Номер 21.13, страница 96 - гдз по алгебре 7-9 класс сборник задач Арефьева, Пирютко

Алгебра, 7-9 класс Сборник задач, авторы: Арефьева Ирина Глебовна, Пирютко Ольга Николаевна, издательство Народная асвета, Минск, 2020

Авторы: Арефьева И. Г., Пирютко О. Н.

Тип: Сборник задач

Издательство: Народная асвета

Год издания: 2020 - 2025

Цвет обложки: синий с графиками

Допущено Министерством образования Республики Беларусь

Популярные ГДЗ в 7 классе

8 класс. Параграф 21. Арифметический квадратный корень. Множество действительных чисел - номер 21.13, страница 96.

№21.13 (с. 96)
Условие. №21.13 (с. 96)
скриншот условия
Алгебра, 7-9 класс Сборник задач, авторы: Арефьева Ирина Глебовна, Пирютко Ольга Николаевна, издательство Народная асвета, Минск, 2020, страница 96, номер 21.13, Условие

21.13. Найдите значение выражения $\sqrt{3a + 1}$ при:

а) $a = 0;$

б) $a = 1;$

в) $a = 21;$

г) $a = -0,33;$

д) $a = -0,32;$

е) $a = 2\frac{2}{3};$

ж) $a = -\frac{8}{25};$

з) $a = -\frac{16}{75};$

и) $a = -\frac{7}{121}.$

Можно ли найти значение данного выражения при $a = -1$?

Решение. №21.13 (с. 96)
Алгебра, 7-9 класс Сборник задач, авторы: Арефьева Ирина Глебовна, Пирютко Ольга Николаевна, издательство Народная асвета, Минск, 2020, страница 96, номер 21.13, Решение Алгебра, 7-9 класс Сборник задач, авторы: Арефьева Ирина Глебовна, Пирютко Ольга Николаевна, издательство Народная асвета, Минск, 2020, страница 96, номер 21.13, Решение (продолжение 2)
Решение 2. №21.13 (с. 96)

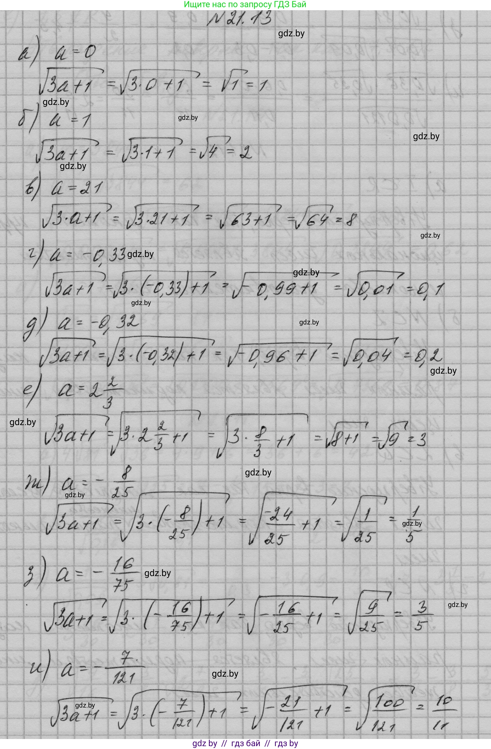
Для нахождения значения выражения $\sqrt{3a+1}$ подставим в него заданные значения переменной $a$.

а) При $a=0$:

$\sqrt{3 \cdot 0 + 1} = \sqrt{0 + 1} = \sqrt{1} = 1$.

Ответ: 1.

б) При $a=1$:

$\sqrt{3 \cdot 1 + 1} = \sqrt{3 + 1} = \sqrt{4} = 2$.

Ответ: 2.

в) При $a=21$:

$\sqrt{3 \cdot 21 + 1} = \sqrt{63 + 1} = \sqrt{64} = 8$.

Ответ: 8.

г) При $a=-0,33$:

$\sqrt{3 \cdot (-0,33) + 1} = \sqrt{-0,99 + 1} = \sqrt{0,01} = 0,1$.

Ответ: 0,1.

д) При $a=-0,32$:

$\sqrt{3 \cdot (-0,32) + 1} = \sqrt{-0,96 + 1} = \sqrt{0,04} = 0,2$.

Ответ: 0,2.

е) При $a=2\frac{2}{3}$:

Сначала преобразуем смешанное число в неправильную дробь: $2\frac{2}{3} = \frac{2 \cdot 3 + 2}{3} = \frac{8}{3}$.

$\sqrt{3 \cdot \frac{8}{3} + 1} = \sqrt{8 + 1} = \sqrt{9} = 3$.

Ответ: 3.

ж) При $a=-\frac{8}{25}$:

$\sqrt{3 \cdot (-\frac{8}{25}) + 1} = \sqrt{-\frac{24}{25} + 1} = \sqrt{-\frac{24}{25} + \frac{25}{25}} = \sqrt{\frac{1}{25}} = \frac{1}{5}$.

Ответ: $\frac{1}{5}$.

з) При $a=-\frac{16}{75}$:

$\sqrt{3 \cdot (-\frac{16}{75}) + 1} = \sqrt{-\frac{16 \cdot 3}{75} + 1} = \sqrt{-\frac{16}{25} + 1} = \sqrt{-\frac{16}{25} + \frac{25}{25}} = \sqrt{\frac{9}{25}} = \frac{3}{5}$.

Ответ: $\frac{3}{5}$.

и) При $a=-\frac{7}{121}$:

$\sqrt{3 \cdot (-\frac{7}{121}) + 1} = \sqrt{-\frac{21}{121} + 1} = \sqrt{-\frac{21}{121} + \frac{121}{121}} = \sqrt{\frac{100}{121}} = \frac{10}{11}$.

Ответ: $\frac{10}{11}$.

Можно ли найти значение данного выражения при a = -1?

Арифметический квадратный корень $\sqrt{x}$ определен для неотрицательных значений $x$, то есть $x \ge 0$. В нашем случае подкоренное выражение равно $3a+1$.

Таким образом, выражение $\sqrt{3a+1}$ имеет смысл только при условии $3a+1 \ge 0$.

Решим это неравенство:

$3a \ge -1$

$a \ge -\frac{1}{3}$

Значение $a = -1$ не удовлетворяет этому условию, так как $-1 < -\frac{1}{3}$.

При подстановке $a=-1$ в подкоренное выражение получаем: $3(-1)+1 = -3+1 = -2$.

Выражение принимает вид $\sqrt{-2}$. В области действительных чисел корень из отрицательного числа не существует.

Ответ: Нет, нельзя, так как при $a=-1$ подкоренное выражение становится отрицательным.

Помогло решение? Оставьте отзыв в комментариях ниже.

Присоединяйтесь к Телеграм-группе @gdz_by_belarus

Присоединиться

Мы подготовили для вас ответ c подробным объяснением домашего задания по алгебре за 7-9 класс, для упражнения номер 21.13 расположенного на странице 96 к сборнику задач 2020 года издания для учащихся школ и гимназий.

Теперь на нашем сайте ГДЗ.ТОП вы всегда легко и бесплатно найдёте условие с правильным ответом на вопрос «Как решить ДЗ» и «Как сделать» задание по алгебре к упражнению №21.13 (с. 96), авторов: Арефьева (Ирина Глебовна), Пирютко (Ольга Николаевна), учебного пособия издательства Народная асвета.