Номер 32.34, страница 155 - гдз по алгебре 7-9 класс сборник задач Арефьева, Пирютко

Алгебра, 7-9 класс Сборник задач, авторы: Арефьева Ирина Глебовна, Пирютко Ольга Николаевна, издательство Народная асвета, Минск, 2020

Авторы: Арефьева И. Г., Пирютко О. Н.

Тип: Сборник задач

Издательство: Народная асвета

Год издания: 2020 - 2025

Цвет обложки: синий с графиками

Допущено Министерством образования Республики Беларусь

Популярные ГДЗ в 7 классе

9 класс. Параграф 32. Рациональная дробь. Сокращение рациональных дробей - номер 32.34, страница 155.

№32.34 (с. 155)
Условие. №32.34 (с. 155)
скриншот условия
Алгебра, 7-9 класс Сборник задач, авторы: Арефьева Ирина Глебовна, Пирютко Ольга Николаевна, издательство Народная асвета, Минск, 2020, страница 155, номер 32.34, Условие

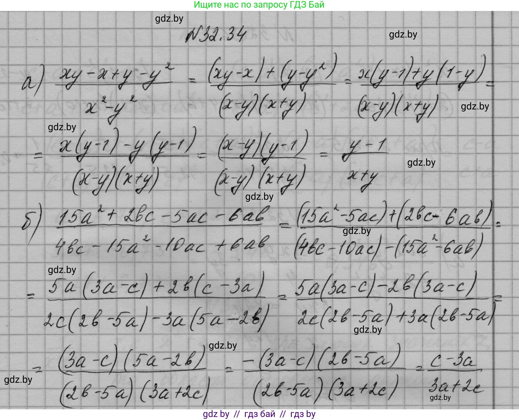
32.34. Сократите дробь, используя алгоритм сокращения:

a) $\frac{xy - x + y - y^2}{x^2 - y^2}$;

б) $\frac{15a^2 + 2bc - 5ac - 6ab}{4bc - 15a^2 - 10ac + 6ab}$.

Решение. №32.34 (с. 155)
Алгебра, 7-9 класс Сборник задач, авторы: Арефьева Ирина Глебовна, Пирютко Ольга Николаевна, издательство Народная асвета, Минск, 2020, страница 155, номер 32.34, Решение
Решение 2. №32.34 (с. 155)

а) $ \frac{xy - x + y - y^2}{x^2 - y^2} $

Алгоритм сокращения дроби предполагает разложение числителя и знаменателя на множители с последующим сокращением общих множителей.

1. Разложим на множители числитель $xy - x + y - y^2$. Для этого воспользуемся методом группировки.

Сгруппируем слагаемые: $(xy - x) + (y - y^2)$.

В каждой группе вынесем общий множитель за скобки:

$x(y - 1) + y(1 - y)$

Выражения в скобках отличаются только знаком. Заметим, что $1 - y = -(y - 1)$. Подставим это в выражение:

$x(y - 1) - y(y - 1)$

Теперь вынесем общий множитель $(y - 1)$ за скобки:

$(y - 1)(x - y)$

Таким образом, числитель равен $(y - 1)(x - y)$.

2. Разложим на множители знаменатель $x^2 - y^2$.

Применим формулу разности квадратов: $a^2 - b^2 = (a - b)(a + b)$.

$x^2 - y^2 = (x - y)(x + y)$

Таким образом, знаменатель равен $(x - y)(x + y)$.

3. Подставим разложенные на множители числитель и знаменатель обратно в дробь и сократим.

$ \frac{(y - 1)(x - y)}{(x - y)(x + y)} $

Сократим общий множитель $(x - y)$, предполагая, что $x - y \neq 0$.

$ \frac{y - 1}{x + y} $

Ответ: $ \frac{y - 1}{x + y} $

б) $ \frac{15a^2 + 2bc - 5ac - 6ab}{4bc - 15a^2 - 10ac + 6ab} $

Действуем по тому же алгоритму.

1. Разложим на множители числитель $15a^2 + 2bc - 5ac - 6ab$. Перегруппируем слагаемые и применим метод группировки.

$(15a^2 - 5ac) - (6ab - 2bc)$

Вынесем общие множители из каждой группы:

$5a(3a - c) - 2b(3a - c)$

Теперь вынесем общий множитель $(3a - c)$:

$(5a - 2b)(3a - c)$

Таким образом, числитель равен $(5a - 2b)(3a - c)$.

2. Разложим на множители знаменатель $4bc - 15a^2 - 10ac + 6ab$. Перегруппируем слагаемые.

$(-15a^2 + 6ab) - (10ac - 4bc)$

Вынесем общие множители из каждой группы:

$-3a(5a - 2b) - 2c(5a - 2b)$

Теперь вынесем общий множитель $(5a - 2b)$:

$(5a - 2b)(-3a - 2c) = -(5a - 2b)(3a + 2c)$

Таким образом, знаменатель равен $-(5a - 2b)(3a + 2c)$.

3. Подставим разложения в дробь и выполним сокращение.

$ \frac{(5a - 2b)(3a - c)}{-(5a - 2b)(3a + 2c)} $

Сократим на общий множитель $(5a - 2b)$, предполагая, что $5a - 2b \neq 0$.

$ \frac{3a - c}{-(3a + 2c)} $

Внесем знак "минус" в числитель, чтобы избавиться от него перед дробью:

$ \frac{-(3a - c)}{3a + 2c} = \frac{c - 3a}{3a + 2c} $

Ответ: $ \frac{c - 3a}{3a + 2c} $

Помогло решение? Оставьте отзыв в комментариях ниже.

Присоединяйтесь к Телеграм-группе @gdz_by_belarus

Присоединиться

Мы подготовили для вас ответ c подробным объяснением домашего задания по алгебре за 7-9 класс, для упражнения номер 32.34 расположенного на странице 155 к сборнику задач 2020 года издания для учащихся школ и гимназий.

Теперь на нашем сайте ГДЗ.ТОП вы всегда легко и бесплатно найдёте условие с правильным ответом на вопрос «Как решить ДЗ» и «Как сделать» задание по алгебре к упражнению №32.34 (с. 155), авторов: Арефьева (Ирина Глебовна), Пирютко (Ольга Николаевна), учебного пособия издательства Народная асвета.