Номер 23.48, страница 111 - гдз по алгебре 7-9 класс сборник задач Арефьева, Пирютко

Алгебра, 7-9 класс Сборник задач, авторы: Арефьева Ирина Глебовна, Пирютко Ольга Николаевна, издательство Народная асвета, Минск, 2020

Авторы: Арефьева И. Г., Пирютко О. Н.

Тип: Сборник задач

Издательство: Народная асвета

Год издания: 2020 - 2025

Цвет обложки: синий с графиками

Допущено Министерством образования Республики Беларусь

Популярные ГДЗ в 7 классе

8 класс. Параграф 23. Применение свойств квадратных корней - номер 23.48, страница 111.

№23.48 (с. 111)
Условие. №23.48 (с. 111)
скриншот условия
Алгебра, 7-9 класс Сборник задач, авторы: Арефьева Ирина Глебовна, Пирютко Ольга Николаевна, издательство Народная асвета, Минск, 2020, страница 111, номер 23.48, Условие

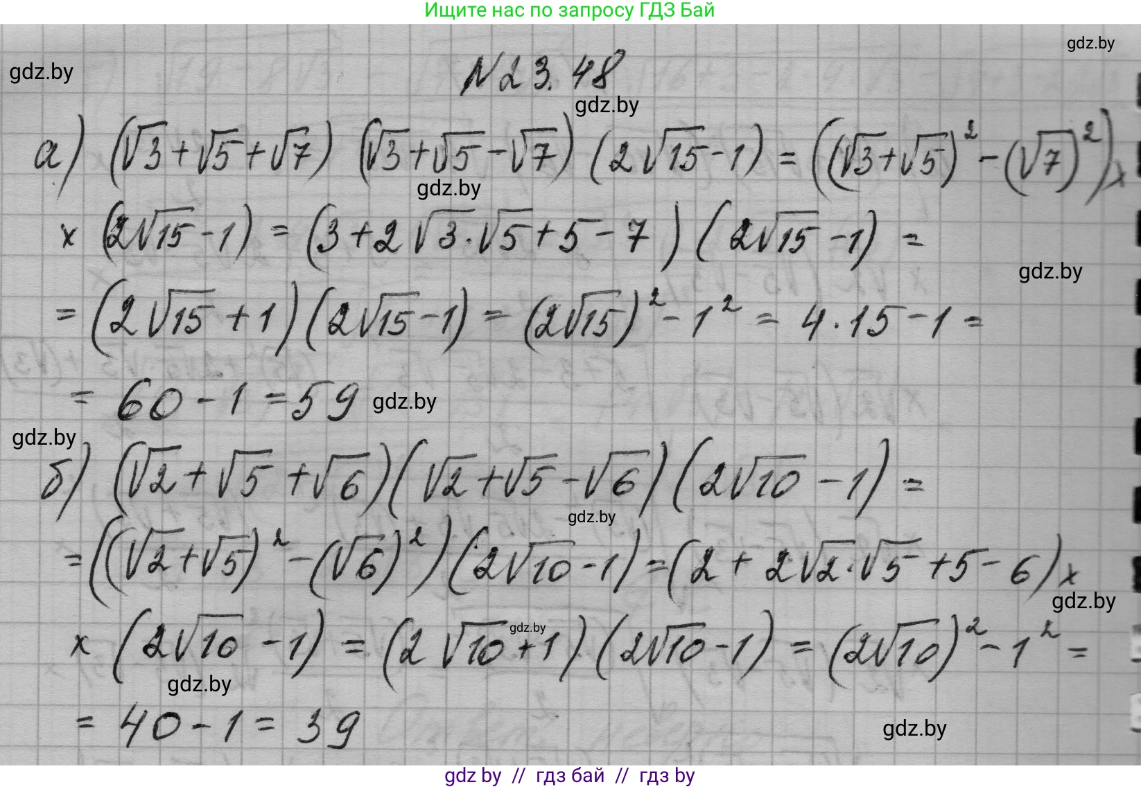
23.48*. Найдите значение выражения:

а) $(\sqrt{3} + \sqrt{5} + \sqrt{7})( \sqrt{3} + \sqrt{5} - \sqrt{7})(2\sqrt{15} - 1)$;

б) $(\sqrt{2} + \sqrt{5} + \sqrt{6})(\sqrt{2} + \sqrt{5} - \sqrt{6})(2\sqrt{10} - 1)$.

Решение. №23.48 (с. 111)
Алгебра, 7-9 класс Сборник задач, авторы: Арефьева Ирина Глебовна, Пирютко Ольга Николаевна, издательство Народная асвета, Минск, 2020, страница 111, номер 23.48, Решение
Решение 2. №23.48 (с. 111)

а) $(\sqrt{3} + \sqrt{5} + \sqrt{7})(\sqrt{3} + \sqrt{5} - \sqrt{7})(2\sqrt{15} - 1)$

Для упрощения выражения воспользуемся формулой разности квадратов $(a+b)(a-b)=a^2-b^2$.

