Номер 23.51, страница 112 - гдз по алгебре 7-9 класс сборник задач Арефьева, Пирютко

Алгебра, 7-9 класс Сборник задач, авторы: Арефьева Ирина Глебовна, Пирютко Ольга Николаевна, издательство Народная асвета, Минск, 2020

Авторы: Арефьева И. Г., Пирютко О. Н.

Тип: Сборник задач

Издательство: Народная асвета

Год издания: 2020 - 2025

Цвет обложки: синий с графиками

Допущено Министерством образования Республики Беларусь

Популярные ГДЗ в 7 классе

8 класс. Параграф 23. Применение свойств квадратных корней - номер 23.51, страница 112.

№23.51 (с. 112)
Условие. №23.51 (с. 112)
скриншот условия
Алгебра, 7-9 класс Сборник задач, авторы: Арефьева Ирина Глебовна, Пирютко Ольга Николаевна, издательство Народная асвета, Минск, 2020, страница 112, номер 23.51, Условие

23.51*. Упростите выражение:

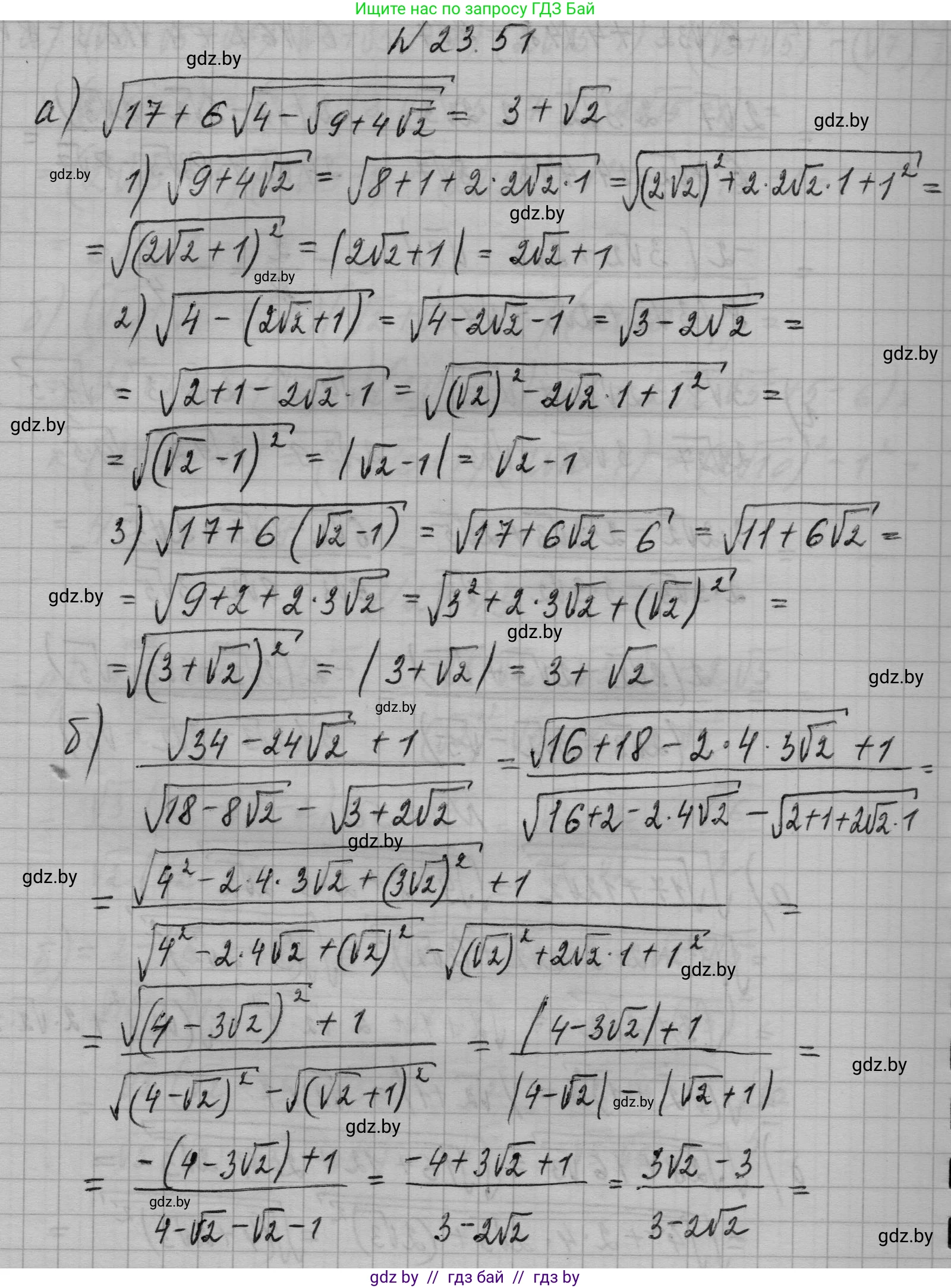
а) $\sqrt{17 + 6\sqrt{4 - \sqrt{9 + 4\sqrt{2}}}}$;

б) $\frac{\sqrt{34 - 24\sqrt{2}} + 1}{\sqrt{18 - 8\sqrt{2}} - \sqrt{3 + 2\sqrt{2}}}$.

