Номер 25.35, страница 124 - гдз по алгебре 7-9 класс сборник задач Арефьева, Пирютко

Алгебра, 7-9 класс Сборник задач, авторы: Арефьева Ирина Глебовна, Пирютко Ольга Николаевна, издательство Народная асвета, Минск, 2020

Авторы: Арефьева И. Г., Пирютко О. Н.

Тип: Сборник задач

Издательство: Народная асвета

Год издания: 2020 - 2025

Цвет обложки: синий с графиками

Допущено Министерством образования Республики Беларусь

Популярные ГДЗ в 7 классе

8 класс. Параграф 25. Квадратные уравнения. Решение неполных квадратных уравнений. Формулы корней квадратного уравнения. Решение текстовых задач с помощью квадратных уравнений - номер 25.35, страница 124.

№25.35 (с. 124)
Условие. №25.35 (с. 124)
скриншот условия
Алгебра, 7-9 класс Сборник задач, авторы: Арефьева Ирина Глебовна, Пирютко Ольга Николаевна, издательство Народная асвета, Минск, 2020, страница 124, номер 25.35, Условие

25.35*. Решите уравнение относительно переменной $x$:

а) $x^2 - 7ax + 6a^2 = 0;$

б) $5x^2 - 6ax + a^2 = 0;$

В) $x^2 + (5a - 2)x - 10a = 0;$

Г) $ax^2 - (a + 3)x + 3 = 0.$

Решение. №25.35 (с. 124)
Алгебра, 7-9 класс Сборник задач, авторы: Арефьева Ирина Глебовна, Пирютко Ольга Николаевна, издательство Народная асвета, Минск, 2020, страница 124, номер 25.35, Решение Алгебра, 7-9 класс Сборник задач, авторы: Арефьева Ирина Глебовна, Пирютко Ольга Николаевна, издательство Народная асвета, Минск, 2020, страница 124, номер 25.35, Решение (продолжение 2)
Решение 2. №25.35 (с. 124)

а) Данное уравнение $x^2 - 7ax + 6a^2 = 0$ является квадратным относительно переменной $x$.
Для его решения найдем дискриминант $D$. Коэффициенты уравнения: $A=1$, $B=-7a$, $C=6a^2$.
$D = B^2 - 4AC = (-7a)^2 - 4 \cdot 1 \cdot (6a^2) = 49a^2 - 24a^2 = 25a^2 = (5a)^2$.
Поскольку $D \ge 0$ при любом значении параметра $a$, уравнение всегда имеет действительные корни.
Найдем корни по формуле корней квадратного уравнения:
$x = \frac{-B \pm \sqrt{D}}{2A} = \frac{-(-7a) \pm \sqrt{(5a)^2}}{2 \cdot 1} = \frac{7a \pm 5a}{2}$.
Вычисляем два корня:
$x_1 = \frac{7a + 5a}{2} = \frac{12a}{2} = 6a$.
$x_2 = \frac{7a - 5a}{2} = \frac{2a}{2} = a$.

Ответ: $a, 6a$.

б) Уравнение $5x^2 - 6ax + a^2 = 0$ является квадратным относительно переменной $x$.
Коэффициенты: $A=5$, $B=-6a$, $C=a^2$.
Найдем дискриминант $D$:
$D = B^2 - 4AC = (-6a)^2 - 4 \cdot 5 \cdot a^2 = 36a^2 - 20a^2 = 16a^2 = (4a)^2$.
Поскольку $D \ge 0$ при любом $a$, уравнение всегда имеет действительные корни.
Найдем корни по формуле:
$x = \frac{-B \pm \sqrt{D}}{2A} = \frac{-(-6a) \pm \sqrt{(4a)^2}}{2 \cdot 5} = \frac{6a \pm 4a}{10}$.
Вычисляем два корня:
$x_1 = \frac{6a + 4a}{10} = \frac{10a}{10} = a$.
$x_2 = \frac{6a - 4a}{10} = \frac{2a}{10} = \frac{a}{5}$.

