Номер 32.28, страница 155 - гдз по алгебре 7-9 класс сборник задач Арефьева, Пирютко
Авторы: Арефьева И. Г., Пирютко О. Н.
Тип: Сборник задач
Издательство: Народная асвета
Год издания: 2020 - 2025
Цвет обложки: синий с графиками
Допущено Министерством образования Республики Беларусь
Популярные ГДЗ в 7 классе
9 класс. Параграф 32. Рациональная дробь. Сокращение рациональных дробей - номер 32.28, страница 155.
№32.28 (с. 155)
Условие. №32.28 (с. 155)
скриншот условия
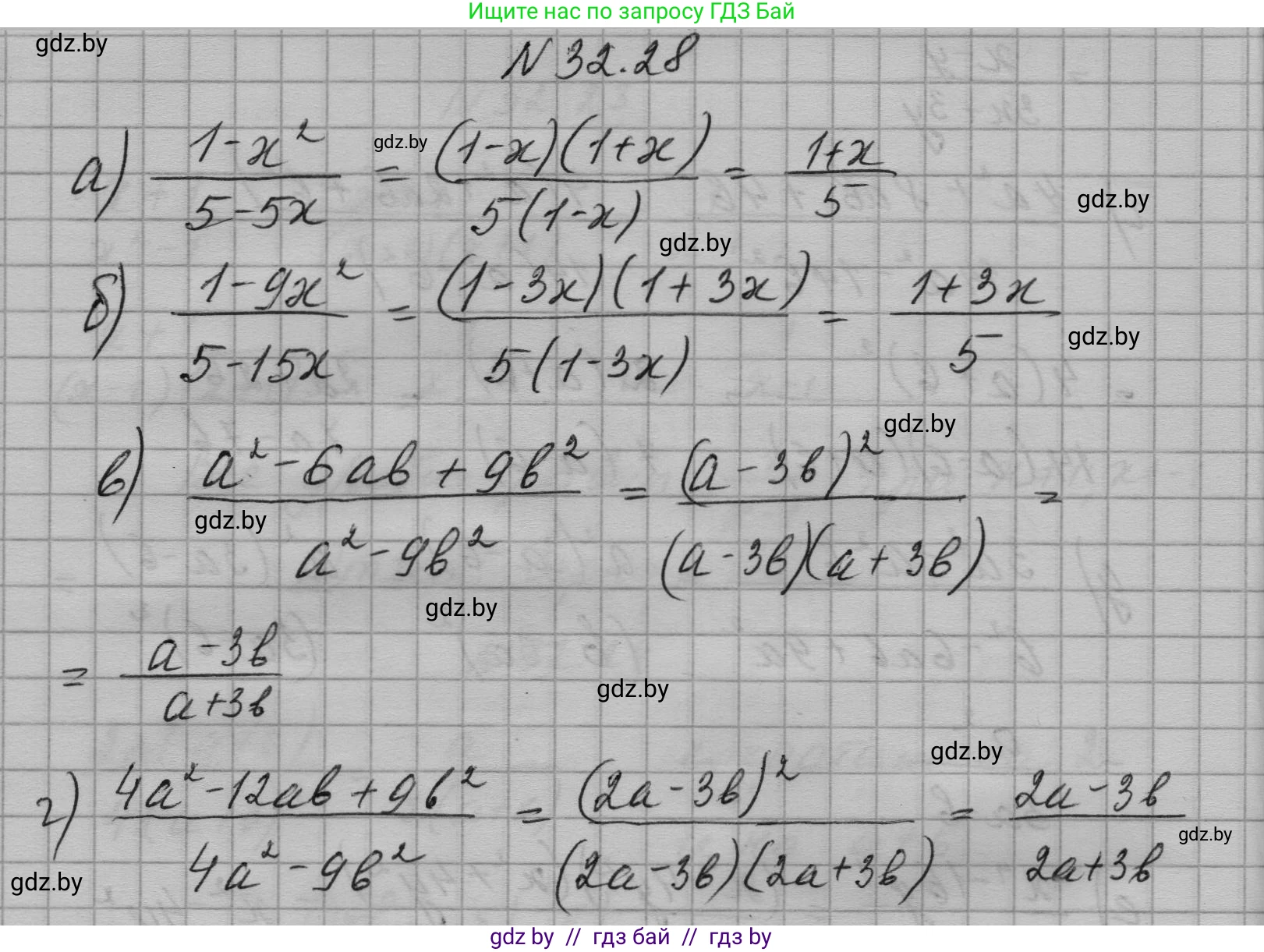
32.28. Сократите дробь, используя для разложения на множители формулы сокращенного умножения:
а) $\frac{1-x^2}{5-5x}$;
б) $\frac{1-9x^2}{5-15x}$;
в) $\frac{a^2-6ab+9b^2}{a^2-9b^2}$;
г) $\frac{4a^2-12ab+9b^2}{4a^2-9b^2}$.
Решение. №32.28 (с. 155)
Решение 2. №32.28 (с. 155)
а) Чтобы сократить дробь $ \frac{1-x^2}{5-5x} $, разложим числитель и знаменатель на множители.