Решение. №23.51 (с. 112)
Алгебра, 7-9 класс Сборник задач, авторы: Арефьева Ирина Глебовна, Пирютко Ольга Николаевна, издательство Народная асвета, Минск, 2020, страница 112, номер 23.51, Решение Алгебра, 7-9 класс Сборник задач, авторы: Арефьева Ирина Глебовна, Пирютко Ольга Николаевна, издательство Народная асвета, Минск, 2020, страница 112, номер 23.51, Решение (продолжение 2)
Решение 2. №23.51 (с. 112)

а)

Для упрощения выражения $\sqrt{17+6\sqrt{4-\sqrt{9+4\sqrt{2}}}}$ будем действовать последовательно, начиная с самого внутреннего корня. Этот метод называется "упрощение изнутри".

1. Упростим выражение под самым внутренним корнем: $\sqrt{9+4\sqrt{2}}$.
Для этого представим подкоренное выражение в виде полного квадрата, используя формулу для квадрата суммы $(a+b)^2=a^2+2ab+b^2$. Общая стратегия для выражений вида $\sqrt{X \pm \sqrt{Y}}$ — привести их к виду $\sqrt{A \pm 2\sqrt{B}}$.
$9+4\sqrt{2} = 9+2 \cdot 2\sqrt{2} = 9+2\sqrt{4 \cdot 2} = 9+2\sqrt{8}$.
Теперь нам нужно найти два числа, сумма которых равна 9 ($A=a^2+b^2$), а произведение равно 8 ($B=a^2b^2$). Это числа 8 и 1.
Следовательно, $9+2\sqrt{8} = 8+1+2\sqrt{8 \cdot 1} = (\sqrt{8})^2 + (\sqrt{1})^2 + 2\sqrt{8}\sqrt{1} = (\sqrt{8}+1)^2 = (2\sqrt{2}+1)^2$.
Тогда $\sqrt{9+4\sqrt{2}} = \sqrt{(2\sqrt{2}+1)^2} = 2\sqrt{2}+1$.

2. Подставим полученное значение в следующее "внешнее" выражение:
$\sqrt{4-\sqrt{9+4\sqrt{2}}} = \sqrt{4-(2\sqrt{2}+1)} = \sqrt{4-2\sqrt{2}-1} = \sqrt{3-2\sqrt{2}}$.
Снова представим подкоренное выражение в виде полного квадрата, на этот раз используя формулу для квадрата разности $(a-b)^2=a^2-2ab+b^2$.
Нам нужно найти два числа, сумма которых равна 3, а произведение равно 2. Это числа 2 и 1.
Следовательно, $3-2\sqrt{2} = 2+1-2\sqrt{2 \cdot 1} = (\sqrt{2})^2 + (\sqrt{1})^2 - 2\sqrt{2}\sqrt{1} = (\sqrt{2}-1)^2$.
Тогда $\sqrt{3-2\sqrt{2}} = \sqrt{(\sqrt{2}-1)^2} = \sqrt{2}-1$ (мы берем положительное значение корня, а $\sqrt{2} \approx 1.414 > 1$).

3. Подставим последний результат в исходное выражение:
$\sqrt{17+6\sqrt{4-\sqrt{9+4\sqrt{2}}}} = \sqrt{17+6(\sqrt{2}-1)} = \sqrt{17+6\sqrt{2}-6} = \sqrt{11+6\sqrt{2}}$.
И снова представим подкоренное выражение в виде полного квадрата.
$11+6\sqrt{2} = 11+2 \cdot 3\sqrt{2} = 11+2\sqrt{9 \cdot 2} = 11+2\sqrt{18}$.
Нам нужно найти два числа, сумма которых равна 11, а произведение равно 18. Это числа 9 и 2.
Следовательно, $11+2\sqrt{18} = 9+2+2\sqrt{9 \cdot 2} = (\sqrt{9})^2+(\sqrt{2})^2+2\sqrt{9}\sqrt{2} = (3+\sqrt{2})^2$.
Тогда $\sqrt{11+6\sqrt{2}} = \sqrt{(3+\sqrt{2})^2} = 3+\sqrt{2}$.

Ответ: $3+\sqrt{2}$.

