Номер 36.13, страница 179 - гдз по алгебре 7-9 класс сборник задач Арефьева, Пирютко

Алгебра, 7-9 класс Сборник задач, авторы: Арефьева Ирина Глебовна, Пирютко Ольга Николаевна, издательство Народная асвета, Минск, 2020

Авторы: Арефьева И. Г., Пирютко О. Н.

Тип: Сборник задач

Издательство: Народная асвета

Год издания: 2020 - 2025

Цвет обложки: синий с графиками

Допущено Министерством образования Республики Беларусь

Популярные ГДЗ в 7 классе

9 класс. Параграф 36. Дробно-рациональные уравнения - номер 36.13, страница 179.

№36.13 (с. 179)
Условие. №36.13 (с. 179)
скриншот условия
Алгебра, 7-9 класс Сборник задач, авторы: Арефьева Ирина Глебовна, Пирютко Ольга Николаевна, издательство Народная асвета, Минск, 2020, страница 179, номер 36.13, Условие

36.13. Выполните замену переменной и решите уравнение:

а) $\frac{2x+1}{x} + \frac{x}{2x+1} = 2,5;$

б) $\frac{2x-1}{x} + \frac{x}{2x-1} = 4,25.$

Решение. №36.13 (с. 179)
Алгебра, 7-9 класс Сборник задач, авторы: Арефьева Ирина Глебовна, Пирютко Ольга Николаевна, издательство Народная асвета, Минск, 2020, страница 179, номер 36.13, Решение Алгебра, 7-9 класс Сборник задач, авторы: Арефьева Ирина Глебовна, Пирютко Ольга Николаевна, издательство Народная асвета, Минск, 2020, страница 179, номер 36.13, Решение (продолжение 2)
Решение 2. №36.13 (с. 179)

а) Решим уравнение $\frac{2x+1}{x} + \frac{x}{2x+1} = 2,5$.
Сначала определим область допустимых значений (ОДЗ). Знаменатели дробей не должны быть равны нулю, поэтому:
$x \neq 0$
$2x+1 \neq 0 \implies 2x \neq -1 \implies x \neq -0,5$
Заметим, что левая часть уравнения представляет собой сумму двух взаимно обратных выражений. Это позволяет упростить уравнение с помощью замены переменной.
Пусть $y = \frac{2x+1}{x}$. Тогда второе слагаемое $\frac{x}{2x+1}$ будет равно $\frac{1}{y}$.
Подставим новую переменную в исходное уравнение:
$y + \frac{1}{y} = 2,5$
Преобразуем десятичную дробь $2,5$ в обыкновенную: $2,5 = \frac{5}{2}$.
$y + \frac{1}{y} = \frac{5}{2}$
Чтобы избавиться от знаменателей, умножим обе части уравнения на $2y$. (Заметим, что $y \neq 0$, поскольку если $y=0$, то $\frac{2x+1}{x}=0$, что означает $2x+1=0$ или $x=-0,5$, а это значение исключено из ОДЗ).
$2y \cdot y + 2y \cdot \frac{1}{y} = 2y \cdot \frac{5}{2}$
$2y^2 + 2 = 5y$
Перенесем все члены в левую часть, чтобы получить стандартное квадратное уравнение:
$2y^2 - 5y + 2 = 0$
Решим это уравнение относительно $y$ с помощью дискриминанта:
$D = b^2 - 4ac = (-5)^2 - 4 \cdot 2 \cdot 2 = 25 - 16 = 9$
Корни уравнения для $y$:
$y_1 = \frac{-b + \sqrt{D}}{2a} = \frac{5 + \sqrt{9}}{2 \cdot 2} = \frac{5 + 3}{4} = \frac{8}{4} = 2$
$y_2 = \frac{-b - \sqrt{D}}{2a} = \frac{5 - \sqrt{9}}{2 \cdot 2} = \frac{5 - 3}{4} = \frac{2}{4} = \frac{1}{2}$
Теперь выполним обратную замену для каждого найденного значения $y$:
1. При $y = 2$:
$\frac{2x+1}{x} = 2$
$2x+1 = 2x$
$1 = 0$
Это равенство неверно, следовательно, для $y=2$ решений нет.
2. При $y = \frac{1}{2}$:
$\frac{2x+1}{x} = \frac{1}{2}$
Используя основное свойство пропорции, получаем:
$2(2x+1) = x$
$4x + 2 = x$
$3x = -2$
$x = -\frac{2}{3}$
Проверим, удовлетворяет ли найденный корень ОДЗ. Так как $-\frac{2}{3} \neq 0$ и $-\frac{2}{3} \neq -0,5$, корень подходит.
Ответ: $-\frac{2}{3}$.

