Номер 13.10, страница 56 - гдз по алгебре 7-9 класс сборник задач Арефьева, Пирютко

Алгебра, 7-9 класс Сборник задач, авторы: Арефьева Ирина Глебовна, Пирютко Ольга Николаевна, издательство Народная асвета, Минск, 2020

Авторы: Арефьева И. Г., Пирютко О. Н.

Тип: Сборник задач

Издательство: Народная асвета

Год издания: 2020 - 2025

Цвет обложки: синий с графиками

Допущено Министерством образования Республики Беларусь

Популярные ГДЗ в 7 классе

7 класс. Параграф 13. Разложение многочлена на множители - номер 13.10, страница 56.

№13.10 (с. 56)
Условие. №13.10 (с. 56)
скриншот условия
Алгебра, 7-9 класс Сборник задач, авторы: Арефьева Ирина Глебовна, Пирютко Ольга Николаевна, издательство Народная асвета, Минск, 2020, страница 56, номер 13.10, Условие

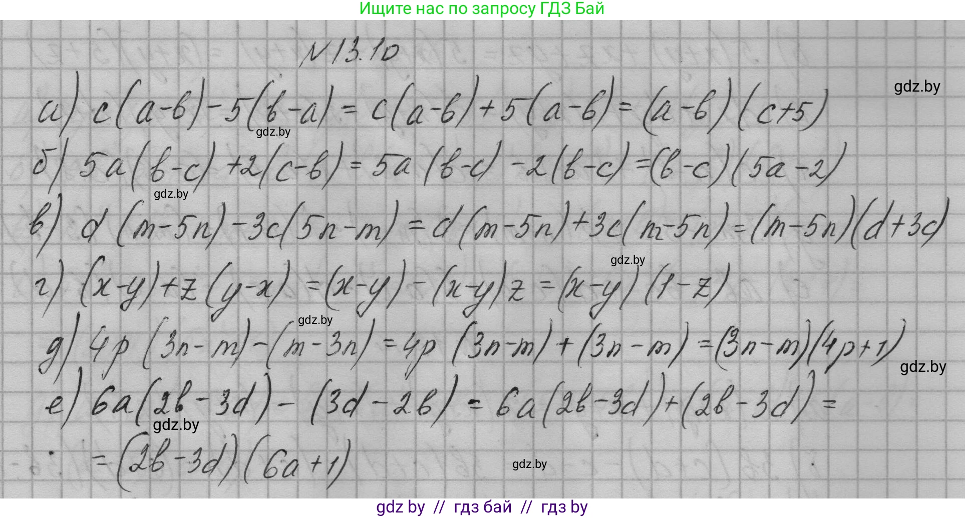
13.10. Разложите многочлен на множители, используя вынесение общего множителя за скобки:

а) $c(a - b) - 5(b - a)$;

б) $5a(b - c) + 2(c - b)$;

в) $d(m - 5n) - 3c(5n - m)$;

г) $(x - y) + z(y - x)$;

д) $4p(3n - m) - (m - 3n)$;

е) $6a(2b - 3d) - (3d - 2b)$.

Решение. №13.10 (с. 56)
Алгебра, 7-9 класс Сборник задач, авторы: Арефьева Ирина Глебовна, Пирютко Ольга Николаевна, издательство Народная асвета, Минск, 2020, страница 56, номер 13.10, Решение
Решение 2. №13.10 (с. 56)

а) $c(a-b) - 5(b-a)$

Для разложения многочлена на множители необходимо найти общий множитель. Заметим, что выражения в скобках $(a-b)$ и $(b-a)$ являются противоположными, то есть $(b-a) = -(a-b)$. Используем это свойство, чтобы привести слагаемые к общему множителю.

$c(a-b) - 5(b-a) = c(a-b) - 5 \cdot (-(a-b)) = c(a-b) + 5(a-b)$

Теперь общий множитель $(a-b)$ можно вынести за скобки:

$(a-b)(c+5)$

Ответ: $(a-b)(c+5)$

б) $5a(b-c) + 2(c-b)$

Аналогично предыдущему примеру, выражения в скобках $(b-c)$ и $(c-b)$ противоположны. Преобразуем второе слагаемое, используя равенство $(c-b) = -(b-c)$.

$5a(b-c) + 2(c-b) = 5a(b-c) + 2 \cdot (-(b-c)) = 5a(b-c) - 2(b-c)$

Вынесем общий множитель $(b-c)$ за скобки:

$(b-c)(5a-2)$

Ответ: $(b-c)(5a-2)$

в) $d(m-5n) - 3c(5n-m)$

Выражения в скобках $(m-5n)$ и $(5n-m)$ также противоположны: $(5n-m) = -(m-5n)$. Подставим это в исходное выражение.

$d(m-5n) - 3c(5n-m) = d(m-5n) - 3c \cdot (-(m-5n)) = d(m-5n) + 3c(m-5n)$

Теперь выносим общий множитель $(m-5n)$:

$(m-5n)(d+3c)$

Ответ: $(m-5n)(d+3c)$

г) $(x-y) + z(y-x)$

Преобразуем выражение в скобках во втором слагаемом: $(y-x) = -(x-y)$.

$(x-y) + z(y-x) = (x-y) + z \cdot (-(x-y)) = (x-y) - z(x-y)$

Первое слагаемое можно представить как $1 \cdot (x-y)$.

$1 \cdot (x-y) - z(x-y)$

Вынесем общий множитель $(x-y)$ за скобки:

$(x-y)(1-z)$

Ответ: $(x-y)(1-z)$

д) $4p(3n-m) - (m-3n)$

Выражения $(3n-m)$ и $(m-3n)$ являются противоположными. Используем равенство $(m-3n) = -(3n-m)$.

$4p(3n-m) - (m-3n) = 4p(3n-m) - (-(3n-m)) = 4p(3n-m) + (3n-m)$

Представим второе слагаемое как $1 \cdot (3n-m)$.

$4p(3n-m) + 1 \cdot (3n-m)$

Вынесем общий множитель $(3n-m)$ за скобки:

$(3n-m)(4p+1)$

Ответ: $(3n-m)(4p+1)$

е) $6a(2b-3d) - (3d-2b)$

Преобразуем вычитаемое, используя то, что $(3d-2b) = -(2b-3d)$.

$6a(2b-3d) - (3d-2b) = 6a(2b-3d) - (-(2b-3d)) = 6a(2b-3d) + (2b-3d)$

Представим второе слагаемое как $1 \cdot (2b-3d)$.

$6a(2b-3d) + 1 \cdot (2b-3d)$

Вынесем общий множитель $(2b-3d)$ за скобки:

$(2b-3d)(6a+1)$

Ответ: $(2b-3d)(6a+1)$

Помогло решение? Оставьте отзыв в комментариях ниже.

Присоединяйтесь к Телеграм-группе @gdz_by_belarus

Присоединиться

Мы подготовили для вас ответ c подробным объяснением домашего задания по алгебре за 7-9 класс, для упражнения номер 13.10 расположенного на странице 56 к сборнику задач 2020 года издания для учащихся школ и гимназий.

Теперь на нашем сайте ГДЗ.ТОП вы всегда легко и бесплатно найдёте условие с правильным ответом на вопрос «Как решить ДЗ» и «Как сделать» задание по алгебре к упражнению №13.10 (с. 56), авторов: Арефьева (Ирина Глебовна), Пирютко (Ольга Николаевна), учебного пособия издательства Народная асвета.