Номер 25.34, страница 124 - гдз по алгебре 7-9 класс сборник задач Арефьева, Пирютко

Алгебра, 7-9 класс Сборник задач, авторы: Арефьева Ирина Глебовна, Пирютко Ольга Николаевна, издательство Народная асвета, Минск, 2020

Авторы: Арефьева И. Г., Пирютко О. Н.

Тип: Сборник задач

Издательство: Народная асвета

Год издания: 2020 - 2025

Цвет обложки: синий с графиками

Допущено Министерством образования Республики Беларусь

Популярные ГДЗ в 7 классе

8 класс. Параграф 25. Квадратные уравнения. Решение неполных квадратных уравнений. Формулы корней квадратного уравнения. Решение текстовых задач с помощью квадратных уравнений - номер 25.34, страница 124.

№25.34 (с. 124)
Условие. №25.34 (с. 124)
скриншот условия
Алгебра, 7-9 класс Сборник задач, авторы: Арефьева Ирина Глебовна, Пирютко Ольга Николаевна, издательство Народная асвета, Минск, 2020, страница 124, номер 25.34, Условие

25.34*. При каком значении $a$ уравнение является неполным квадратным:

а) $x^2 + ax + 1 = 0;$

б) $x^2 + x + a = 0;$

в) $ax^2 + 1 = 0;$

г) $ax^2 + ax + 1 = 0;$

д) $(a + x)(a - x) = ax;$

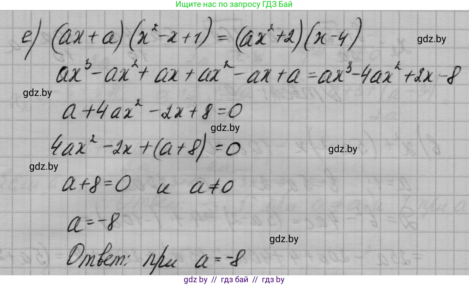
е) $(ax + a)(x^2 - x + 1) = (ax^2 + 2)(x - 4)?$

Решение. №25.34 (с. 124)
Алгебра, 7-9 класс Сборник задач, авторы: Арефьева Ирина Глебовна, Пирютко Ольга Николаевна, издательство Народная асвета, Минск, 2020, страница 124, номер 25.34, Решение Алгебра, 7-9 класс Сборник задач, авторы: Арефьева Ирина Глебовна, Пирютко Ольга Николаевна, издательство Народная асвета, Минск, 2020, страница 124, номер 25.34, Решение (продолжение 2)
Решение 2. №25.34 (с. 124)

Квадратное уравнение общего вида $Ax^2 + Bx + C = 0$ является неполным, если оно является квадратным (то есть коэффициент $A \neq 0$) и при этом хотя бы один из коэффициентов B или C равен нулю.

а) В уравнении $x^2 + ax + 1 = 0$ коэффициенты равны $A=1$, $B=a$, $C=1$.

Так как коэффициент $A=1 \neq 0$, это уравнение всегда является квадратным.

Коэффициент $C=1 \neq 0$. Чтобы уравнение было неполным, необходимо, чтобы коэффициент $B$ был равен нулю.

$B=a=0$.

При $a=0$ уравнение принимает вид $x^2 + 1 = 0$, что является неполным квадратным уравнением.

Ответ: $a=0$.

б) В уравнении $x^2 + x + a = 0$ коэффициенты равны $A=1$, $B=1$, $C=a$.

Так как коэффициент $A=1 \neq 0$, это уравнение всегда является квадратным.

Коэффициент $B=1 \neq 0$. Чтобы уравнение было неполным, необходимо, чтобы свободный член C был равен нулю.

$C=a=0$.

При $a=0$ уравнение принимает вид $x^2 + x = 0$, что является неполным квадратным уравнением.

Ответ: $a=0$.

в) В уравнении $ax^2 + 1 = 0$ коэффициенты равны $A=a$, $B=0$, $C=1$.