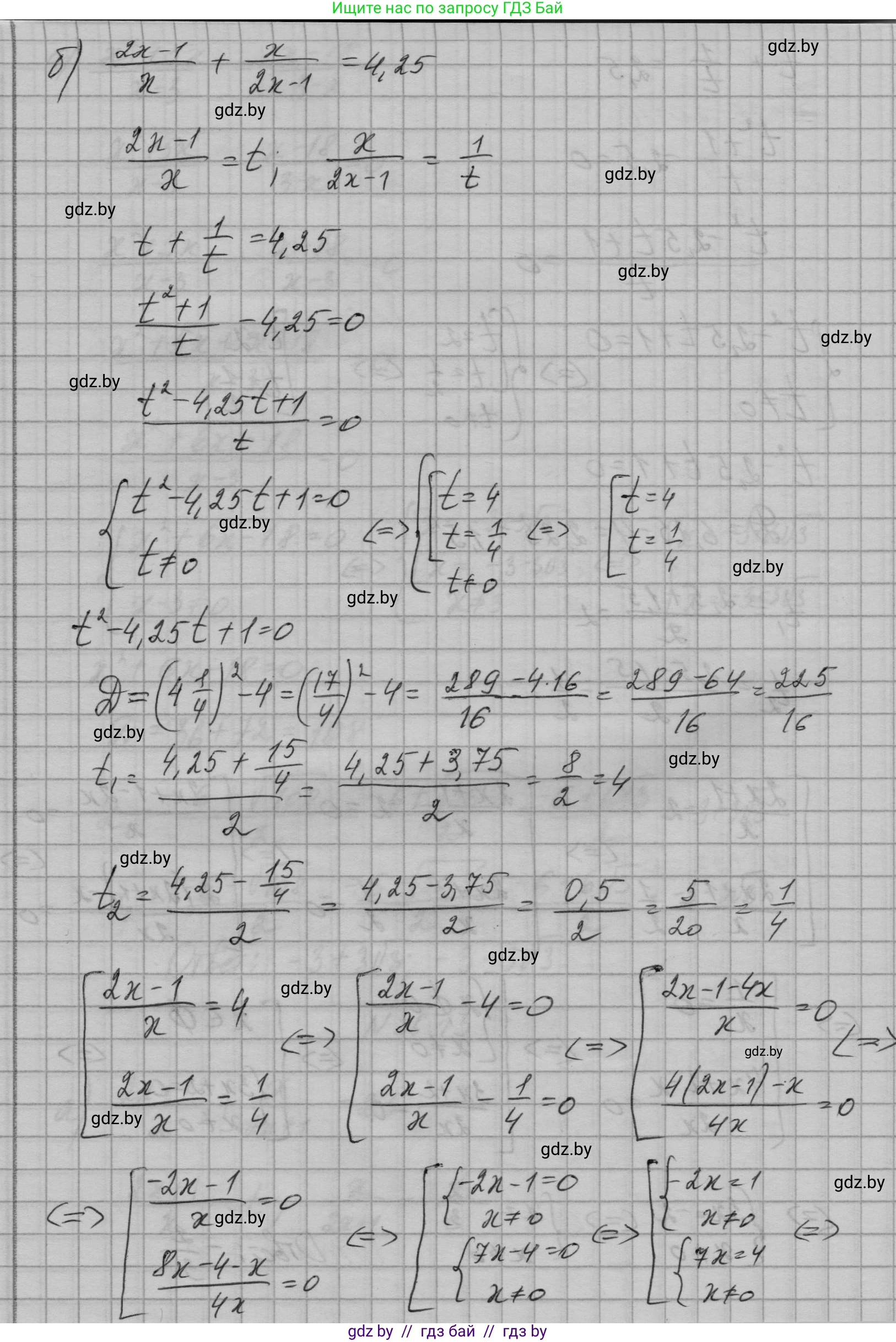
б) Решим уравнение $\frac{2x-1}{x} + \frac{x}{2x-1} = 4,25$.
Область допустимых значений (ОДЗ): знаменатели не равны нулю.
$x \neq 0$
$2x-1 \neq 0 \implies 2x \neq 1 \implies x \neq 0,5$
Аналогично предыдущему заданию, введем замену переменной.
Пусть $t = \frac{2x-1}{x}$. Тогда $\frac{x}{2x-1} = \frac{1}{t}$.
Уравнение преобразуется к виду:
$t + \frac{1}{t} = 4,25$
Переведем $4,25$ в обыкновенную дробь: $4,25 = 4\frac{1}{4} = \frac{17}{4}$.
$t + \frac{1}{t} = \frac{17}{4}$
Умножим обе части на $4t$ (при $t \neq 0$, что эквивалентно $x \neq 0,5$):
$4t \cdot t + 4t \cdot \frac{1}{t} = 4t \cdot \frac{17}{4}$
$4t^2 + 4 = 17t$
Запишем квадратное уравнение в стандартном виде:
$4t^2 - 17t + 4 = 0$
Найдем корни уравнения с помощью дискриминанта:
$D = b^2 - 4ac = (-17)^2 - 4 \cdot 4 \cdot 4 = 289 - 64 = 225$
Корни уравнения для $t$:
$t_1 = \frac{-b + \sqrt{D}}{2a} = \frac{17 + \sqrt{225}}{2 \cdot 4} = \frac{17 + 15}{8} = \frac{32}{8} = 4$
$t_2 = \frac{-b - \sqrt{D}}{2a} = \frac{17 - \sqrt{225}}{2 \cdot 4} = \frac{17 - 15}{8} = \frac{2}{8} = \frac{1}{4}$
