Номер 36.16, страница 180 - гдз по алгебре 7-9 класс сборник задач Арефьева, Пирютко

Алгебра, 7-9 класс Сборник задач, авторы: Арефьева Ирина Глебовна, Пирютко Ольга Николаевна, издательство Народная асвета, Минск, 2020

Авторы: Арефьева И. Г., Пирютко О. Н.

Тип: Сборник задач

Издательство: Народная асвета

Год издания: 2020 - 2025

Цвет обложки: синий с графиками

Допущено Министерством образования Республики Беларусь

Популярные ГДЗ в 7 классе

9 класс. Параграф 36. Дробно-рациональные уравнения - номер 36.16, страница 180.

№36.16 (с. 180)
Условие. №36.16 (с. 180)
скриншот условия
Алгебра, 7-9 класс Сборник задач, авторы: Арефьева Ирина Глебовна, Пирютко Ольга Николаевна, издательство Народная асвета, Минск, 2020, страница 180, номер 36.16, Условие

36.16. Решите уравнение:

a) $\frac{x}{x^2 - 16} + \frac{3 - x}{x - 4} = 0;$

б) $\frac{x}{x^2 - 25} + \frac{4 - x}{x - 5} = 0;$

в) $\frac{x}{x + 3} - \frac{2}{x - 3} + \frac{12}{x^2 - 9} = 0;$

г) $\frac{x}{x + 1} - \frac{5}{x - 1} + \frac{10}{x^2 - 1} = 0;$

д) $\frac{1}{x^2 - 1} - \frac{1}{x(x - 1)} - \frac{3}{2x + 2} = 0;$

е) $\frac{1}{x^2 - 9} - \frac{1}{x(x - 3)} - \frac{3}{2x + 6} = 0.$

Решение. №36.16 (с. 180)
Алгебра, 7-9 класс Сборник задач, авторы: Арефьева Ирина Глебовна, Пирютко Ольга Николаевна, издательство Народная асвета, Минск, 2020, страница 180, номер 36.16, Решение Алгебра, 7-9 класс Сборник задач, авторы: Арефьева Ирина Глебовна, Пирютко Ольга Николаевна, издательство Народная асвета, Минск, 2020, страница 180, номер 36.16, Решение (продолжение 2)
Решение 2. №36.16 (с. 180)

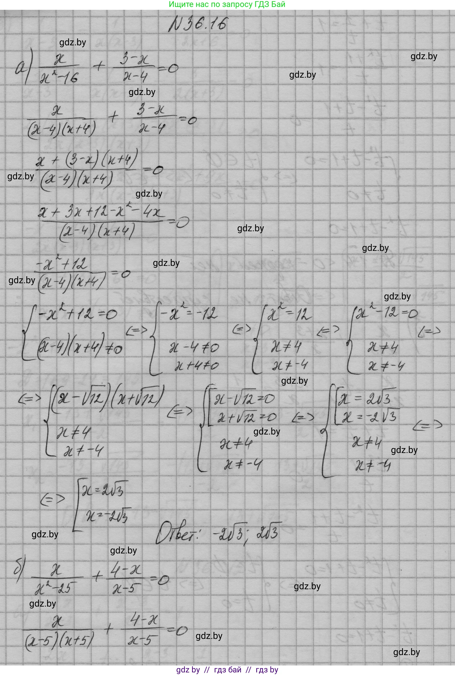
а) $\frac{x}{x^2 - 16} + \frac{3 - x}{x - 4} = 0$
Область допустимых значений (ОДЗ): знаменатели не могут быть равны нулю, поэтому $x^2 - 16 \neq 0$ и $x - 4 \neq 0$. Это означает, что $x \neq 4$ и $x \neq -4$.
Преобразуем второй член уравнения: $\frac{3 - x}{x - 4} = -\frac{x - 3}{x - 4}$.
$\frac{x}{x^2 - 16} - \frac{x - 3}{x - 4} = 0$
Приведем дроби к общему знаменателю $x^2 - 16 = (x-4)(x+4)$:
$\frac{x}{(x-4)(x+4)} - \frac{(x - 3)(x+4)}{(x-4)(x+4)} = 0$
Решаем уравнение для числителя, так как знаменатель не равен нулю в ОДЗ:
$x - (x - 3)(x + 4) = 0$
$x - (x^2 + 4x - 3x - 12) = 0$
$x - (x^2 + x - 12) = 0$
$x - x^2 - x + 12 = 0$
$-x^2 + 12 = 0$
$x^2 = 12$
$x = \pm\sqrt{12} = \pm 2\sqrt{3}$
Полученные корни удовлетворяют ОДЗ ($x \neq \pm 4$).
Ответ: $\pm 2\sqrt{3}$.

