Номер 21.10, страница 95 - гдз по алгебре 7-9 класс сборник задач Арефьева, Пирютко
Авторы: Арефьева И. Г., Пирютко О. Н.
Тип: Сборник задач
Издательство: Народная асвета
Год издания: 2020 - 2025
Цвет обложки: синий с графиками
Допущено Министерством образования Республики Беларусь
Популярные ГДЗ в 7 классе
8 класс. Параграф 21. Арифметический квадратный корень. Множество действительных чисел - номер 21.10, страница 95.
№21.10 (с. 95)
Условие. №21.10 (с. 95)
скриншот условия
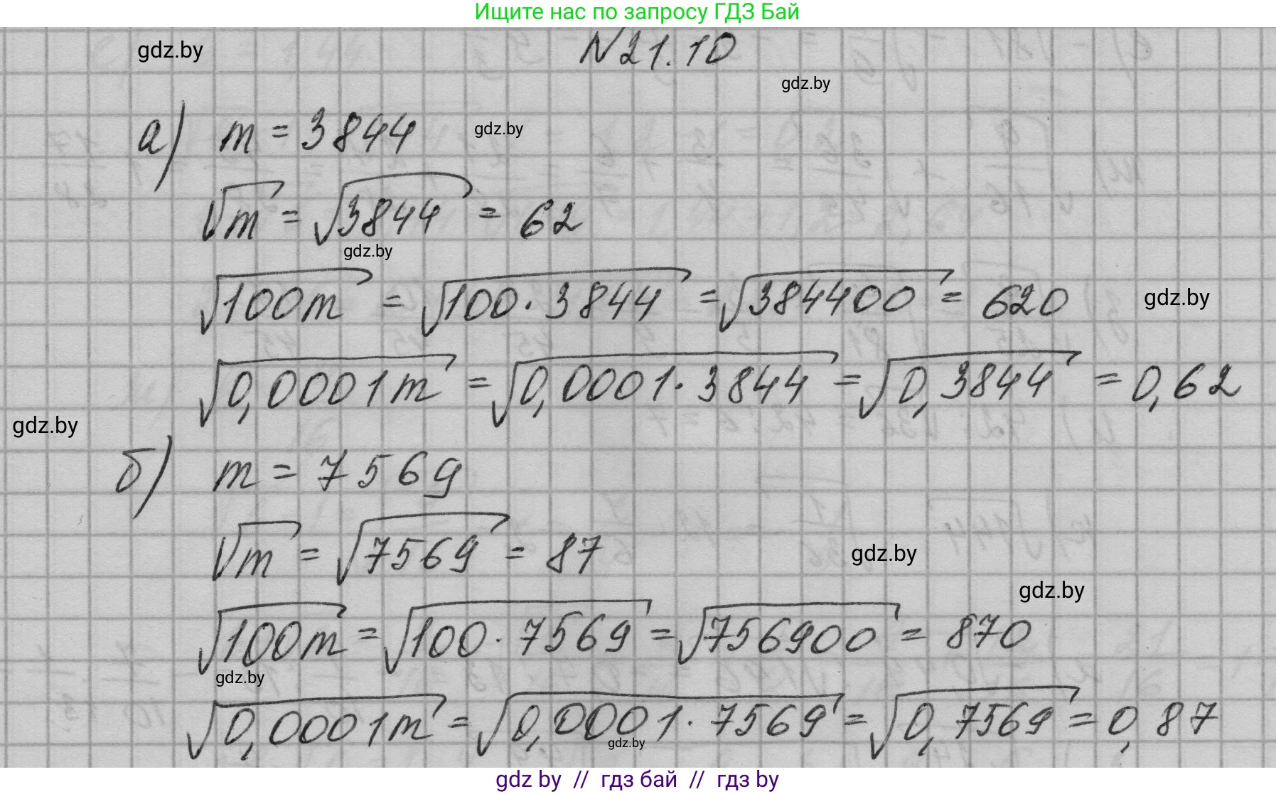
21.10. Пользуясь таблицей квадратов натуральных чисел, найдите значения выражений $\sqrt{m}$; $\sqrt{100m}$; $\sqrt{0,0001m}$, если:
а) $m = 3844$;
б) $m = 7569$.
Решение. №21.10 (с. 95)
Решение 2. №21.10 (с. 95)
а)
При $m = 3844$ найдем значения выражений $\sqrt{m}$, $\sqrt{100m}$ и $\sqrt{0,0001m}$.
1. Сначала найдем значение $\sqrt{m} = \sqrt{3844}$.
Используя таблицу квадратов натуральных чисел, находим, что $62^2 = 3844$.
Следовательно, $\sqrt{3844} = 62$.
2. Теперь найдем значение $\sqrt{100m}$.
Воспользуемся свойством корня из произведения: $\sqrt{a \cdot b} = \sqrt{a} \cdot \sqrt{b}$.
$\sqrt{100m} = \sqrt{100 \cdot 3844} = \sqrt{100} \cdot \sqrt{3844} = 10 \cdot 62 = 620$.
3. Наконец, найдем значение $\sqrt{0,0001m}$.
$\sqrt{0,0001m} = \sqrt{0,0001 \cdot 3844} = \sqrt{0,0001} \cdot \sqrt{3844}$.
Так как $0,01^2 = 0,0001$, то $\sqrt{0,0001} = 0,01$.
$\sqrt{0,0001} \cdot \sqrt{3844} = 0,01 \cdot 62 = 0,62$.
Ответ: $62$; $620$; $0,62$.
б)
При $m = 7569$ найдем значения выражений $\sqrt{m}$, $\sqrt{100m}$ и $\sqrt{0,0001m}$.
1. Сначала найдем значение $\sqrt{m} = \sqrt{7569}$.
Используя таблицу квадратов натуральных чисел, находим, что $87^2 = 7569$.
Следовательно, $\sqrt{7569} = 87$.
2. Теперь найдем значение $\sqrt{100m}$.
$\sqrt{100m} = \sqrt{100 \cdot 7569} = \sqrt{100} \cdot \sqrt{7569} = 10 \cdot 87 = 870$.
3. Наконец, найдем значение $\sqrt{0,0001m}$.
$\sqrt{0,0001m} = \sqrt{0,0001 \cdot 7569} = \sqrt{0,0001} \cdot \sqrt{7569} = 0,01 \cdot 87 = 0,87$.
Ответ: $87$; $870$; $0,87$.
Другие задания:
Помогло решение? Оставьте отзыв в комментариях ниже.
Присоединяйтесь к Телеграм-группе @gdz_by_belarus
ПрисоединитьсяМы подготовили для вас ответ c подробным объяснением домашего задания по алгебре за 7-9 класс, для упражнения номер 21.10 расположенного на странице 95 к сборнику задач 2020 года издания для учащихся школ и гимназий.
Теперь на нашем сайте ГДЗ.ТОП вы всегда легко и бесплатно найдёте условие с правильным ответом на вопрос «Как решить ДЗ» и «Как сделать» задание по алгебре к упражнению №21.10 (с. 95), авторов: Арефьева (Ирина Глебовна), Пирютко (Ольга Николаевна), учебного пособия издательства Народная асвета.