравнение принимает вид:

$t + \frac{1}{t} = 4$

Умножим на $t \neq 0$:

$t^2 + 1 = 4t$

$t^2 - 4t + 1 = 0$

Решим квадратное уравнение:

$D = (-4)^2 - 4 \cdot 1 \cdot 1 = 16 - 4 = 12$

$t_{1,2} = \frac{4 \pm \sqrt{12}}{2} = \frac{4 \pm 2\sqrt{3}}{2} = 2 \pm \sqrt{3}$

Оба корня положительны ($2 = \sqrt{4}$, поэтому $2 > \sqrt{3}$).

Выполним обратную замену:

1) $(\sqrt{2+\sqrt{3}})^x = t_1 = 2+\sqrt{3}$
Заметим, что $2+\sqrt{3} = (\sqrt{2+\sqrt{3}})^2$.
$(\sqrt{2+\sqrt{3}})^x = (\sqrt{2+\sqrt{3}})^2$
$x_1 = 2$

2) $(\sqrt{2+\sqrt{3}})^x = t_2 = 2-\sqrt{3}$
Поскольку $2-\sqrt{3} = \frac{1}{2+\sqrt{3}} = \frac{1}{(\sqrt{2+\sqrt{3}})^2} = (\sqrt{2+\sqrt{3}})^{-2}$, получаем:
$(\sqrt{2+\sqrt{3}})^x = (\sqrt{2+\sqrt{3}})^{-2}$
$x_2 = -2$

Ответ: -2, 2.

Помогло решение? Оставьте отзыв в комментариях ниже.

Присоединяйтесь к Телеграм-группе @gdz_by_belarus

Присоединиться

Мы подготовили для вас ответ c подробным объяснением домашего задания по алгебре за 11 класс, для упражнения номер 34 расположенного на странице 33 к сборнику задач 2020 года издания для учащихся школ и гимназий.

Теперь на нашем сайте ГДЗ.ТОП вы всегда легко и бесплатно найдёте условие с правильным ответом на вопрос «Как решить ДЗ» и «Как сделать» задание по алгебре к упражнению №34 (с. 33), авторов: Арефьева (Ирина Глебовна), Пирютко (Ольга Николаевна), базовый и повышенный уровень обучения учебного пособия издательства Народная асвета.