Номер 36.18, страница 180 - гдз по алгебре 7-9 класс сборник задач Арефьева, Пирютко

Алгебра, 7-9 класс Сборник задач, авторы: Арефьева Ирина Глебовна, Пирютко Ольга Николаевна, издательство Народная асвета, Минск, 2020

Авторы: Арефьева И. Г., Пирютко О. Н.

Тип: Сборник задач

Издательство: Народная асвета

Год издания: 2020 - 2025

Цвет обложки: синий с графиками

Допущено Министерством образования Республики Беларусь

Популярные ГДЗ в 7 классе

9 класс. Параграф 36. Дробно-рациональные уравнения - номер 36.18, страница 180.

№36.18 (с. 180)
Условие. №36.18 (с. 180)
скриншот условия
Алгебра, 7-9 класс Сборник задач, авторы: Арефьева Ирина Глебовна, Пирютко Ольга Николаевна, издательство Народная асвета, Минск, 2020, страница 180, номер 36.18, Условие

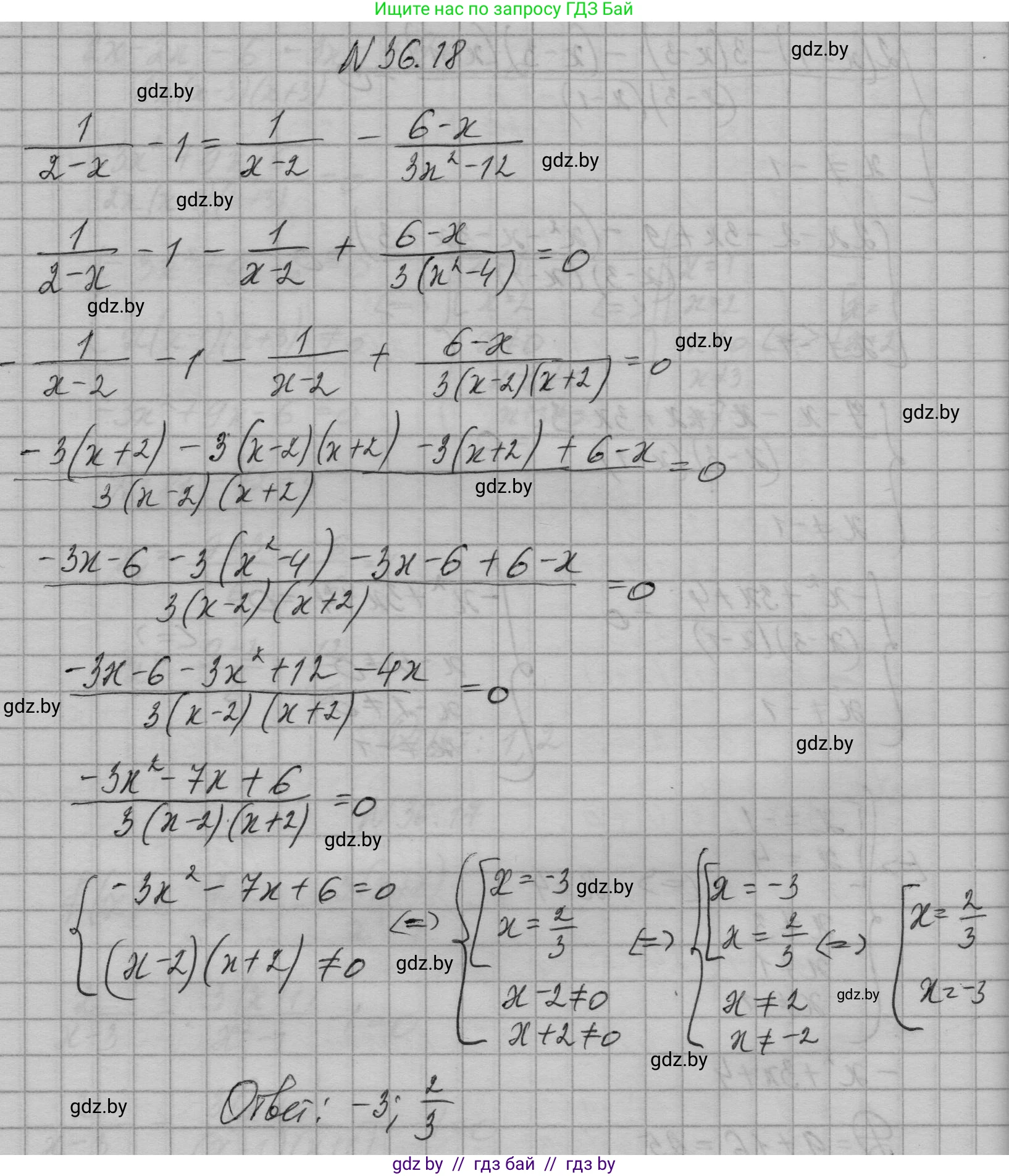
36.18. Найдите корни уравнения $ \frac{1}{2-x} - 1 = \frac{1}{x-2} - \frac{6-x}{3x^2-12} $

