Номер 23.46, страница 111 - гдз по алгебре 7-9 класс сборник задач Арефьева, Пирютко
Авторы: Арефьева И. Г., Пирютко О. Н.
Тип: Сборник задач
Издательство: Народная асвета
Год издания: 2020 - 2025
Цвет обложки: синий с графиками
Допущено Министерством образования Республики Беларусь
Популярные ГДЗ в 7 классе
8 класс. Параграф 23. Применение свойств квадратных корней - номер 23.46, страница 111.
№23.46 (с. 111)
Условие. №23.46 (с. 111)
скриншот условия
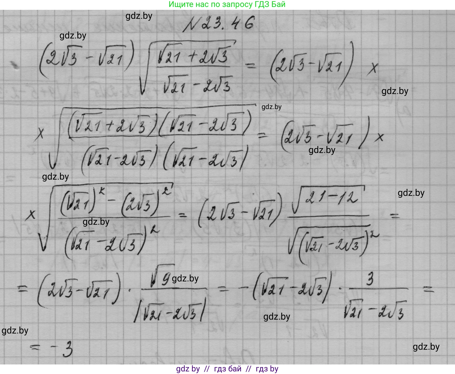
23.46*. Найдите значение выражения $(2\sqrt{3} - \sqrt{21})\sqrt{\frac{\sqrt{21} + 2\sqrt{3}}{\sqrt{21} - 2\sqrt{3}}}$.
Решение. №23.46 (с. 111)
Решение 2. №23.46 (с. 111)
Для того чтобы найти значение данного выражения, выполним преобразования по шагам.
1. Упростим выражение под знаком корня $\sqrt{\frac{\sqrt{21} + 2\sqrt{3}}{\sqrt{21} - 2\sqrt{3}}}$. Для этого избавимся от иррациональности в знаменателе дроби, умножив числитель и знаменатель на сопряженное выражение к знаменателю, то есть на $(\sqrt{21} + 2\sqrt{3})$:
$\frac{\sqrt{21} + 2\sqrt{3}}{\sqrt{21} - 2\sqrt{3}} = \frac{(\sqrt{21} + 2\sqrt{3})(\sqrt{21} + 2\sqrt{3})}{(\sqrt{21} - 2\sqrt{3})(\sqrt{21} + 2\sqrt{3})} = \frac{(\sqrt{21} + 2\sqrt{3})^2}{(\sqrt{21})^2 - (2\sqrt{3})^2}$
2. Вычислим значение знаменателя, используя формулу разности квадратов $(a-b)(a+b) = a^2 - b^2$:
$(\sqrt{21})^2 - (2\sqrt{3})^2 = 21 - 4 \cdot 3 = 21 - 12 = 9$.
3. Таким образом, дробь под корнем равна $\frac{(\sqrt{21} + 2\sqrt{3})^2}{9}$. Подставим это обратно в выражение:
$(2\sqrt{3} - \sqrt{21}) \sqrt{\frac{(\sqrt{21} + 2\sqrt{3})^2}{9}}$
4. Теперь извлечем квадратный корень:
$\sqrt{\frac{(\sqrt{21} + 2\sqrt{3})^2}{9}} = \frac{\sqrt{(\sqrt{21} + 2\sqrt{3})^2}}{\sqrt{9}} = \frac{|\sqrt{21} + 2\sqrt{3}|}{3}$
Так как $\sqrt{21}$ и $2\sqrt{3}$ — положительные числа, их сумма также положительна, поэтому модуль можно убрать: $\frac{\sqrt{21} + 2\sqrt{3}}{3}$.
5. Теперь все выражение принимает вид:
$(2\sqrt{3} - \sqrt{21}) \cdot \frac{\sqrt{21} + 2\sqrt{3}}{3}$
6. Переставим слагаемые во втором множителе и применим формулу разности квадратов к числителю:
$\frac{(2\sqrt{3} - \sqrt{21})(2\sqrt{3} + \sqrt{21})}{3} = \frac{(2\sqrt{3})^2 - (\sqrt{21})^2}{3} = \frac{12 - 21}{3} = \frac{-9}{3} = -3$.
Ответ: -3
Другие задания:
Помогло решение? Оставьте отзыв в комментариях ниже.
Присоединяйтесь к Телеграм-группе @gdz_by_belarus
ПрисоединитьсяМы подготовили для вас ответ c подробным объяснением домашего задания по алгебре за 7-9 класс, для упражнения номер 23.46 расположенного на странице 111 к сборнику задач 2020 года издания для учащихся школ и гимназий.
Теперь на нашем сайте ГДЗ.ТОП вы всегда легко и бесплатно найдёте условие с правильным ответом на вопрос «Как решить ДЗ» и «Как сделать» задание по алгебре к упражнению №23.46 (с. 111), авторов: Арефьева (Ирина Глебовна), Пирютко (Ольга Николаевна), учебного пособия издательства Народная асвета.