Номер 36.21, страница 181 - гдз по алгебре 7-9 класс сборник задач Арефьева, Пирютко
Авторы: Арефьева И. Г., Пирютко О. Н.
Тип: Сборник задач
Издательство: Народная асвета
Год издания: 2020 - 2025
Цвет обложки: синий с графиками
Допущено Министерством образования Республики Беларусь
Популярные ГДЗ в 7 классе
9 класс. Параграф 36. Дробно-рациональные уравнения - номер 36.21, страница 181.
№36.21 (с. 181)
Условие. №36.21 (с. 181)
скриншот условия
36.21. Решите уравнение:
а) $1 - \frac{3x^2 - x - 24}{3-x} = 0;$
б) $1 - \frac{4x^2 - x - 33}{3-x} = 0.$
Решение. №36.21 (с. 181)
Решение 2. №36.21 (с. 181)
а) $1 - \frac{3x^2 - x - 24}{3 - x} = 0$
Данное уравнение является дробно-рациональным. Вначале определим область допустимых значений (ОДЗ). Знаменатель дроби не может быть равен нулю, поэтому:
$3 - x \neq 0$
$x \neq 3$
Теперь приступим к решению уравнения. Перенесем дробь в правую часть уравнения:
$1 = \frac{3x^2 - x - 24}{3 - x}$
Умножим обе части уравнения на знаменатель $(3 - x)$, при условии, что $x \neq 3$:
$1 \cdot (3 - x) = 3x^2 - x - 24$
$3 - x = 3x^2 - x - 24$
Перенесем все слагаемые в одну сторону, чтобы получить квадратное уравнение:
$3x^2 - x - 24 - 3 + x = 0$
Приведем подобные слагаемые:
$3x^2 - 27 = 0$
Это неполное квадратное уравнение. Решим его:
$3x^2 = 27$
$x^2 = \frac{27}{3}$
$x^2 = 9$
Из этого следует, что уравнение имеет два корня:
$x_1 = 3$ и $x_2 = -3$
Теперь необходимо проверить, удовлетворяют ли найденные корни ОДЗ ($x \neq 3$).
Корень $x_1 = 3$ не удовлетворяет ОДЗ, так как при этом значении знаменатель исходной дроби обращается в ноль. Следовательно, $x_1 = 3$ является посторонним корнем.
