Номер 32.32, страница 155 - гдз по алгебре 7-9 класс сборник задач Арефьева, Пирютко

Алгебра, 7-9 класс Сборник задач, авторы: Арефьева Ирина Глебовна, Пирютко Ольга Николаевна, издательство Народная асвета, Минск, 2020

Авторы: Арефьева И. Г., Пирютко О. Н.

Тип: Сборник задач

Издательство: Народная асвета

Год издания: 2020 - 2025

Цвет обложки: синий с графиками

Допущено Министерством образования Республики Беларусь

Популярные ГДЗ в 7 классе

9 класс. Параграф 32. Рациональная дробь. Сокращение рациональных дробей - номер 32.32, страница 155.

№32.32 (с. 155)
Условие. №32.32 (с. 155)
скриншот условия
Алгебра, 7-9 класс Сборник задач, авторы: Арефьева Ирина Глебовна, Пирютко Ольга Николаевна, издательство Народная асвета, Минск, 2020, страница 155, номер 32.32, Условие

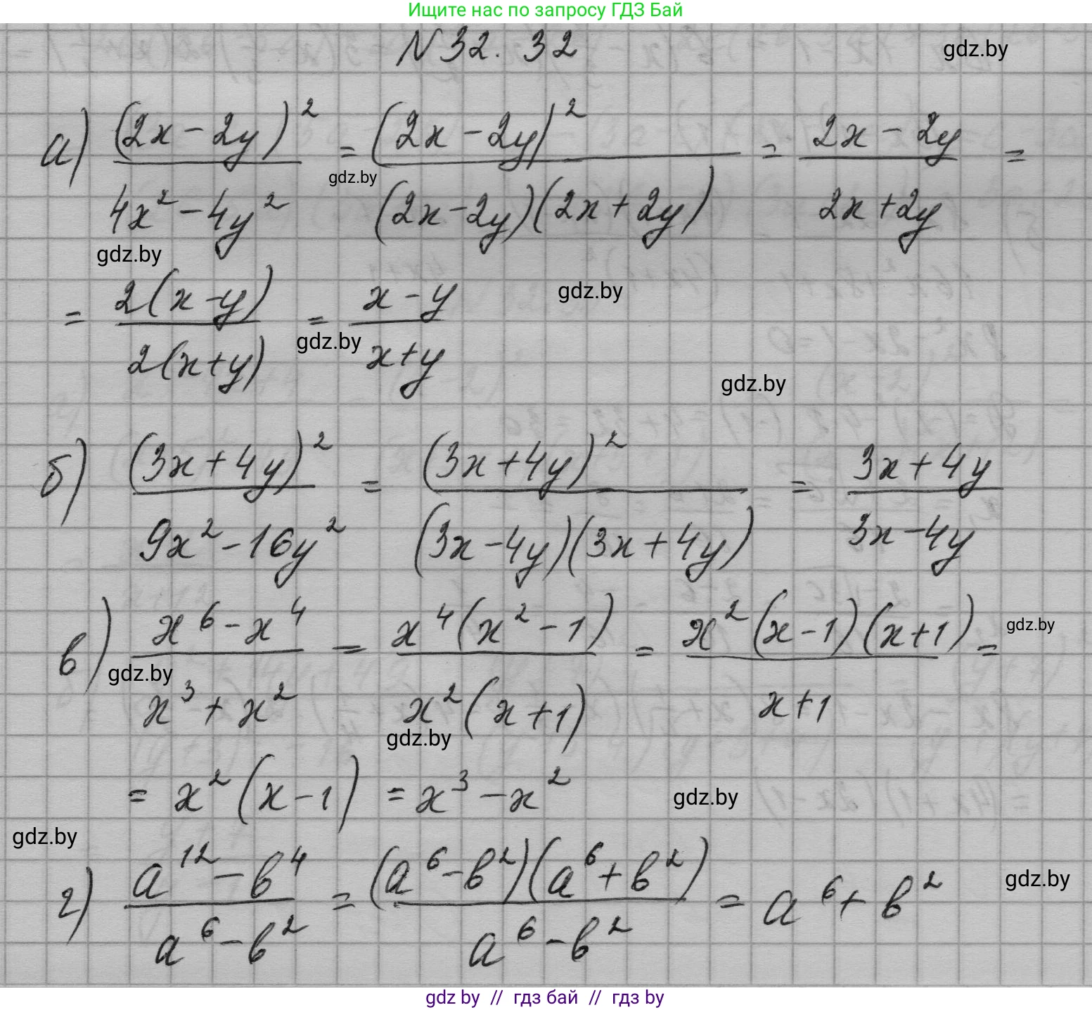
32.32. Сократите дробь:

а) $\frac{(2x - 2y)^2}{4x^2 - 4y^2}$;

б) $\frac{(3x + 4y)^2}{9x^2 - 16y^2}$;

В) $\frac{x^6 - x^4}{x^3 + x^2}$;

Г) $\frac{a^{12} - b^4}{a^6 - b^2}$.

