Номер 25.31, страница 123 - гдз по алгебре 7-9 класс сборник задач Арефьева, Пирютко

Алгебра, 7-9 класс Сборник задач, авторы: Арефьева Ирина Глебовна, Пирютко Ольга Николаевна, издательство Народная асвета, Минск, 2020

Авторы: Арефьева И. Г., Пирютко О. Н.

Тип: Сборник задач

Издательство: Народная асвета

Год издания: 2020 - 2025

Цвет обложки: синий с графиками

Допущено Министерством образования Республики Беларусь

Популярные ГДЗ в 7 классе

8 класс. Параграф 25. Квадратные уравнения. Решение неполных квадратных уравнений. Формулы корней квадратного уравнения. Решение текстовых задач с помощью квадратных уравнений - номер 25.31, страница 123.

№25.31 (с. 123)
Условие. №25.31 (с. 123)
скриншот условия
Алгебра, 7-9 класс Сборник задач, авторы: Арефьева Ирина Глебовна, Пирютко Ольга Николаевна, издательство Народная асвета, Минск, 2020, страница 123, номер 25.31, Условие

25.31*. Решите уравнение:

a) $x^2 - \sqrt{6}x - 1 = 0$;

б) $\sqrt{5}x^2 - 6x + \sqrt{5} = 0$;

в) $x^2 - (\sqrt{7} + 1)x + \sqrt{7} = 0$;

г) $x^2 + (\sqrt{3} - \sqrt{10})x - \sqrt{30} = 0$.

Решение. №25.31 (с. 123)
Алгебра, 7-9 класс Сборник задач, авторы: Арефьева Ирина Глебовна, Пирютко Ольга Николаевна, издательство Народная асвета, Минск, 2020, страница 123, номер 25.31, Решение Алгебра, 7-9 класс Сборник задач, авторы: Арефьева Ирина Глебовна, Пирютко Ольга Николаевна, издательство Народная асвета, Минск, 2020, страница 123, номер 25.31, Решение (продолжение 2)
Решение 2. №25.31 (с. 123)

а) $x^2 - \sqrt{6}x - 1 = 0$

Это квадратное уравнение вида $ax^2+bx+c=0$, где коэффициенты $a=1$, $b=-\sqrt{6}$, $c=-1$. Для нахождения корней воспользуемся формулой через дискриминант. Сначала вычислим дискриминант $D = b^2 - 4ac$:

$D = (-\sqrt{6})^2 - 4 \cdot 1 \cdot (-1) = 6 + 4 = 10$.

Так как $D > 0$, уравнение имеет два действительных корня, которые мы найдем по формуле $x_{1,2} = \frac{-b \pm \sqrt{D}}{2a}$:

$x_{1,2} = \frac{-(-\sqrt{6}) \pm \sqrt{10}}{2 \cdot 1} = \frac{\sqrt{6} \pm \sqrt{10}}{2}$.

Ответ: $x_1 = \frac{\sqrt{6} + \sqrt{10}}{2}, x_2 = \frac{\sqrt{6} - \sqrt{10}}{2}$.

б) $\sqrt{5}x^2 - 6x + \sqrt{5} = 0$

Это квадратное уравнение с коэффициентами $a=\sqrt{5}$, $b=-6$, $c=\sqrt{5}$. Вычислим дискриминант $D = b^2 - 4ac$:

$D = (-6)^2 - 4 \cdot \sqrt{5} \cdot \sqrt{5} = 36 - 4 \cdot 5 = 36 - 20 = 16$.

Дискриминант $D=16 > 0$, следовательно, уравнение имеет два действительных корня. Найдем их по формуле $x_{1,2} = \frac{-b \pm \sqrt{D}}{2a}$:

$x_{1,2} = \frac{-(-6) \pm \sqrt{16}}{2\sqrt{5}} = \frac{6 \pm 4}{2\sqrt{5}}$.

Вычислим каждый корень отдельно:
$x_1 = \frac{6 + 4}{2\sqrt{5}} = \frac{10}{2\sqrt{5}} = \frac{5}{\sqrt{5}} = \frac{5\sqrt{5}}{5} = \sqrt{5}$.
$x_2 = \frac{6 - 4}{2\sqrt{5}} = \frac{2}{2\sqrt{5}} = \frac{1}{\sqrt{5}} = \frac{\sqrt{5}}{5}$.

Ответ: $x_1 = \sqrt{5}, x_2 = \frac{\sqrt{5}}{5}$.