б) $\frac{x}{x^2 - 25} + \frac{4 - x}{x - 5} = 0$
ОДЗ: $x^2 - 25 \neq 0$ и $x - 5 \neq 0$, следовательно $x \neq \pm 5$.
Приводим к общему знаменателю $x^2 - 25 = (x-5)(x+5)$:
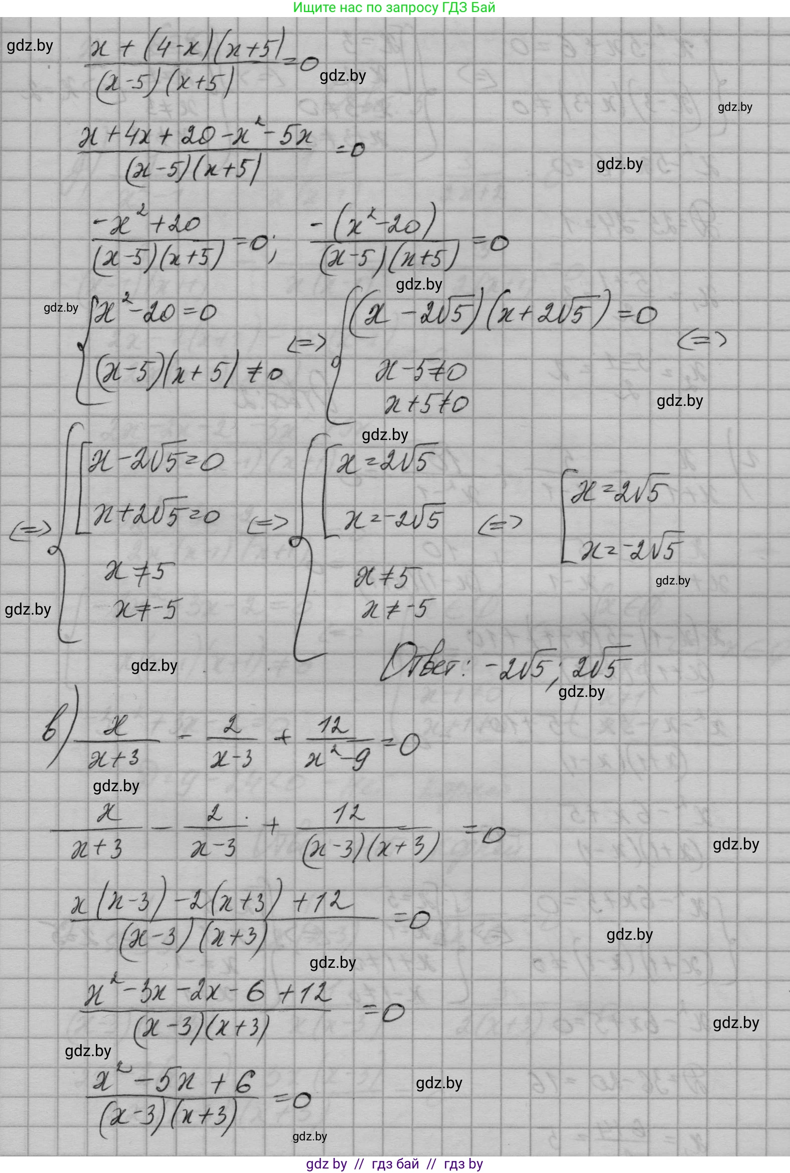
$\frac{x}{(x-5)(x+5)} + \frac{(4 - x)(x+5)}{(x-5)(x+5)} = 0$
Решаем уравнение для числителя:
$x + (4 - x)(x + 5) = 0$
$x + 4x + 20 - x^2 - 5x = 0$
$-x^2 + 20 = 0$
$x^2 = 20$
$x = \pm\sqrt{20} = \pm 2\sqrt{5}$
Полученные корни удовлетворяют ОДЗ ($x \neq \pm 5$).
Ответ: $\pm 2\sqrt{5}$.

в) $\frac{x}{x + 3} - \frac{2}{x - 3} + \frac{12}{x^2 - 9} = 0$
ОДЗ: $x+3 \neq 0$, $x-3 \neq 0$, $x^2 - 9 \neq 0$, следовательно $x \neq \pm 3$.
Общий знаменатель: $x^2 - 9 = (x-3)(x+3)$.
$\frac{x(x-3)}{(x+3)(x-3)} - \frac{2(x+3)}{(x-3)(x+3)} + \frac{12}{(x-3)(x+3)} = 0$
Решаем уравнение для числителя:
$x(x-3) - 2(x+3) + 12 = 0$
$x^2 - 3x - 2x - 6 + 12 = 0$
$x^2 - 5x + 6 = 0$
По теореме Виета, корни уравнения: $x_1 = 2$, $x_2 = 3$.
Проверяем корни по ОДЗ. Корень $x_1 = 2$ удовлетворяет условию $x \neq \pm 3$. Корень $x_2 = 3$ не удовлетворяет ОДЗ, поэтому является посторонним.
Ответ: $2$.