Ответ: $a, \frac{a}{5}$.

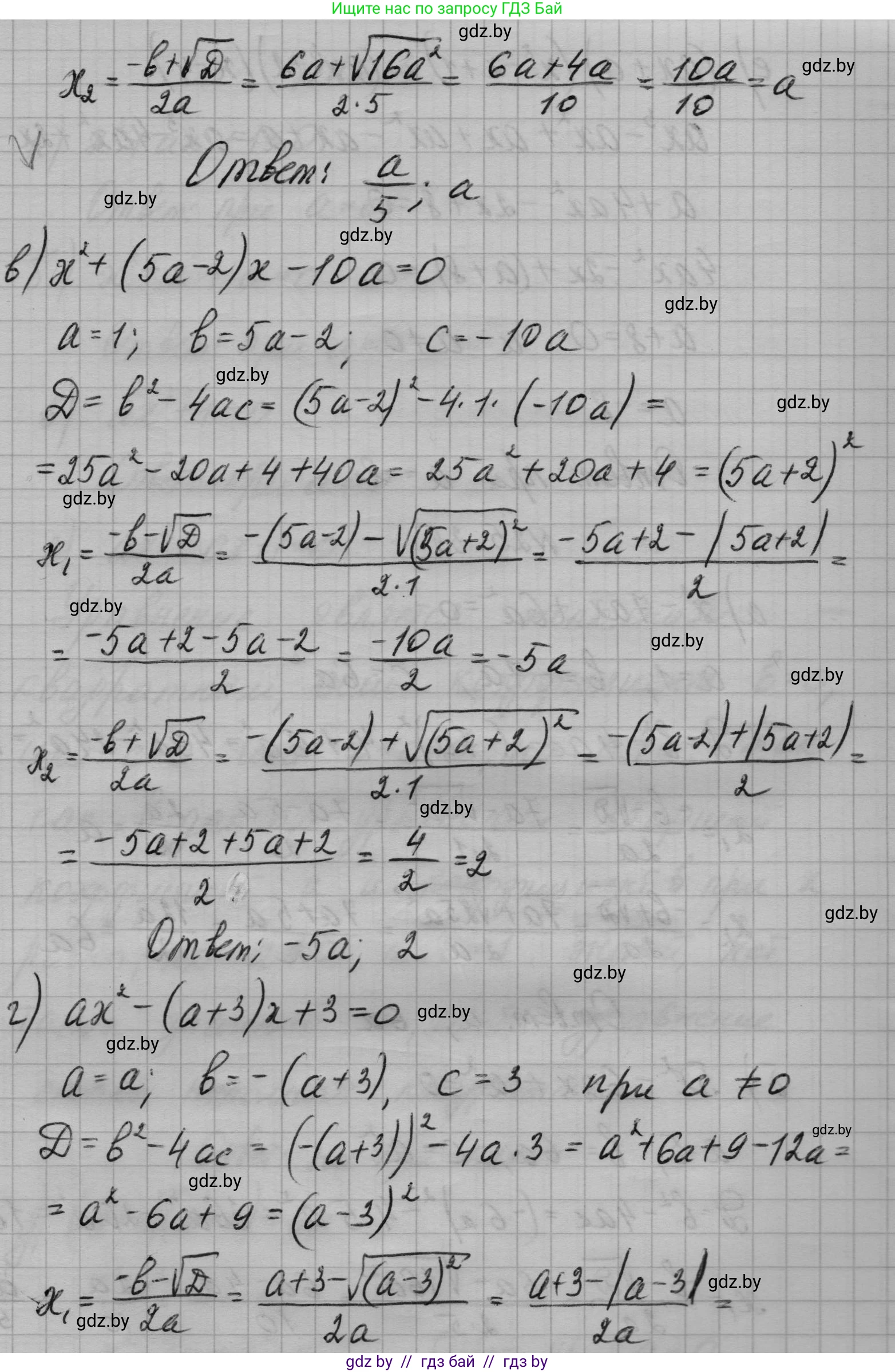
в) Уравнение $x^2 + (5a - 2)x - 10a = 0$ является квадратным относительно переменной $x$.
Коэффициенты: $A=1$, $B=5a-2$, $C=-10a$.
Найдем дискриминант $D$:
$D = B^2 - 4AC = (5a - 2)^2 - 4 \cdot 1 \cdot (-10a) = (25a^2 - 20a + 4) + 40a = 25a^2 + 20a + 4$.
Заметим, что выражение для дискриминанта является полным квадратом: $D = (5a+2)^2$.
Поскольку $D \ge 0$ при любом $a$, уравнение всегда имеет действительные корни.
Найдем корни по формуле:
$x = \frac{-B \pm \sqrt{D}}{2A} = \frac{-(5a-2) \pm \sqrt{(5a+2)^2}}{2 \cdot 1} = \frac{2 - 5a \pm (5a+2)}{2}$.
Вычисляем два корня:
$x_1 = \frac{2 - 5a + (5a+2)}{2} = \frac{4}{2} = 2$.
$x_2 = \frac{2 - 5a - (5a+2)}{2} = \frac{2 - 5a - 5a - 2}{2} = \frac{-10a}{2} = -5a$.