Выполним обратную замену для найденных значений $t$:
1. При $t = 4$:
$\frac{2x-1}{x} = 4$
$2x-1 = 4x$
$2x = -1$
$x = -\frac{1}{2}$
2. При $t = \frac{1}{4}$:
$\frac{2x-1}{x} = \frac{1}{4}$
$4(2x-1) = x$
$8x-4 = x$
$7x = 4$
$x = \frac{4}{7}$
Оба найденных корня, $x = -\frac{1}{2}$ и $x = \frac{4}{7}$, удовлетворяют ОДЗ ($x \neq 0$ и $x \neq 0,5$).
Ответ: $-\frac{1}{2}; \frac{4}{7}$.

Помогло решение? Оставьте отзыв в комментариях ниже.

Присоединяйтесь к Телеграм-группе @gdz_by_belarus

Присоединиться

Мы подготовили для вас ответ c подробным объяснением домашего задания по алгебре за 7-9 класс, для упражнения номер 36.13 расположенного на странице 179 к сборнику задач 2020 года издания для учащихся школ и гимназий.

Теперь на нашем сайте ГДЗ.ТОП вы всегда легко и бесплатно найдёте условие с правильным ответом на вопрос «Как решить ДЗ» и «Как сделать» задание по алгебре к упражнению №36.13 (с. 179), авторов: Арефьева (Ирина Глебовна), Пирютко (Ольга Николаевна), учебного пособия издательства Народная асвета.