Сначала рассмотрим произведение первых двух скобок: $(\sqrt{3} + \sqrt{5} + \sqrt{7})(\sqrt{3} + \sqrt{5} - \sqrt{7})$.

Сгруппируем слагаемые: $((\sqrt{3} + \sqrt{5}) + \sqrt{7})((\sqrt{3} + \sqrt{5}) - \sqrt{7})$.

Здесь $a = \sqrt{3} + \sqrt{5}$ и $b = \sqrt{7}$. Применим формулу разности квадратов:

$((\sqrt{3} + \sqrt{5}) + \sqrt{7})((\sqrt{3} + \sqrt{5}) - \sqrt{7}) = (\sqrt{3} + \sqrt{5})^2 - (\sqrt{7})^2$

Раскроем квадрат суммы $(\sqrt{3} + \sqrt{5})^2$ по формуле $(a+b)^2=a^2+2ab+b^2$:

$(\sqrt{3})^2 + 2 \cdot \sqrt{3} \cdot \sqrt{5} + (\sqrt{5})^2 = 3 + 2\sqrt{15} + 5 = 8 + 2\sqrt{15}$

Теперь подставим это обратно в выражение:

$(8 + 2\sqrt{15}) - (\sqrt{7})^2 = 8 + 2\sqrt{15} - 7 = 1 + 2\sqrt{15}$

Теперь исходное выражение можно переписать как:

$(1 + 2\sqrt{15})(2\sqrt{15} - 1)$

Переставим слагаемые в первой скобке для наглядности: $(2\sqrt{15} + 1)(2\sqrt{15} - 1)$.

Снова применим формулу разности квадратов, где $a = 2\sqrt{15}$ и $b = 1$:

$(2\sqrt{15})^2 - 1^2 = 2^2 \cdot (\sqrt{15})^2 - 1 = 4 \cdot 15 - 1 = 60 - 1 = 59$

Ответ: 59

б) $(\sqrt{2} + \sqrt{5} + \sqrt{6})(\sqrt{2} + \sqrt{5} - \sqrt{6})(2\sqrt{10} - 1)$

Решим это выражение аналогично предыдущему, используя формулу разности квадратов.

Рассмотрим произведение первых двух множителей: $(\sqrt{2} + \sqrt{5} + \sqrt{6})(\sqrt{2} + \sqrt{5} - \sqrt{6})$.

Сгруппируем слагаемые: $((\sqrt{2} + \sqrt{5}) + \sqrt{6})((\sqrt{2} + \sqrt{5}) - \sqrt{6})$.

Применим формулу $(a+b)(a-b)=a^2-b^2$, где $a = \sqrt{2} + \sqrt{5}$ и $b = \sqrt{6}$:

$((\sqrt{2} + \sqrt{5}) + \sqrt{6})((\sqrt{2} + \sqrt{5}) - \sqrt{6}) = (\sqrt{2} + \sqrt{5})^2 - (\sqrt{6})^2$

Раскроем квадрат суммы $(\sqrt{2} + \sqrt{5})^2$:

$(\sqrt{2})^2 + 2 \cdot \sqrt{2} \cdot \sqrt{5} + (\sqrt{5})^2 = 2 + 2\sqrt{10} + 5 = 7 + 2\sqrt{10}$

Подставим результат в наше выражение:

$(7 + 2\sqrt{10}) - (\sqrt{6})^2 = 7 + 2\sqrt{10} - 6 = 1 + 2\sqrt{10}$

Теперь исходное выражение выглядит так:

$(1 + 2\sqrt{10})(2\sqrt{10} - 1)$

Это снова формула разности квадратов $(a+b)(a-b)=a^2-b^2$, где $a = 2\sqrt{10}$ и $b = 1$:

$(2\sqrt{10})^2 - 1^2 = 2^2 \cdot (\sqrt{10})^2 - 1 = 4 \cdot 10 - 1 = 40 - 1 = 39$

Ответ: 39

Помогло решение? Оставьте отзыв в комментариях ниже.

Присоединяйтесь к Телеграм-группе @gdz_by_belarus

Присоединиться

Мы подготовили для вас ответ c подробным объяснением домашего задания по алгебре за 7-9 класс, для упражнения номер 23.48 расположенного на странице 111 к сборнику задач 2020 года издания для учащихся школ и гимназий.

Теперь на нашем сайте ГДЗ.ТОП вы всегда легко и бесплатно найдёте условие с правильным ответом на вопрос «Как решить ДЗ» и «Как сделать» задание по алгебре к упражнению №23.48 (с. 111), авторов: Арефьева (Ирина Глебовна), Пирютко (Ольга Николаевна), учебного пособия издательства Народная асвета.