Номер 36.25, страница 181 - гдз по алгебре 7-9 класс сборник задач Арефьева, Пирютко
Авторы: Арефьева И. Г., Пирютко О. Н.
Тип: Сборник задач
Издательство: Народная асвета
Год издания: 2020 - 2025
Цвет обложки: синий с графиками
Допущено Министерством образования Республики Беларусь
Популярные ГДЗ в 7 классе
9 класс. Параграф 36. Дробно-рациональные уравнения - номер 36.25, страница 181.
№36.25 (с. 181)
Условие. №36.25 (с. 181)
скриншот условия
36.25. Решите уравнение:
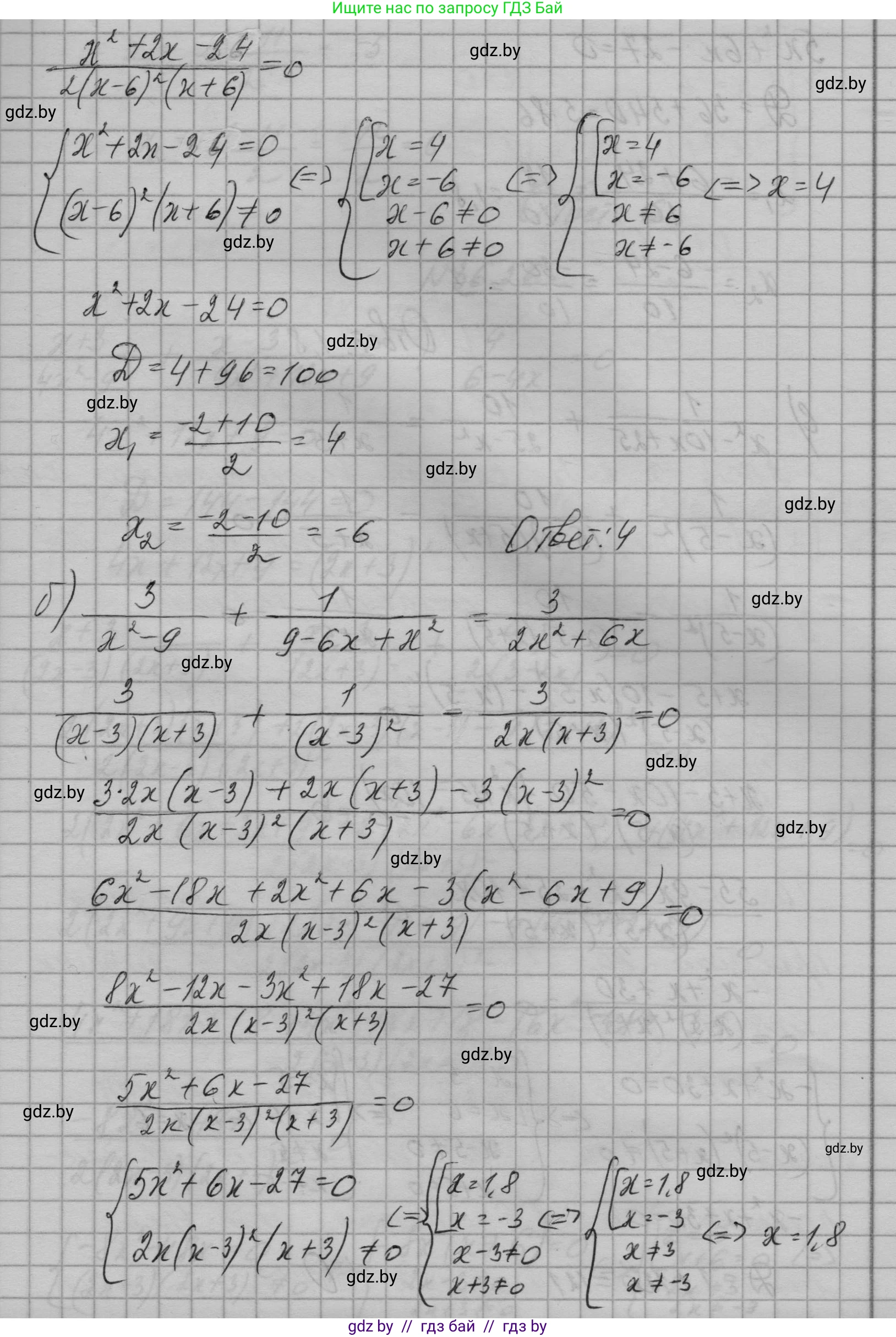
a) $ \frac{6}{x^2 - 36} + \frac{1}{36 - 12x + x^2} + \frac{1}{2x + 12} = 0; $
б) $ \frac{3}{x^2 - 9} + \frac{1}{9 - 6x + x^2} = \frac{3}{2x^2 + 6x}; $
в) $ \frac{1}{x^2 - 10x + 25} + \frac{10}{25 - x^2} = \frac{1}{x + 5}. $
Решение. №36.25 (с. 181)
Решение 2. №36.25 (с. 181)
а) $ \frac{6}{x^2 - 36} + \frac{1}{36 - 12x + x^2} + \frac{1}{2x + 12} = 0 $
Сначала разложим знаменатели на множители, чтобы найти общий знаменатель.