Ответ: $2, -5a$.

г) Уравнение $ax^2 - (a + 3)x + 3 = 0$ содержит параметр $a$ в старшем коэффициенте, поэтому необходимо рассмотреть два случая.

Случай 1: $a=0$
Если $a = 0$, уравнение перестает быть квадратным и становится линейным:
$0 \cdot x^2 - (0+3)x + 3 = 0$
$-3x + 3 = 0$
$3x = 3$
$x = 1$.

Случай 2: $a \neq 0$
В этом случае уравнение является квадратным. Вычислим дискриминант $D$:
$D = (-(a+3))^2 - 4 \cdot a \cdot 3 = (a^2 + 6a + 9) - 12a = a^2 - 6a + 9 = (a-3)^2$.
Поскольку $D=(a-3)^2 \geq 0$ для любого $a$, уравнение всегда имеет действительные корни.
Найдем корни по формуле:
$x = \frac{-(-(a+3)) \pm \sqrt{(a-3)^2}}{2a} = \frac{a+3 \pm (a-3)}{2a}$.
Вычисляем два корня:
$x_1 = \frac{a+3 + (a-3)}{2a} = \frac{2a}{2a} = 1$.
$x_2 = \frac{a+3 - (a-3)}{2a} = \frac{a+3-a+3}{2a} = \frac{6}{2a} = \frac{3}{a}$.

Если $a=3$, то $D=0$, и корни совпадают: $x_1=x_2=1$. В этом случае уравнение имеет один корень.
Если $a \neq 0$ и $a \neq 3$, то уравнение имеет два различных корня: $x_1=1$ и $x_2=\frac{3}{a}$.

Ответ: если $a=0$ или $a=3$, то $x=1$; если $a \neq 0$ и $a \neq 3$, то $x_1=1, x_2=\frac{3}{a}$.

Помогло решение? Оставьте отзыв в комментариях ниже.

Присоединяйтесь к Телеграм-группе @gdz_by_belarus

Присоединиться

Мы подготовили для вас ответ c подробным объяснением домашего задания по алгебре за 7-9 класс, для упражнения номер 25.35 расположенного на странице 124 к сборнику задач 2020 года издания для учащихся школ и гимназий.

Теперь на нашем сайте ГДЗ.ТОП вы всегда легко и бесплатно найдёте условие с правильным ответом на вопрос «Как решить ДЗ» и «Как сделать» задание по алгебре к упражнению №25.35 (с. 124), авторов: Арефьева (Ирина Глебовна), Пирютко (Ольга Николаевна), учебного пособия издательства Народная асвета.