В числителе используем формулу разности квадратов $a^2 - b^2 = (a-b)(a+b)$:
$1 - x^2 = 1^2 - x^2 = (1-x)(1+x)$.
В знаменателе вынесем общий множитель 5 за скобки:
$5 - 5x = 5(1-x)$.
Теперь подставим разложенные выражения обратно в дробь:
$ \frac{1-x^2}{5-5x} = \frac{(1-x)(1+x)}{5(1-x)} $.
Сократим общий множитель $(1-x)$ в числителе и знаменателе (при условии, что $1-x \neq 0$, то есть $x \neq 1$):
$ \frac{\cancel{(1-x)}(1+x)}{5\cancel{(1-x)}} = \frac{1+x}{5} $.
Ответ: $ \frac{1+x}{5} $.
б) Рассмотрим дробь $ \frac{1-9x^2}{5-15x} $.
Разложим числитель на множители по формуле разности квадратов $a^2 - b^2 = (a-b)(a+b)$. В данном случае $a=1$ и $b=3x$:
$1 - 9x^2 = 1^2 - (3x)^2 = (1-3x)(1+3x)$.
В знаменателе вынесем общий множитель 5 за скобки:
$5 - 15x = 5(1-3x)$.
Подставим разложения в дробь:
$ \frac{1-9x^2}{5-15x} = \frac{(1-3x)(1+3x)}{5(1-3x)} $.
Сократим общий множитель $(1-3x)$ (при условии, что $1-3x \neq 0$, то есть $x \neq \frac{1}{3}$):
$ \frac{\cancel{(1-3x)}(1+3x)}{5\cancel{(1-3x)}} = \frac{1+3x}{5} $.
Ответ: $ \frac{1+3x}{5} $.
в) Рассмотрим дробь $ \frac{a^2-6ab+9b^2}{a^2-9b^2} $.
Разложим числитель, используя формулу квадрата разности $(x-y)^2 = x^2-2xy+y^2$. В данном случае $x=a$ и $y=3b$:
$a^2 - 6ab + 9b^2 = a^2 - 2 \cdot a \cdot (3b) + (3b)^2 = (a-3b)^2$.
Разложим знаменатель по формуле разности квадратов $x^2 - y^2 = (x-y)(x+y)$. Здесь $x=a$ и $y=3b$:
$a^2 - 9b^2 = a^2 - (3b)^2 = (a-3b)(a+3b)$.
Подставим разложения в дробь:
$ \frac{(a-3b)^2}{(a-3b)(a+3b)} = \frac{(a-3b)(a-3b)}{(a-3b)(a+3b)} $.
Сократим общий множитель $(a-3b)$ (при условии, что $a-3b \neq 0$, то есть $a \neq 3b$):
$ \frac{\cancel{(a-3b)}(a-3b)}{\cancel{(a-3b)}(a+3b)} = \frac{a-3b}{a+3b} $.
Ответ: $ \frac{a-3b}{a+3b} $.
г) Рассмотрим дробь $ \frac{4a^2-12ab+9b^2}{4a^2-9b^2} $.
Числитель является полным квадратом разности $(x-y)^2 = x^2-2xy+y^2$. Здесь $x=2a$ и $y=3b$:
$4a^2 - 12ab + 9b^2 = (2a)^2 - 2 \cdot (2a) \cdot (3b) + (3b)^2 = (2a-3b)^2$.
Знаменатель является разностью квадратов $x^2 - y^2 = (x-y)(x+y)$. Здесь $x=2a$ и $y=3b$:
$4a^2 - 9b^2 = (2a)^2 - (3b)^2 = (2a-3b)(2a+3b)$.
Подставим разложения в дробь:
$ \frac{(2a-3b)^2}{(2a-3b)(2a+3b)} = \frac{(2a-3b)(2a-3b)}{(2a-3b)(2a+3b)} $.
Сократим общий множитель $(2a-3b)$ (при условии, что $2a-3b \neq 0$, то есть $a \neq \frac{3}{2}b$):
$ \frac{\cancel{(2a-3b)}(2a-3b)}{\cancel{(2a-3b)}(2a+3b)} = \frac{2a-3b}{2a+3b} $.
Ответ: $ \frac{2a-3b}{2a+3b} $.
Другие задания:
Помогло решение? Оставьте отзыв в комментариях ниже.
Присоединяйтесь к Телеграм-группе @gdz_by_belarus
ПрисоединитьсяМы подготовили для вас ответ c подробным объяснением домашего задания по алгебре за 7-9 класс, для упражнения номер 32.28 расположенного на странице 155 к сборнику задач 2020 года издания для учащихся школ и гимназий.
Теперь на нашем сайте ГДЗ.ТОП вы всегда легко и бесплатно найдёте условие с правильным ответом на вопрос «Как решить ДЗ» и «Как сделать» задание по алгебре к упражнению №32.28 (с. 155), авторов: Арефьева (Ирина Глебовна), Пирютко (Ольга Николаевна), учебного пособия издательства Народная асвета.