г) $\frac{x}{x + 1} - \frac{5}{x - 1} + \frac{10}{x^2 - 1} = 0$
ОДЗ: $x+1 \neq 0$, $x-1 \neq 0$, $x^2 - 1 \neq 0$, следовательно $x \neq \pm 1$.
Общий знаменатель: $x^2 - 1 = (x-1)(x+1)$.
$\frac{x(x-1)}{(x+1)(x-1)} - \frac{5(x+1)}{(x-1)(x+1)} + \frac{10}{(x-1)(x+1)} = 0$
Решаем уравнение для числителя:
$x(x-1) - 5(x+1) + 10 = 0$
$x^2 - x - 5x - 5 + 10 = 0$
$x^2 - 6x + 5 = 0$
По теореме Виета, корни уравнения: $x_1 = 1$, $x_2 = 5$.
Проверяем корни по ОДЗ. Корень $x_1 = 1$ не удовлетворяет ОДЗ, является посторонним. Корень $x_2 = 5$ удовлетворяет условию $x \neq \pm 1$.
Ответ: $5$.

д) $\frac{1}{x^2 - 1} - \frac{1}{x(x - 1)} - \frac{3}{2x + 2} = 0$
Разложим знаменатели на множители: $x^2-1 = (x-1)(x+1)$, $x(x-1)$, $2x+2 = 2(x+1)$.
ОДЗ: $x \neq 0$, $x \neq 1$, $x \neq -1$.
Общий знаменатель: $2x(x-1)(x+1)$.
$\frac{1 \cdot 2x}{2x(x-1)(x+1)} - \frac{1 \cdot 2(x+1)}{2x(x-1)(x+1)} - \frac{3 \cdot x(x-1)}{2x(x-1)(x+1)} = 0$
Решаем уравнение для числителя:
$2x - 2(x+1) - 3x(x-1) = 0$
$2x - 2x - 2 - 3x^2 + 3x = 0$
$-3x^2 + 3x - 2 = 0$
$3x^2 - 3x + 2 = 0$
Найдем дискриминант: $D = b^2 - 4ac = (-3)^2 - 4 \cdot 3 \cdot 2 = 9 - 24 = -15$.
Так как $D < 0$, действительных корней у уравнения нет.
Ответ: корней нет.

е) $\frac{1}{x^2 - 9} - \frac{1}{x(x - 3)} - \frac{3}{2x + 6} = 0$
Разложим знаменатели на множители: $x^2-9 = (x-3)(x+3)$, $x(x-3)$, $2x+6 = 2(x+3)$.
ОДЗ: $x \neq 0$, $x \neq 3$, $x \neq -3$.
Общий знаменатель: $2x(x-3)(x+3)$.
$\frac{1 \cdot 2x}{2x(x-3)(x+3)} - \frac{1 \cdot 2(x+3)}{2x(x-3)(x+3)} - \frac{3 \cdot x(x-3)}{2x(x-3)(x+3)} = 0$
Решаем уравнение для числителя:
$2x - 2(x+3) - 3x(x-3) = 0$
$2x - 2x - 6 - 3x^2 + 9x = 0$
$-3x^2 + 9x - 6 = 0$
Разделим обе части на -3:
$x^2 - 3x + 2 = 0$
По теореме Виета, корни уравнения: $x_1 = 1$, $x_2 = 2$.
Оба корня удовлетворяют ОДЗ ($x \neq 0, \pm 3$).
Ответ: 1; 2.

Помогло решение? Оставьте отзыв в комментариях ниже.

Присоединяйтесь к Телеграм-группе @gdz_by_belarus

Присоединиться

Мы подготовили для вас ответ c подробным объяснением домашего задания по алгебре за 7-9 класс, для упражнения номер 36.16 расположенного на странице 180 к сборнику задач 2020 года издания для учащихся школ и гимназий.

Теперь на нашем сайте ГДЗ.ТОП вы всегда легко и бесплатно найдёте условие с правильным ответом на вопрос «Как решить ДЗ» и «Как сделать» задание по алгебре к упражнению №36.16 (с. 180), авторов: Арефьева (Ирина Глебовна), Пирютко (Ольга Николаевна), учебного пособия издательства Народная асвета.