Номер 4.155, страница 296 - гдз по алгебре 7 класс учебник Арефьева, Пирютко

Алгебра, 7 класс Учебник, авторы: Арефьева Ирина Глебовна, Пирютко Ольга Николаевна, издательство Народная асвета, Минск, 2022, зелёного цвета

Авторы: Арефьева И. Г., Пирютко О. Н.

Тип: Учебник

Издательство: Народная асвета

Год издания: 2022 - 2025

Цвет обложки: зелёный с графиком

ISBN: ISBN 978-985-03-3770-2

Допущено Министерством образования Республики Беларусь

Популярные ГДЗ в 7 классе

Глава 4. Системы двух линейных уравнений с двумя переменными. Параграф 25. Решение текстовых задач с помощью системы линейных уравнений - номер 4.155, страница 296.

№4.155 (с. 296)
Условие. №4.155 (с. 296)
скриншот условия
Алгебра, 7 класс Учебник, авторы: Арефьева Ирина Глебовна, Пирютко Ольга Николаевна, издательство Народная асвета, Минск, 2022, зелёного цвета, страница 296, номер 4.155, Условие

4.155. Студент получил стипендию 60 р. купюрами по 5 р. и монетами по 1 р., всего 24 денежных знака. Сколько всего было выдано студенту купюр и монет отдельно?

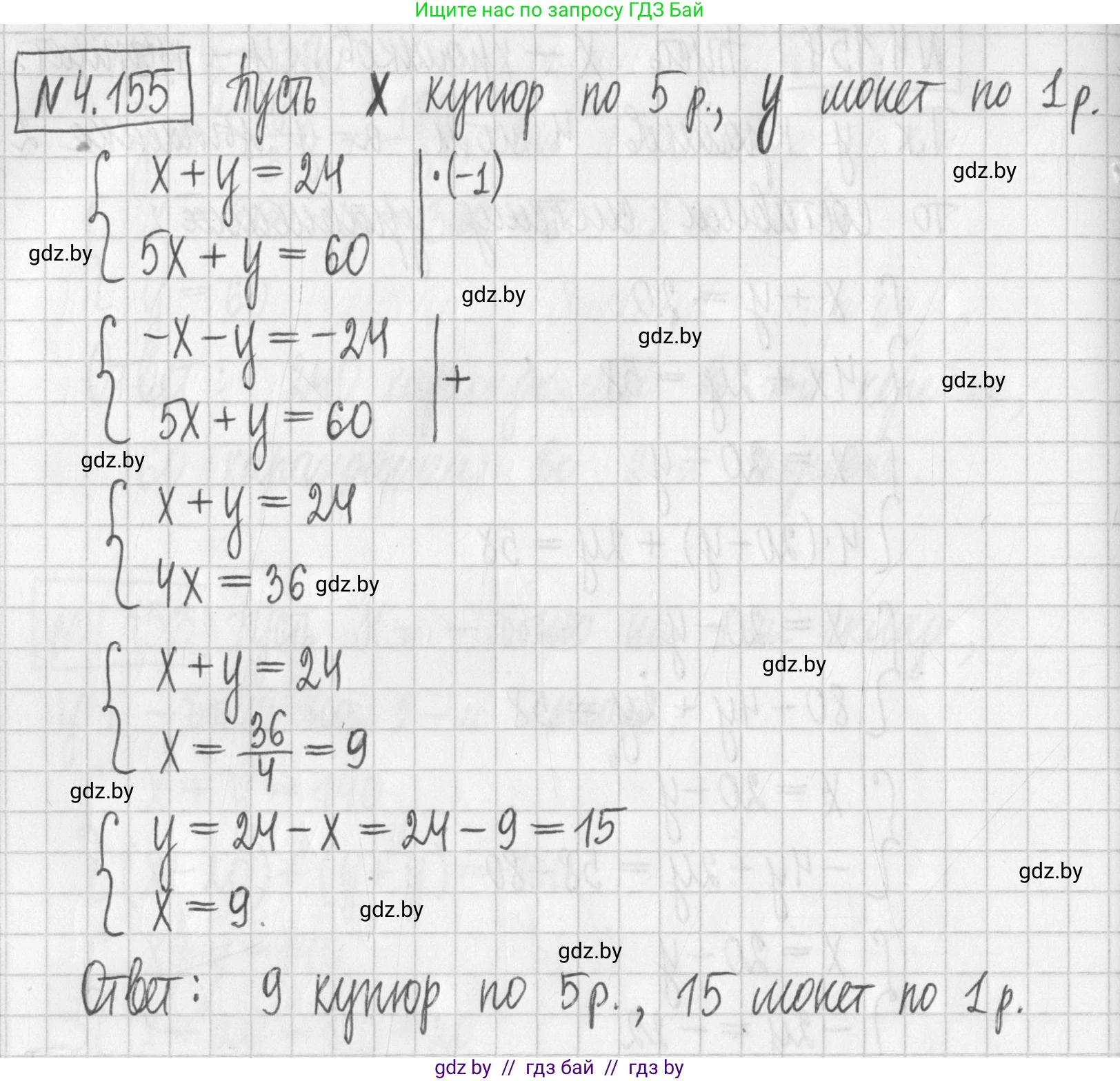
Решение. №4.155 (с. 296)
Алгебра, 7 класс Учебник, авторы: Арефьева Ирина Глебовна, Пирютко Ольга Николаевна, издательство Народная асвета, Минск, 2022, зелёного цвета, страница 296, номер 4.155, Решение
Решение 2. №4.155 (с. 296)