$ x^2 - 36 = (x - 6)(x + 6) $ (разность квадратов)
$ 36 - 12x + x^2 = x^2 - 12x + 36 = (x - 6)^2 $ (квадрат разности)
$ 2x + 12 = 2(x + 6) $
Теперь перепишем уравнение с разложенными знаменателями:
$ \frac{6}{(x - 6)(x + 6)} + \frac{1}{(x - 6)^2} + \frac{1}{2(x + 6)} = 0 $
Область допустимых значений (ОДЗ): знаменатели не могут быть равны нулю, поэтому $ x \neq 6 $ и $ x \neq -6 $.
Наименьший общий знаменатель (НОЗ) для этих дробей равен $ 2(x - 6)^2(x + 6) $. Умножим обе части уравнения на НОЗ, чтобы избавиться от дробей:
$ 6 \cdot 2(x - 6) + 1 \cdot 2(x + 6) + 1 \cdot (x - 6)^2 = 0 $
Раскроем скобки и упростим выражение:
$ 12(x - 6) + 2(x + 6) + (x^2 - 12x + 36) = 0 $
$ 12x - 72 + 2x + 12 + x^2 - 12x + 36 = 0 $
Приведем подобные слагаемые:
$ x^2 + (12x + 2x - 12x) + (-72 + 12 + 36) = 0 $
$ x^2 + 2x - 24 = 0 $
Решим полученное квадратное уравнение. Можно использовать теорему Виета:
$ x_1 + x_2 = -2 $
$ x_1 \cdot x_2 = -24 $
Подбором находим корни: $ x_1 = 4 $ и $ x_2 = -6 $.
Теперь проверим корни на соответствие ОДЗ ($ x \neq 6, x \neq -6 $).
Корень $ x_1 = 4 $ удовлетворяет ОДЗ.
Корень $ x_2 = -6 $ не удовлетворяет ОДЗ, так как при этом значении знаменатели исходных дробей обращаются в ноль. Это посторонний корень.
Следовательно, у уравнения только один корень.
Ответ: 4.
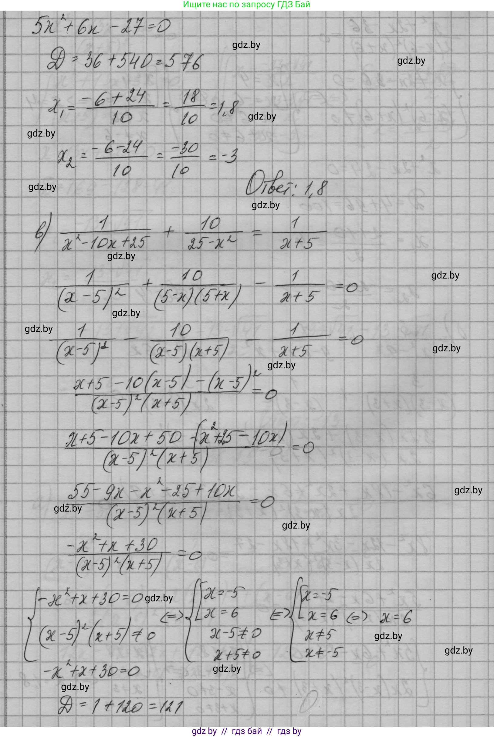
б) $ \frac{3}{x^2 - 9} + \frac{1}{9 - 6x + x^2} = \frac{3}{2x^2 + 6x} $
Разложим знаменатели на множители:
$ x^2 - 9 = (x - 3)(x + 3) $
$ 9 - 6x + x^2 = x^2 - 6x + 9 = (x - 3)^2 $
$ 2x^2 + 6x = 2x(x + 3) $
Перепишем уравнение:
$ \frac{3}{(x - 3)(x + 3)} + \frac{1}{(x - 3)^2} = \frac{3}{2x(x + 3)} $
ОДЗ: $ x \neq 3 $, $ x \neq -3 $, $ x \neq 0 $.