Решение. №32.32 (с. 155)
Алгебра, 7-9 класс Сборник задач, авторы: Арефьева Ирина Глебовна, Пирютко Ольга Николаевна, издательство Народная асвета, Минск, 2020, страница 155, номер 32.32, Решение
Решение 2. №32.32 (с. 155)

а) Чтобы сократить дробь $ \frac{(2x - 2y)^2}{4x^2 - 4y^2} $, разложим на множители числитель и знаменатель.
В числителе вынесем общий множитель 2 за скобки: $ (2x - 2y)^2 = (2(x - y))^2 = 2^2(x - y)^2 = 4(x - y)^2 $.
В знаменателе вынесем общий множитель 4 и применим формулу разности квадратов $a^2 - b^2 = (a - b)(a + b)$: $ 4x^2 - 4y^2 = 4(x^2 - y^2) = 4(x - y)(x + y) $.
Теперь подставим полученные выражения обратно в дробь: $ \frac{4(x - y)^2}{4(x - y)(x + y)} $.
Сократим общие множители 4 и $(x - y)$: $ \frac{\cancel{4}(x - y)^{\cancel{2}}}{\cancel{4}\cancel{(x - y)}(x + y)} = \frac{x - y}{x + y} $.
Ответ: $ \frac{x - y}{x + y} $

б) Чтобы сократить дробь $ \frac{(3x + 4y)^2}{9x^2 - 16y^2} $, разложим знаменатель на множители.
Знаменатель $9x^2 - 16y^2$ является разностью квадратов, так как $9x^2 = (3x)^2$ и $16y^2 = (4y)^2$. Применим формулу $a^2 - b^2 = (a - b)(a + b)$: $ 9x^2 - 16y^2 = (3x)^2 - (4y)^2 = (3x - 4y)(3x + 4y) $.
Подставим разложенный знаменатель в дробь: $ \frac{(3x + 4y)^2}{(3x - 4y)(3x + 4y)} $.
Сократим общий множитель $(3x + 4y)$: $ \frac{(3x + 4y)^{\cancel{2}}}{(3x - 4y)\cancel{(3x + 4y)}} = \frac{3x + 4y}{3x - 4y} $.
Ответ: $ \frac{3x + 4y}{3x - 4y} $

в) Чтобы сократить дробь $ \frac{x^6 - x^4}{x^3 + x^2} $, разложим на множители числитель и знаменатель.
В числителе вынесем за скобки общий множитель с наименьшей степенью, то есть $x^4$: $ x^6 - x^4 = x^4(x^2 - 1) $.
Выражение в скобках $x^2 - 1$ является разностью квадратов, поэтому разложим его дальше: $ x^4(x - 1)(x + 1) $.
В знаменателе вынесем за скобки общий множитель $x^2$: $ x^3 + x^2 = x^2(x + 1) $.
Подставим полученные выражения в дробь: $ \frac{x^4(x - 1)(x + 1)}{x^2(x + 1)} $.
Сократим общие множители $x^2$ и $(x + 1)$: $ \frac{x^{\cancel{4}2}(x - 1)\cancel{(x + 1)}}{\cancel{x^2}\cancel{(x + 1)}} = x^2(x - 1) $.
Ответ: $ x^2(x - 1) $

г) Чтобы сократить дробь $ \frac{a^{12} - b^4}{a^6 - b^2} $, разложим числитель на множители.
Числитель $a^{12} - b^4$ можно представить как разность квадратов, так как $a^{12} = (a^6)^2$ и $b^4 = (b^2)^2$.
Применим формулу разности квадратов $x^2 - y^2 = (x - y)(x + y)$, где $x = a^6$ и $y = b^2$: $ a^{12} - b^4 = (a^6)^2 - (b^2)^2 = (a^6 - b^2)(a^6 + b^2) $.
Подставим разложенный числитель в дробь: $ \frac{(a^6 - b^2)(a^6 + b^2)}{a^6 - b^2} $.
Сократим общий множитель $(a^6 - b^2)$: $ \frac{\cancel{(a^6 - b^2)}(a^6 + b^2)}{\cancel{a^6 - b^2}} = a^6 + b^2 $.
Ответ: $ a^6 + b^2 $

Помогло решение? Оставьте отзыв в комментариях ниже.

Присоединяйтесь к Телеграм-группе @gdz_by_belarus

Присоединиться

Мы подготовили для вас ответ c подробным объяснением домашего задания по алгебре за 7-9 класс, для упражнения номер 32.32 расположенного на странице 155 к сборнику задач 2020 года издания для учащихся школ и гимназий.

Теперь на нашем сайте ГДЗ.ТОП вы всегда легко и бесплатно найдёте условие с правильным ответом на вопрос «Как решить ДЗ» и «Как сделать» задание по алгебре к упражнению №32.32 (с. 155), авторов: Арефьева (Ирина Глебовна), Пирютко (Ольга Николаевна), учебного пособия издательства Народная асвета.