Номер 13.9, страница 56 - гдз по алгебре 7-9 класс сборник задач Арефьева, Пирютко

Алгебра, 7-9 класс Сборник задач, авторы: Арефьева Ирина Глебовна, Пирютко Ольга Николаевна, издательство Народная асвета, Минск, 2020

Авторы: Арефьева И. Г., Пирютко О. Н.

Тип: Сборник задач

Издательство: Народная асвета

Год издания: 2020 - 2025

Цвет обложки: синий с графиками

Допущено Министерством образования Республики Беларусь

Популярные ГДЗ в 7 классе

7 класс. Параграф 13. Разложение многочлена на множители - номер 13.9, страница 56.

№13.9 (с. 56)
Условие. №13.9 (с. 56)
скриншот условия
Алгебра, 7-9 класс Сборник задач, авторы: Арефьева Ирина Глебовна, Пирютко Ольга Николаевна, издательство Народная асвета, Минск, 2020, страница 56, номер 13.9, Условие

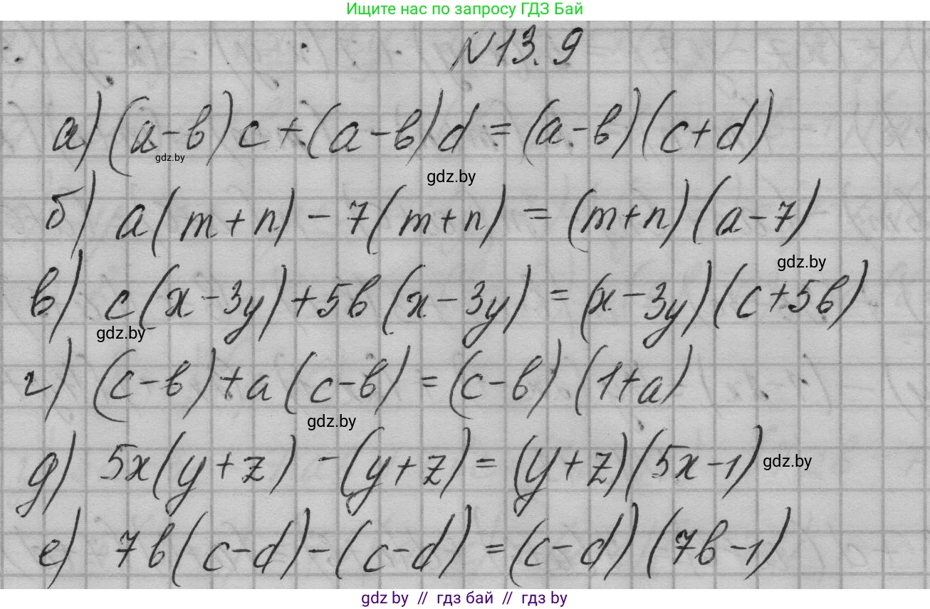
13.9. Представьте выражение в виде произведения:

а) $(a-b)c + (a-b)d$;

б) $a(m+n) - 7(m+n)$;

в) $c(x-3y) + 5b(x-3y)$;

г) $(c-b) + a(c-b)$;

д) $5x(y+z) - (y+z)$;

е) $7b(c-d) - (c-d)$.

Решение. №13.9 (с. 56)
Алгебра, 7-9 класс Сборник задач, авторы: Арефьева Ирина Глебовна, Пирютко Ольга Николаевна, издательство Народная асвета, Минск, 2020, страница 56, номер 13.9, Решение
Решение 2. №13.9 (с. 56)

а) В данном выражении $(a-b)c + (a-b)d$ мы видим, что оба слагаемых содержат общий множитель $(a-b)$. Чтобы представить выражение в виде произведения, мы выносим этот общий множитель за скобки. От первого слагаемого, $(a-b)c$, в скобках остается $c$. От второго слагаемого, $(a-b)d$, в скобках остается $d$. Соединяем их знаком плюс, который стоит между слагаемыми.
$(a-b)c + (a-b)d = (a-b)(c+d)$.
Ответ: $(a-b)(c+d)$

б) В выражении $a(m+n) - 7(m+n)$ общим множителем является выражение $(m+n)$. Выносим его за скобки. От уменьшаемого $a(m+n)$ остается множитель $a$, а от вычитаемого $7(m+n)$ остается множитель $7$. Внутри вторых скобок записываем разность оставшихся частей.
$a(m+n) - 7(m+n) = (m+n)(a-7)$.
Ответ: $(m+n)(a-7)$

в) В выражении $c(x-3y) + 5b(x-3y)$ общий множитель для обоих слагаемых — это $(x-3y)$. Вынесем его за скобки. От первого слагаемого $c(x-3y)$ останется $c$, а от второго $5b(x-3y)$ останется $5b$.
$c(x-3y) + 5b(x-3y) = (x-3y)(c+5b)$.
Ответ: $(x-3y)(c+5b)$

г) В выражении $(c-b) + a(c-b)$ общим множителем является $(c-b)$. Первое слагаемое $(c-b)$ можно представить как произведение $1 \cdot (c-b)$. После вынесения общего множителя $(c-b)$ за скобки, от первого слагаемого остается $1$, а от второго — $a$.
$(c-b) + a(c-b) = 1 \cdot (c-b) + a(c-b) = (c-b)(1+a)$.
Ответ: $(c-b)(1+a)$

д) В выражении $5x(y+z) - (y+z)$ общим множителем является $(y+z)$. Вычитаемое $(y+z)$ можно представить как $1 \cdot (y+z)$. Вынесем общий множитель $(y+z)$ за скобки. От уменьшаемого $5x(y+z)$ останется $5x$, а от вычитаемого $(y+z)$ останется $1$.
$5x(y+z) - (y+z) = 5x(y+z) - 1 \cdot (y+z) = (y+z)(5x-1)$.
Ответ: $(y+z)(5x-1)$

е) В выражении $7b(c-d) - (c-d)$ общим множителем является $(c-d)$. Вычитаемое $(c-d)$ можно записать как $1 \cdot (c-d)$. Выносим общий множитель $(c-d)$ за скобки. От уменьшаемого $7b(c-d)$ останется $7b$, а от вычитаемого $(c-d)$ останется $1$.
$7b(c-d) - (c-d) = 7b(c-d) - 1 \cdot (c-d) = (c-d)(7b-1)$.
Ответ: $(c-d)(7b-1)$

Помогло решение? Оставьте отзыв в комментариях ниже.

Присоединяйтесь к Телеграм-группе @gdz_by_belarus

Присоединиться

Мы подготовили для вас ответ c подробным объяснением домашего задания по алгебре за 7-9 класс, для упражнения номер 13.9 расположенного на странице 56 к сборнику задач 2020 года издания для учащихся школ и гимназий.

Теперь на нашем сайте ГДЗ.ТОП вы всегда легко и бесплатно найдёте условие с правильным ответом на вопрос «Как решить ДЗ» и «Как сделать» задание по алгебре к упражнению №13.9 (с. 56), авторов: Арефьева (Ирина Глебовна), Пирютко (Ольга Николаевна), учебного пособия издательства Народная асвета.