Чтобы уравнение было квадратным, необходимо, чтобы старший коэффициент не был равен нулю, то есть $A=a \neq 0$.

Коэффициент $B$ при x уже равен нулю. Это означает, что при любом значении a, при котором уравнение является квадратным, оно также будет и неполным.

Следовательно, уравнение является неполным квадратным при любом $a \neq 0$.

Ответ: при любом $a \neq 0$.

г) В уравнении $ax^2 + ax + 1 = 0$ коэффициенты равны $A=a$, $B=a$, $C=1$.

Чтобы уравнение было квадратным, необходимо, чтобы $A=a \neq 0$.

Чтобы уравнение было неполным, необходимо, чтобы $B=0$ или $C=0$. Коэффициент $C=1 \neq 0$. Значит, требуется, чтобы $B=a=0$.

Получаем противоречие: для того чтобы уравнение было квадратным, нужно $a \neq 0$, а для того чтобы оно было неполным, нужно $a=0$. Эти условия несовместимы.

Таким образом, не существует такого значения a, при котором данное уравнение является неполным квадратным.

Ответ: таких значений a не существует.

д) Преобразуем уравнение $(a + x)(a - x) = ax$ к стандартному виду.

В левой части используем формулу разности квадратов: $a^2 - x^2 = ax$.

Переносим все члены в одну сторону: $-x^2 - ax + a^2 = 0$.

Домножим на -1: $x^2 + ax - a^2 = 0$.

Коэффициенты этого уравнения: $A=1$, $B=a$, $C=-a^2$.

Так как $A=1 \neq 0$, уравнение всегда является квадратным.

Оно будет неполным, если $B=0$ или $C=0$.

$B = a = 0$.

$C = -a^2 = 0$, что также дает $a=0$.

Следовательно, при $a=0$ уравнение становится неполным квадратным ($x^2=0$).

Ответ: $a=0$.

е) Преобразуем уравнение $(ax + a)(x^2 - x + 1) = (ax^2 + 2)(x - 4)$ к стандартному виду.

Раскроем скобки в левой части, вынеся a: $a(x + 1)(x^2 - x + 1) = a(x^3 + 1) = ax^3 + a$.

Раскроем скобки в правой части: $ax^3 - 4ax^2 + 2x - 8$.

Приравняем части: $ax^3 + a = ax^3 - 4ax^2 + 2x - 8$.

После уничтожения подобных членов ($ax^3$) и переноса всех слагаемых в левую часть получим:

$4ax^2 - 2x + (a + 8) = 0$.

Коэффициенты уравнения: $A=4a$, $B=-2$, $C=a+8$.

Уравнение является квадратным при $A \neq 0$, то есть $4a \neq 0$, откуда $a \neq 0$.

Уравнение будет неполным, если $B=0$ или $C=0$.

Коэффициент $B=-2 \neq 0$. Значит, для неполного уравнения необходимо, чтобы $C=0$.

$C = a + 8 = 0$, откуда $a = -8$.

Это значение удовлетворяет условию $a \neq 0$.

Ответ: $a=-8$.

Помогло решение? Оставьте отзыв в комментариях ниже.

Присоединяйтесь к Телеграм-группе @gdz_by_belarus

Присоединиться

Мы подготовили для вас ответ c подробным объяснением домашего задания по алгебре за 7-9 класс, для упражнения номер 25.34 расположенного на странице 124 к сборнику задач 2020 года издания для учащихся школ и гимназий.

Теперь на нашем сайте ГДЗ.ТОП вы всегда легко и бесплатно найдёте условие с правильным ответом на вопрос «Как решить ДЗ» и «Как сделать» задание по алгебре к упражнению №25.34 (с. 124), авторов: Арефьева (Ирина Глебовна), Пирютко (Ольга Николаевна), учебного пособия издательства Народная асвета.