б)

Для упрощения дроби $\frac{\sqrt{34-24\sqrt{2}}+1}{\sqrt{18-8\sqrt{2}}-\sqrt{3+2\sqrt{2}}}$ упростим числитель и знаменатель по отдельности, используя тот же метод выделения полного квадрата под корнем.

1. Упростим числитель: $\sqrt{34-24\sqrt{2}}+1$.
Сначала упростим корень $\sqrt{34-24\sqrt{2}}$.
$34-24\sqrt{2} = 34-2 \cdot 12\sqrt{2} = 34-2\sqrt{144 \cdot 2} = 34-2\sqrt{288}$.
Нам нужно найти два числа, сумма которых равна 34, а произведение равно 288. Разложим 288 на множители: $288 = 2 \cdot 144 = 4 \cdot 72 = 8 \cdot 36 = 16 \cdot 18$. Сумма $16+18=34$. Это и есть нужные числа.
Следовательно, $34-2\sqrt{288} = 18+16-2\sqrt{18 \cdot 16} = (\sqrt{18}-\sqrt{16})^2 = (3\sqrt{2}-4)^2$.
Тогда $\sqrt{34-24\sqrt{2}} = \sqrt{(3\sqrt{2}-4)^2} = 3\sqrt{2}-4$ (так как $(3\sqrt{2})^2=18$, а $4^2=16$, то $3\sqrt{2}>4$).
Таким образом, числитель дроби равен $(3\sqrt{2}-4)+1 = 3\sqrt{2}-3$.

2. Упростим знаменатель: $\sqrt{18-8\sqrt{2}}-\sqrt{3+2\sqrt{2}}$.
Упростим каждый корень отдельно.
Для $\sqrt{18-8\sqrt{2}}$: $18-8\sqrt{2} = 18-2\sqrt{16 \cdot 2} = 18-2\sqrt{32}$.
Ищем два числа, сумма которых 18, а произведение 32. Это числа 16 и 2.
$18-2\sqrt{32} = 16+2-2\sqrt{16 \cdot 2} = (4-\sqrt{2})^2$.
$\sqrt{18-8\sqrt{2}} = \sqrt{(4-\sqrt{2})^2} = 4-\sqrt{2}$ (так как $4>\sqrt{2}$).
Для $\sqrt{3+2\sqrt{2}}$: ищем два числа, сумма которых 3, а произведение 2. Это числа 2 и 1.
$3+2\sqrt{2} = 2+1+2\sqrt{2 \cdot 1} = (\sqrt{2}+1)^2$.
$\sqrt{3+2\sqrt{2}} = \sqrt{(\sqrt{2}+1)^2} = \sqrt{2}+1$.
Теперь вычислим значение знаменателя:
$(4-\sqrt{2}) - (\sqrt{2}+1) = 4-\sqrt{2}-\sqrt{2}-1 = 3-2\sqrt{2}$.

3. Подставим упрощенные числитель и знаменатель в дробь и выполним преобразования:
$\frac{3\sqrt{2}-3}{3-2\sqrt{2}} = \frac{3(\sqrt{2}-1)}{3-2\sqrt{2}}$.
Заметим, что знаменатель $3-2\sqrt{2}$ также является полным квадратом, как мы видели в пункте а): $3-2\sqrt{2} = (\sqrt{2}-1)^2$.
Подставим это в нашу дробь: $\frac{3(\sqrt{2}-1)}{(\sqrt{2}-1)^2} = \frac{3}{\sqrt{2}-1}$.
Чтобы избавиться от иррациональности в знаменателе, домножим числитель и знаменатель на сопряженное выражение $(\sqrt{2}+1)$:
$\frac{3}{\sqrt{2}-1} \cdot \frac{\sqrt{2}+1}{\sqrt{2}+1} = \frac{3(\sqrt{2}+1)}{(\sqrt{2})^2-1^2} = \frac{3(\sqrt{2}+1)}{2-1} = \frac{3(\sqrt{2}+1)}{1} = 3\sqrt{2}+3$.

Ответ: $3\sqrt{2}+3$.

Помогло решение? Оставьте отзыв в комментариях ниже.

Присоединяйтесь к Телеграм-группе @gdz_by_belarus

Присоединиться

Мы подготовили для вас ответ c подробным объяснением домашего задания по алгебре за 7-9 класс, для упражнения номер 23.51 расположенного на странице 112 к сборнику задач 2020 года издания для учащихся школ и гимназий.

Теперь на нашем сайте ГДЗ.ТОП вы всегда легко и бесплатно найдёте условие с правильным ответом на вопрос «Как решить ДЗ» и «Как сделать» задание по алгебре к упражнению №23.51 (с. 112), авторов: Арефьева (Ирина Глебовна), Пирютко (Ольга Николаевна), учебного пособия издательства Народная асвета.