Для решения этой задачи необходимо составить и решить систему уравнений. Введем переменные:

  • Пусть $x$ — количество купюр по 5 рублей.
  • Пусть $y$ — количество монет по 1 рублю.

1. Составление уравнений

Из условия известно, что общее число денежных знаков (купюр и монет) равно 24. Это дает нам первое уравнение:

$x + y = 24$

Общая сумма стипендии составляет 60 рублей. Сумма денег в купюрах — $5x$, а в монетах — $y$. Это дает нам второе уравнение:

$5x + y = 60$

2. Решение системы уравнений

Мы получили систему двух линейных уравнений:

$\begin{cases} x + y = 24 \\ 5x + y = 60 \end{cases}$

Проще всего решить эту систему методом вычитания. Вычтем первое уравнение из второго:

$(5x + y) - (x + y) = 60 - 24$

Раскрываем скобки и упрощаем:

$5x - x + y - y = 36$

$4x = 36$

Находим $x$ (количество купюр):

$x = \frac{36}{4} = 9$

Теперь, зная $x$, найдем $y$ (количество монет) из первого уравнения ($x + y = 24$):

$9 + y = 24$

$y = 24 - 9 = 15$

3. Проверка

Проверим, соответствуют ли найденные значения условиям задачи:

  • Общее количество денежных знаков: $9$ (купюр) + $15$ (монет) = 24. Верно.
  • Общая сумма: $(9 \times 5 \text{ р.}) + (15 \times 1 \text{ р.}) = 45 + 15 = 60$ рублей. Верно.

Количество купюр: было выдано 9 купюр номиналом 5 рублей. Ответ: 9.

Количество монет: было выдано 15 монет номиналом 1 рубль. Ответ: 15.

Помогло решение? Оставьте отзыв в комментариях ниже.

Присоединяйтесь к Телеграм-группе @gdz_by_belarus

Присоединиться

Мы подготовили для вас ответ c подробным объяснением домашего задания по алгебре за 7 класс, для упражнения номер 4.155 расположенного на странице 296 к учебнику 2022 года издания для учащихся школ и гимназий.

Теперь на нашем сайте ГДЗ.ТОП вы всегда легко и бесплатно найдёте условие с правильным ответом на вопрос «Как решить ДЗ» и «Как сделать» задание по алгебре к упражнению №4.155 (с. 296), авторов: Арефьева (Ирина Глебовна), Пирютко (Ольга Николаевна), учебного пособия издательства Народная асвета.