Номер 4.156, страница 296 - гдз по алгебре 7 класс учебник Арефьева, Пирютко

Алгебра, 7 класс Учебник, авторы: Арефьева Ирина Глебовна, Пирютко Ольга Николаевна, издательство Народная асвета, Минск, 2022, зелёного цвета

Авторы: Арефьева И. Г., Пирютко О. Н.

Тип: Учебник

Издательство: Народная асвета

Год издания: 2022 - 2025

Цвет обложки: зелёный с графиком

ISBN: ISBN 978-985-03-3770-2

Допущено Министерством образования Республики Беларусь

Популярные ГДЗ в 7 классе

Глава 4. Системы двух линейных уравнений с двумя переменными. Параграф 25. Решение текстовых задач с помощью системы линейных уравнений - номер 4.156, страница 296.

№4.156 (с. 296)
Условие. №4.156 (с. 296)
скриншот условия
Алгебра, 7 класс Учебник, авторы: Арефьева Ирина Глебовна, Пирютко Ольга Николаевна, издательство Народная асвета, Минск, 2022, зелёного цвета, страница 296, номер 4.156, Условие

4.156. Продаются орехи двух сортов: по 90 к. и по 60 к. за 100 г. Сколько потребуется орехов каждого сорта для получения 10 кг смеси по 84 к. за 100 г?

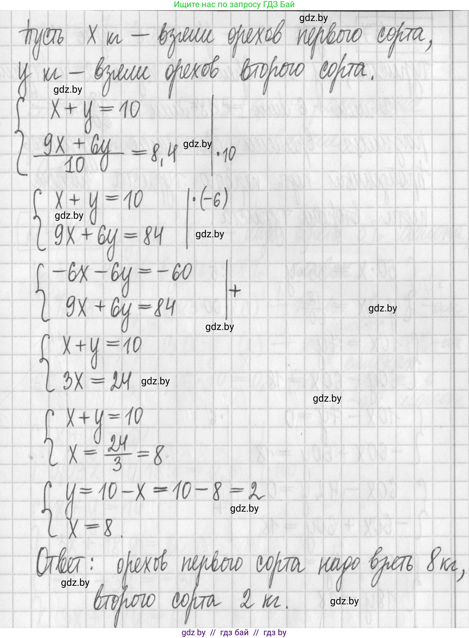
Решение. №4.156 (с. 296)
Алгебра, 7 класс Учебник, авторы: Арефьева Ирина Глебовна, Пирютко Ольга Николаевна, издательство Народная асвета, Минск, 2022, зелёного цвета, страница 296, номер 4.156, Решение Алгебра, 7 класс Учебник, авторы: Арефьева Ирина Глебовна, Пирютко Ольга Николаевна, издательство Народная асвета, Минск, 2022, зелёного цвета, страница 296, номер 4.156, Решение (продолжение 2)
Решение 2. №4.156 (с. 296)

Для решения этой задачи необходимо составить и решить систему уравнений. Пусть:

  • $x$ — масса орехов первого сорта (по 90 к. за 100 г) в килограммах.
  • $y$ — масса орехов второго сорта (по 60 к. за 100 г) в килограммах.

Шаг 1: Составление первого уравнения (по массе)

Общая масса смеси должна быть равна 10 кг. Это дает нам первое уравнение:

$x + y = 10$

Шаг 2: Составление второго уравнения (по стоимости)

Сначала переведем цены в единую единицу измерения — копейки за килограмм (к./кг), зная, что 1 кг = 1000 г.

  • Цена первого сорта: $90 \text{ к./100 г} = 90 \times 10 = 900 \text{ к./кг}$
  • Цена второго сорта: $60 \text{ к./100 г} = 60 \times 10 = 600 \text{ к./кг}$
  • Цена итоговой смеси: $84 \text{ к./100 г} = 84 \times 10 = 840 \text{ к./кг}$

Общая стоимость $x$ кг орехов первого сорта и $y$ кг орехов второго сорта должна быть равна стоимости 10 кг смеси.

Стоимость компонентов: $(900 \times x) + (600 \times y)$

Стоимость итоговой смеси: $840 \times 10 = 8400$ копеек.

Это дает нам второе уравнение:

$900x + 600y = 8400$

Шаг 3: Решение системы уравнений

Мы получили систему:

$ \begin{cases} x + y = 10 \\ 900x + 600y = 8400 \end{cases} $

Для удобства упростим второе уравнение, разделив его на 300:

$3x + 2y = 28$

Из первого уравнения выразим $y$ через $x$:

$y = 10 - x$

Подставим это выражение в упрощенное второе уравнение:

$3x + 2(10 - x) = 28$

Раскроем скобки и решим уравнение относительно $x$:

$3x + 20 - 2x = 28$

$x + 20 = 28$

$x = 28 - 20$

$x = 8$

Теперь найдем массу орехов второго сорта, подставив значение $x$ в первое уравнение:

$y = 10 - 8 = 2$


Таким образом, для получения 10 кг смеси необходимо взять:

Орехов первого сорта (по 90 к. за 100 г)
Ответ: 8 кг.

Орехов второго сорта (по 60 к. за 100 г)
Ответ: 2 кг.

Помогло решение? Оставьте отзыв в комментариях ниже.

Присоединяйтесь к Телеграм-группе @gdz_by_belarus

Присоединиться

Мы подготовили для вас ответ c подробным объяснением домашего задания по алгебре за 7 класс, для упражнения номер 4.156 расположенного на странице 296 к учебнику 2022 года издания для учащихся школ и гимназий.

Теперь на нашем сайте ГДЗ.ТОП вы всегда легко и бесплатно найдёте условие с правильным ответом на вопрос «Как решить ДЗ» и «Как сделать» задание по алгебре к упражнению №4.156 (с. 296), авторов: Арефьева (Ирина Глебовна), Пирютко (Ольга Николаевна), учебного пособия издательства Народная асвета.