Решение. №36.18 (с. 180)
Алгебра, 7-9 класс Сборник задач, авторы: Арефьева Ирина Глебовна, Пирютко Ольга Николаевна, издательство Народная асвета, Минск, 2020, страница 180, номер 36.18, Решение
Решение 2. №36.18 (с. 180)

Дано уравнение:

$\frac{1}{2-x} - 1 = \frac{1}{x-2} - \frac{6-x}{3x^2 - 12}$

В первую очередь определим область допустимых значений (ОДЗ) для переменной $x$. Знаменатели дробей в уравнении не могут быть равны нулю.

$2 - x \neq 0 \implies x \neq 2$

$x - 2 \neq 0 \implies x \neq 2$

$3x^2 - 12 \neq 0 \implies 3(x^2 - 4) \neq 0 \implies 3(x-2)(x+2) \neq 0 \implies x \neq 2$ и $x \neq -2$.

Таким образом, ОДЗ уравнения: $x \neq 2$ и $x \neq -2$.

Теперь приступим к преобразованию уравнения. Заметим, что $2-x = -(x-2)$, следовательно, $\frac{1}{2-x} = -\frac{1}{x-2}$. Также разложим знаменатель последней дроби на множители: $3x^2 - 12 = 3(x^2-4) = 3(x-2)(x+2)$.

Подставим эти выражения в исходное уравнение:

$-\frac{1}{x-2} - 1 = \frac{1}{x-2} - \frac{6-x}{3(x-2)(x+2)}$

Перенесем член $\frac{1}{x-2}$ из правой части в левую:

$-\frac{1}{x-2} - \frac{1}{x-2} - 1 = -\frac{6-x}{3(x-2)(x+2)}$

$\frac{-2}{x-2} - 1 = -\frac{6-x}{3(x-2)(x+2)}$

Умножим обе части уравнения на -1, чтобы избавиться от лишних знаков минуса:

$\frac{2}{x-2} + 1 = \frac{6-x}{3(x-2)(x+2)}$

Приведем левую часть к общему знаменателю $(x-2)$:

$\frac{2 + (x-2)}{x-2} = \frac{6-x}{3(x-2)(x+2)}$

$\frac{x}{x-2} = \frac{6-x}{3(x-2)(x+2)}$

Поскольку из ОДЗ мы знаем, что $x \neq 2$ и $x \neq -2$, мы можем умножить обе части уравнения на общий знаменатель $3(x-2)(x+2)$, чтобы избавиться от дробей. Это приведет нас к следующему уравнению:

$x \cdot 3(x+2) = 6-x$

Раскроем скобки и решим полученное уравнение:

$3x^2 + 6x = 6-x$

Перенесем все члены в левую часть:

$3x^2 + 6x + x - 6 = 0$

$3x^2 + 7x - 6 = 0$

Мы получили стандартное квадратное уравнение. Решим его с помощью дискриминанта $D = b^2 - 4ac$.

$D = 7^2 - 4 \cdot 3 \cdot (-6) = 49 + 72 = 121$

Поскольку $D > 0$, уравнение имеет два различных корня. Найдем их:

$x_1 = \frac{-b + \sqrt{D}}{2a} = \frac{-7 + \sqrt{121}}{2 \cdot 3} = \frac{-7 + 11}{6} = \frac{4}{6} = \frac{2}{3}$

$x_2 = \frac{-b - \sqrt{D}}{2a} = \frac{-7 - \sqrt{121}}{2 \cdot 3} = \frac{-7 - 11}{6} = \frac{-18}{6} = -3$

Оба найденных корня, $x_1 = \frac{2}{3}$ и $x_2 = -3$, удовлетворяют ОДЗ ($x \neq 2$ и $x \neq -2$).

Ответ: $-3; \frac{2}{3}$.

Помогло решение? Оставьте отзыв в комментариях ниже.

Присоединяйтесь к Телеграм-группе @gdz_by_belarus

Присоединиться

Мы подготовили для вас ответ c подробным объяснением домашего задания по алгебре за 7-9 класс, для упражнения номер 36.18 расположенного на странице 180 к сборнику задач 2020 года издания для учащихся школ и гимназий.

Теперь на нашем сайте ГДЗ.ТОП вы всегда легко и бесплатно найдёте условие с правильным ответом на вопрос «Как решить ДЗ» и «Как сделать» задание по алгебре к упражнению №36.18 (с. 180), авторов: Арефьева (Ирина Глебовна), Пирютко (Ольга Николаевна), учебного пособия издательства Народная асвета.