Номер 13.15, страница 57 - гдз по алгебре 7-9 класс сборник задач Арефьева, Пирютко

Алгебра, 7-9 класс Сборник задач, авторы: Арефьева Ирина Глебовна, Пирютко Ольга Николаевна, издательство Народная асвета, Минск, 2020

Авторы: Арефьева И. Г., Пирютко О. Н.

Тип: Сборник задач

Издательство: Народная асвета

Год издания: 2020 - 2025

Цвет обложки: синий с графиками

Допущено Министерством образования Республики Беларусь

Популярные ГДЗ в 7 классе

7 класс. Параграф 13. Разложение многочлена на множители - номер 13.15, страница 57.

№13.15 (с. 57)
Условие. №13.15 (с. 57)
скриншот условия
Алгебра, 7-9 класс Сборник задач, авторы: Арефьева Ирина Глебовна, Пирютко Ольга Николаевна, издательство Народная асвета, Минск, 2020, страница 57, номер 13.15, Условие

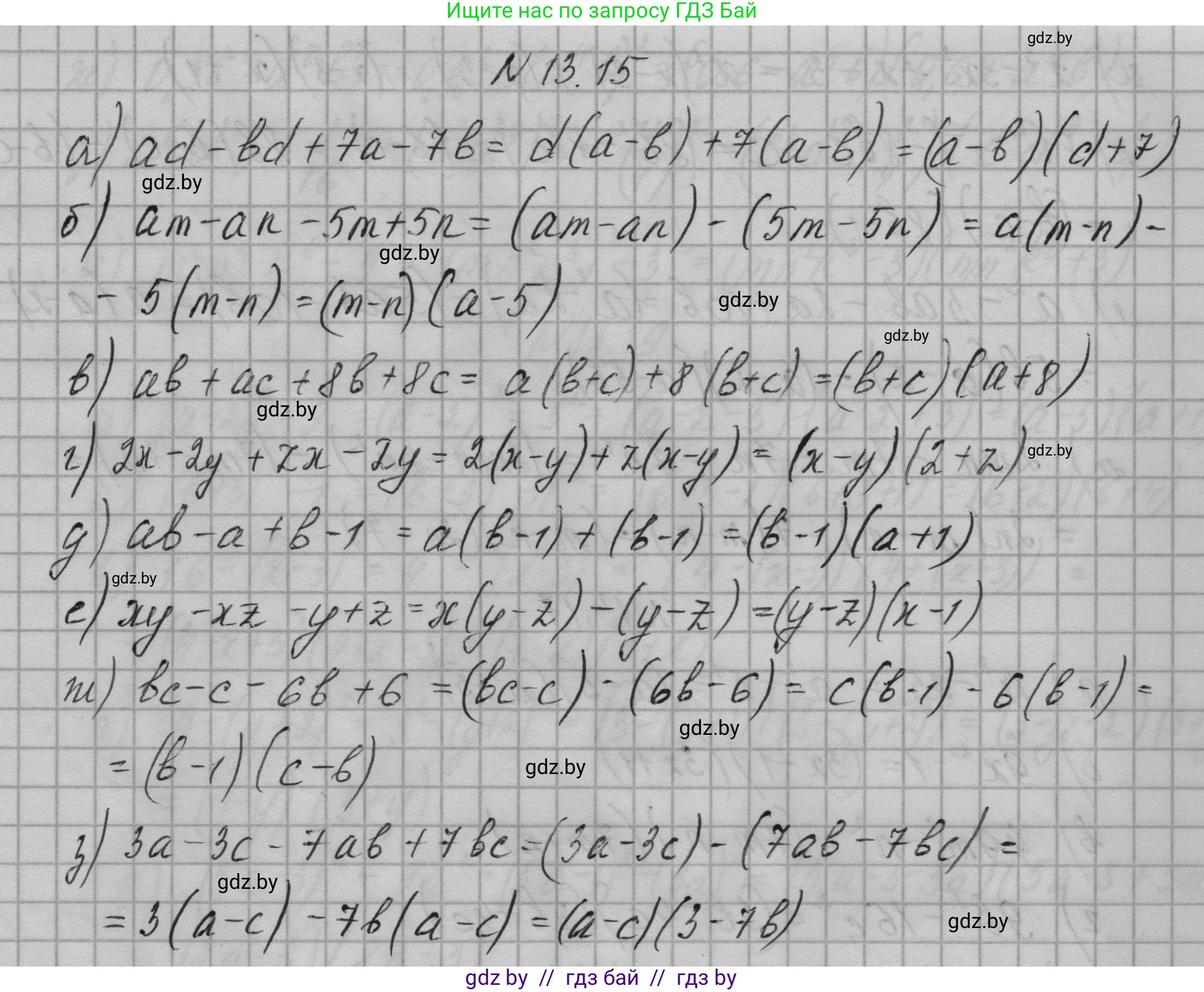
13.15. Разложите многочлен на множители, используя способ группировки:

а) $ad - bd + 7a - 7b;$

б) $am - an - 5m + 5n;$

в) $ab + ac + 8b + 8c;$

г) $2x - 2y + zx - zy;$

д) $ab - a + b - 1;$

е) $xy - xz - y + z;$

ж) $bc - c - 6b + 6;$

з) $3a - 3c - 7ab + 7bc.$

Решение. №13.15 (с. 57)
Алгебра, 7-9 класс Сборник задач, авторы: Арефьева Ирина Глебовна, Пирютко Ольга Николаевна, издательство Народная асвета, Минск, 2020, страница 57, номер 13.15, Решение
Решение 2. №13.15 (с. 57)

а) $ad - bd + 7a - 7b$

Для разложения многочлена на множители сгруппируем его члены. Сгруппируем первые два члена и последние два члена:

$(ad - bd) + (7a - 7b)$

В первой группе вынесем за скобки общий множитель $d$: $d(a - b)$.