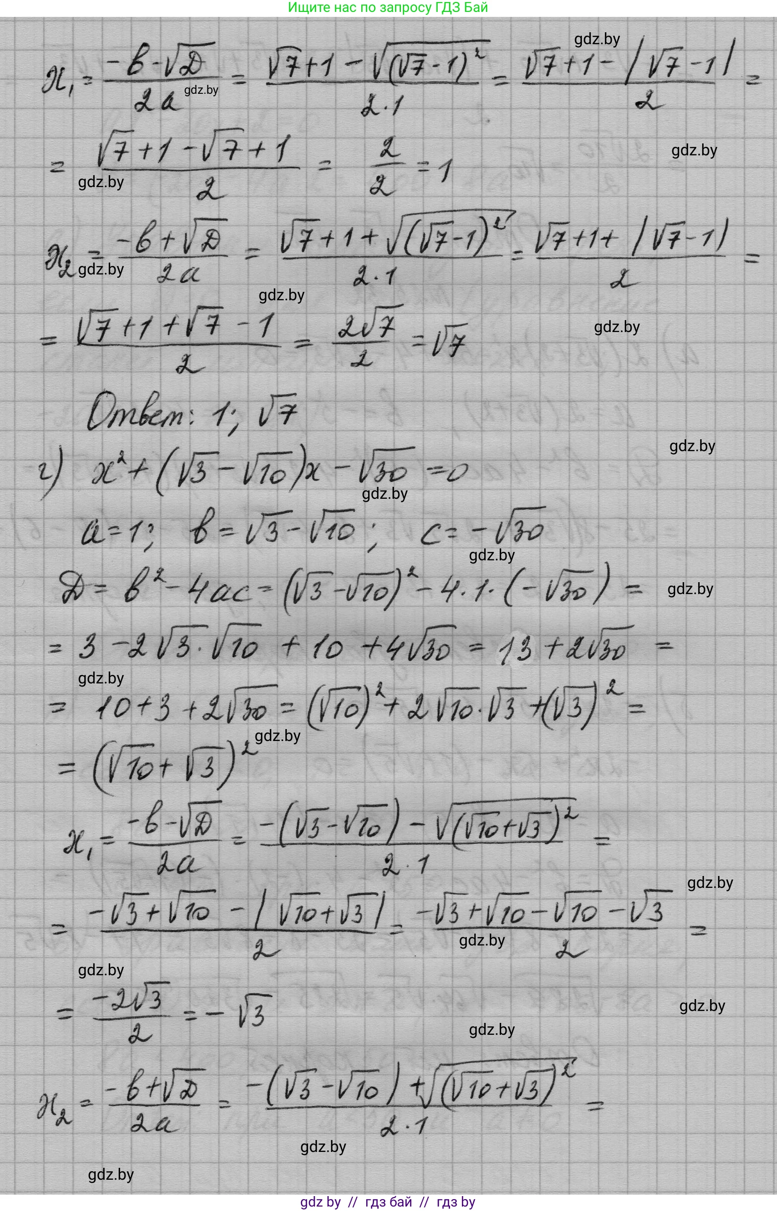
в) $x^2 - (\sqrt{7} + 1)x + \sqrt{7} = 0$

Это приведенное квадратное уравнение вида $x^2+px+q=0$. Для таких уравнений удобно использовать теорему Виета. Согласно ей, для корней $x_1$ и $x_2$ выполняются соотношения:
$x_1 + x_2 = -p = \sqrt{7} + 1$
$x_1 x_2 = q = \sqrt{7}$

Из этих соотношений путем подбора легко определить, что корнями являются числа $\sqrt{7}$ и $1$. Выполним проверку:
Сумма: $\sqrt{7} + 1 = \sqrt{7} + 1$.
Произведение: $\sqrt{7} \cdot 1 = \sqrt{7}$.
Оба равенства верны, значит, корни найдены правильно.

Ответ: $x_1 = \sqrt{7}, x_2 = 1$.

г) $x^2 + (\sqrt{3} - \sqrt{10})x - \sqrt{30} = 0$

Это приведенное квадратное уравнение. Применим теорему Виета. Для корней $x_1$ и $x_2$ должны выполняться равенства:
$x_1 + x_2 = -(\sqrt{3} - \sqrt{10}) = \sqrt{10} - \sqrt{3}$
$x_1 x_2 = -\sqrt{30}$

Заметим, что $-\sqrt{30} = \sqrt{10} \cdot (-\sqrt{3})$. Проверим, являются ли числа $\sqrt{10}$ и $-\sqrt{3}$ корнями. Для этого подставим их в первое равенство (для суммы корней):
$\sqrt{10} + (-\sqrt{3}) = \sqrt{10} - \sqrt{3}$.
Равенство выполняется, значит, мы нашли корни.

Ответ: $x_1 = \sqrt{10}, x_2 = -\sqrt{3}$.

Помогло решение? Оставьте отзыв в комментариях ниже.

Присоединяйтесь к Телеграм-группе @gdz_by_belarus

Присоединиться

Мы подготовили для вас ответ c подробным объяснением домашего задания по алгебре за 7-9 класс, для упражнения номер 25.31 расположенного на странице 123 к сборнику задач 2020 года издания для учащихся школ и гимназий.

Теперь на нашем сайте ГДЗ.ТОП вы всегда легко и бесплатно найдёте условие с правильным ответом на вопрос «Как решить ДЗ» и «Как сделать» задание по алгебре к упражнению №25.31 (с. 123), авторов: Арефьева (Ирина Глебовна), Пирютко (Ольга Николаевна), учебного пособия издательства Народная асвета.