Корень $x_2 = -3$ удовлетворяет ОДЗ.
Ответ: $-3$.
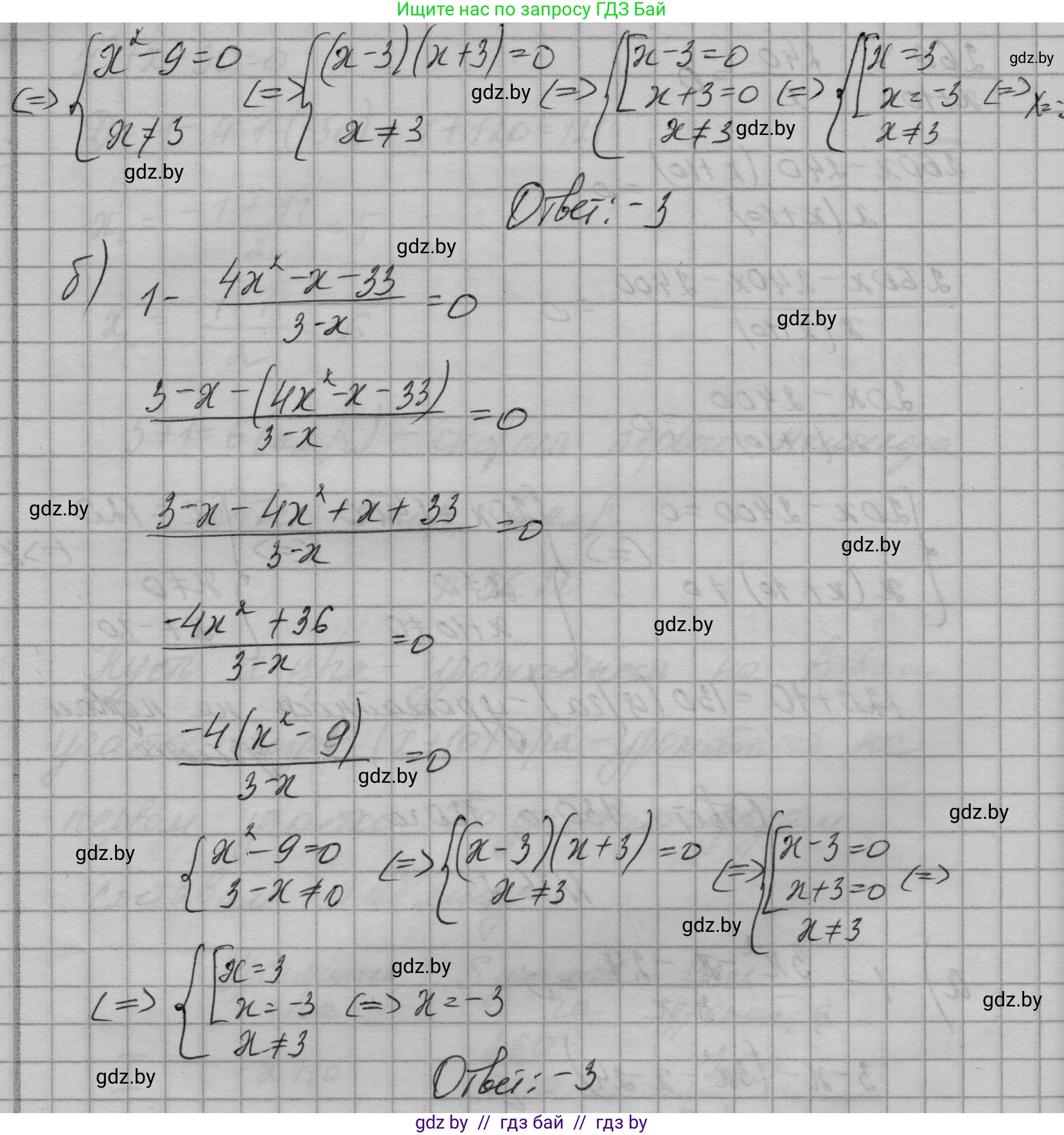
б) $1 - \frac{4x^2 - x - 33}{3 - x} = 0$
Область допустимых значений (ОДЗ) для этого уравнения такая же, как и в предыдущем, поскольку знаменатель тот же самый:
$3 - x \neq 0$
$x \neq 3$
Решаем уравнение, выполняя аналогичные преобразования. Перенесем дробь в правую часть:
$1 = \frac{4x^2 - x - 33}{3 - x}$
Умножим обе части на знаменатель $(3 - x)$:
$3 - x = 4x^2 - x - 33$
Соберем все слагаемые в одной части уравнения:
$4x^2 - x - 33 - 3 + x = 0$
Приведем подобные члены:
$4x^2 - 36 = 0$
Решим полученное неполное квадратное уравнение:
$4x^2 = 36$
$x^2 = \frac{36}{4}$
$x^2 = 9$
Находим корни:
$x_1 = 3$ и $x_2 = -3$
Проверим корни на соответствие ОДЗ ($x \neq 3$).
Корень $x_1 = 3$ не входит в ОДЗ и является посторонним корнем.
Корень $x_2 = -3$ удовлетворяет ОДЗ.
Ответ: $-3$.
Другие задания:
Помогло решение? Оставьте отзыв в комментариях ниже.
Присоединяйтесь к Телеграм-группе @gdz_by_belarus
ПрисоединитьсяМы подготовили для вас ответ c подробным объяснением домашего задания по алгебре за 7-9 класс, для упражнения номер 36.21 расположенного на странице 181 к сборнику задач 2020 года издания для учащихся школ и гимназий.
Теперь на нашем сайте ГДЗ.ТОП вы всегда легко и бесплатно найдёте условие с правильным ответом на вопрос «Как решить ДЗ» и «Как сделать» задание по алгебре к упражнению №36.21 (с. 181), авторов: Арефьева (Ирина Глебовна), Пирютко (Ольга Николаевна), учебного пособия издательства Народная асвета.