Перенесем все члены в левую часть:
$ \frac{3}{(x - 3)(x + 3)} + \frac{1}{(x - 3)^2} - \frac{3}{2x(x + 3)} = 0 $
НОЗ равен $ 2x(x - 3)^2(x + 3) $. Умножим уравнение на НОЗ:
$ 3 \cdot 2x(x - 3) + 1 \cdot 2x(x + 3) - 3 \cdot (x - 3)^2 = 0 $
Раскроем скобки:
$ 6x(x - 3) + 2x(x + 3) - 3(x^2 - 6x + 9) = 0 $
$ 6x^2 - 18x + 2x^2 + 6x - 3x^2 + 18x - 27 = 0 $
Приведем подобные слагаемые:
$ (6x^2 + 2x^2 - 3x^2) + (-18x + 6x + 18x) - 27 = 0 $
$ 5x^2 + 6x - 27 = 0 $
Решим квадратное уравнение через дискриминант:
$ D = b^2 - 4ac = 6^2 - 4 \cdot 5 \cdot (-27) = 36 + 540 = 576 = 24^2 $
$ x_{1,2} = \frac{-b \pm \sqrt{D}}{2a} = \frac{-6 \pm 24}{2 \cdot 5} $
$ x_1 = \frac{-6 + 24}{10} = \frac{18}{10} = 1,8 $
$ x_2 = \frac{-6 - 24}{10} = \frac{-30}{10} = -3 $
Проверим корни на соответствие ОДЗ ($ x \neq 3, x \neq -3, x \neq 0 $).
Корень $ x_1 = 1,8 $ удовлетворяет ОДЗ.
Корень $ x_2 = -3 $ не удовлетворяет ОДЗ, является посторонним.
Ответ: 1,8.
в) $ \frac{1}{x^2 - 10x + 25} + \frac{10}{25 - x^2} = \frac{1}{x + 5} $
Разложим знаменатели на множители:
$ x^2 - 10x + 25 = (x - 5)^2 $
$ 25 - x^2 = -(x^2 - 25) = -(x - 5)(x + 5) $
Перепишем уравнение, обратив внимание на знак во второй дроби:
$ \frac{1}{(x - 5)^2} - \frac{10}{(x - 5)(x + 5)} = \frac{1}{x + 5} $
ОДЗ: $ x \neq 5 $, $ x \neq -5 $.
Перенесем все члены в левую часть:
$ \frac{1}{(x - 5)^2} - \frac{10}{(x - 5)(x + 5)} - \frac{1}{x + 5} = 0 $
НОЗ равен $ (x - 5)^2(x + 5) $. Умножим уравнение на НОЗ:
$ 1 \cdot (x + 5) - 10 \cdot (x - 5) - 1 \cdot (x - 5)^2 = 0 $
Раскроем скобки:
$ x + 5 - (10x - 50) - (x^2 - 10x + 25) = 0 $
$ x + 5 - 10x + 50 - x^2 + 10x - 25 = 0 $
Приведем подобные слагаемые:
$ -x^2 + (x - 10x + 10x) + (5 + 50 - 25) = 0 $
$ -x^2 + x + 30 = 0 $
Умножим обе части на -1 для удобства:
$ x^2 - x - 30 = 0 $
По теореме Виета:
$ x_1 + x_2 = 1 $
$ x_1 \cdot x_2 = -30 $
Корни: $ x_1 = 6 $ и $ x_2 = -5 $.
Проверим корни на соответствие ОДЗ ($ x \neq 5, x \neq -5 $).
Корень $ x_1 = 6 $ удовлетворяет ОДЗ.
Корень $ x_2 = -5 $ не удовлетворяет ОДЗ, является посторонним.
Ответ: 6.
Другие задания:
Помогло решение? Оставьте отзыв в комментариях ниже.
Присоединяйтесь к Телеграм-группе @gdz_by_belarus
ПрисоединитьсяМы подготовили для вас ответ c подробным объяснением домашего задания по алгебре за 7-9 класс, для упражнения номер 36.25 расположенного на странице 181 к сборнику задач 2020 года издания для учащихся школ и гимназий.
Теперь на нашем сайте ГДЗ.ТОП вы всегда легко и бесплатно найдёте условие с правильным ответом на вопрос «Как решить ДЗ» и «Как сделать» задание по алгебре к упражнению №36.25 (с. 181), авторов: Арефьева (Ирина Глебовна), Пирютко (Ольга Николаевна), учебного пособия издательства Народная асвета.