Во второй группе вынесем за скобки общий множитель $7$: $7(a - b)$.

Теперь выражение выглядит так: $d(a - b) + 7(a - b)$.

Мы видим, что у обоих слагаемых есть общий множитель — скобка $(a - b)$. Вынесем ее за скобки:

$(a - b)(d + 7)$.

Ответ: $(a - b)(d + 7)$.

б) $am - an - 5m + 5n$

Сгруппируем члены многочлена: $(am - an) + (-5m + 5n)$.

В первой группе вынесем за скобки общий множитель $a$: $a(m - n)$.

Во второй группе вынесем за скобки $-5$, чтобы получить такую же скобку, как и в первой группе: $-5(m - n)$.

Получим выражение: $a(m - n) - 5(m - n)$.

Вынесем общий множитель $(m - n)$ за скобки:

$(m - n)(a - 5)$.

Ответ: $(m - n)(a - 5)$.

в) $ab + ac + 8b + 8c$

Сгруппируем попарно члены многочлена: $(ab + ac) + (8b + 8c)$.

В первой группе вынесем за скобки общий множитель $a$: $a(b + c)$.

Во второй группе вынесем за скобки общий множитель $8$: $8(b + c)$.

Получим: $a(b + c) + 8(b + c)$.

Вынесем общий множитель $(b + c)$ за скобки:

$(b + c)(a + 8)$.

Ответ: $(b + c)(a + 8)$.

г) $2x - 2y + zx - zy$

Сгруппируем члены многочлена: $(2x - 2y) + (zx - zy)$.

В первой группе вынесем за скобки $2$: $2(x - y)$.

Во второй группе вынесем за скобки $z$: $z(x - y)$.

Получим выражение: $2(x - y) + z(x - y)$.

Вынесем общий множитель $(x - y)$ за скобки:

$(x - y)(2 + z)$.

Ответ: $(x - y)(2 + z)$.

д) $ab - a + b - 1$

Сгруппируем члены многочлена: $(ab - a) + (b - 1)$.

В первой группе вынесем за скобки $a$: $a(b - 1)$.

Вторая группа уже представляет собой множитель $(b - 1)$, который можно записать как $1 \cdot (b - 1)$.

Получим: $a(b - 1) + 1(b - 1)$.

Вынесем общий множитель $(b - 1)$ за скобки:

$(b - 1)(a + 1)$.

Ответ: $(b - 1)(a + 1)$.

е) $xy - xz - y + z$

Сгруппируем члены многочлена: $(xy - xz) + (-y + z)$.

В первой группе вынесем за скобки $x$: $x(y - z)$.

Во второй группе вынесем за скобки $-1$, чтобы получить скобку $(y - z)$: $-1(y - z)$.

Получим: $x(y - z) - 1(y - z)$.

Вынесем общий множитель $(y - z)$ за скобки:

$(y - z)(x - 1)$.

Ответ: $(y - z)(x - 1)$.

ж) $bc - c - 6b + 6$

Сгруппируем члены многочлена: $(bc - c) + (-6b + 6)$.

В первой группе вынесем за скобки $c$: $c(b - 1)$.

Во второй группе вынесем за скобки $-6$: $-6(b - 1)$.

Получим: $c(b - 1) - 6(b - 1)$.

Вынесем общий множитель $(b - 1)$ за скобки:

$(b - 1)(c - 6)$.

Ответ: $(b - 1)(c - 6)$.

з) $3a - 3c - 7ab + 7bc$

Сгруппируем члены многочлена: $(3a - 3c) + (-7ab + 7bc)$.

В первой группе вынесем за скобки $3$: $3(a - c)$.

Во второй группе вынесем за скобки $-7b$, чтобы получить скобку $(a - c)$: $-7b(a - c)$.

Получим: $3(a - c) - 7b(a - c)$.

Вынесем общий множитель $(a - c)$ за скобки:

$(a - c)(3 - 7b)$.

Ответ: $(a - c)(3 - 7b)$.

Помогло решение? Оставьте отзыв в комментариях ниже.

Присоединяйтесь к Телеграм-группе @gdz_by_belarus

Присоединиться

Мы подготовили для вас ответ c подробным объяснением домашего задания по алгебре за 7-9 класс, для упражнения номер 13.15 расположенного на странице 57 к сборнику задач 2020 года издания для учащихся школ и гимназий.

Теперь на нашем сайте ГДЗ.ТОП вы всегда легко и бесплатно найдёте условие с правильным ответом на вопрос «Как решить ДЗ» и «Как сделать» задание по алгебре к упражнению №13.15 (с. 57), авторов: Арефьева (Ирина Глебовна), Пирютко (Ольга Николаевна), учебного пособия издательства Народная асвета.