Номер 4.149, страница 295 - гдз по алгебре 7 класс учебник Арефьева, Пирютко

Алгебра, 7 класс Учебник, авторы: Арефьева Ирина Глебовна, Пирютко Ольга Николаевна, издательство Народная асвета, Минск, 2022, зелёного цвета

Авторы: Арефьева И. Г., Пирютко О. Н.

Тип: Учебник

Издательство: Народная асвета

Год издания: 2022 - 2025

Цвет обложки: зелёный с графиком

ISBN: ISBN 978-985-03-3770-2

Допущено Министерством образования Республики Беларусь

Популярные ГДЗ в 7 классе

Глава 4. Системы двух линейных уравнений с двумя переменными. Параграф 25. Решение текстовых задач с помощью системы линейных уравнений - номер 4.149, страница 295.

№4.149 (с. 295)
Условие. №4.149 (с. 295)
скриншот условия
Алгебра, 7 класс Учебник, авторы: Арефьева Ирина Глебовна, Пирютко Ольга Николаевна, издательство Народная асвета, Минск, 2022, зелёного цвета, страница 295, номер 4.149, Условие

4.149. Услугами туристической фирмы зимой воспользовалось 1200 взрослых и детей. Летом число взрослых уменьшилось на $10 \\%$, а число детей увеличилось на $20 \\%$, общее число туристов увеличилось на 75 человек. Сколько взрослых и сколько детей отдыхало летом?

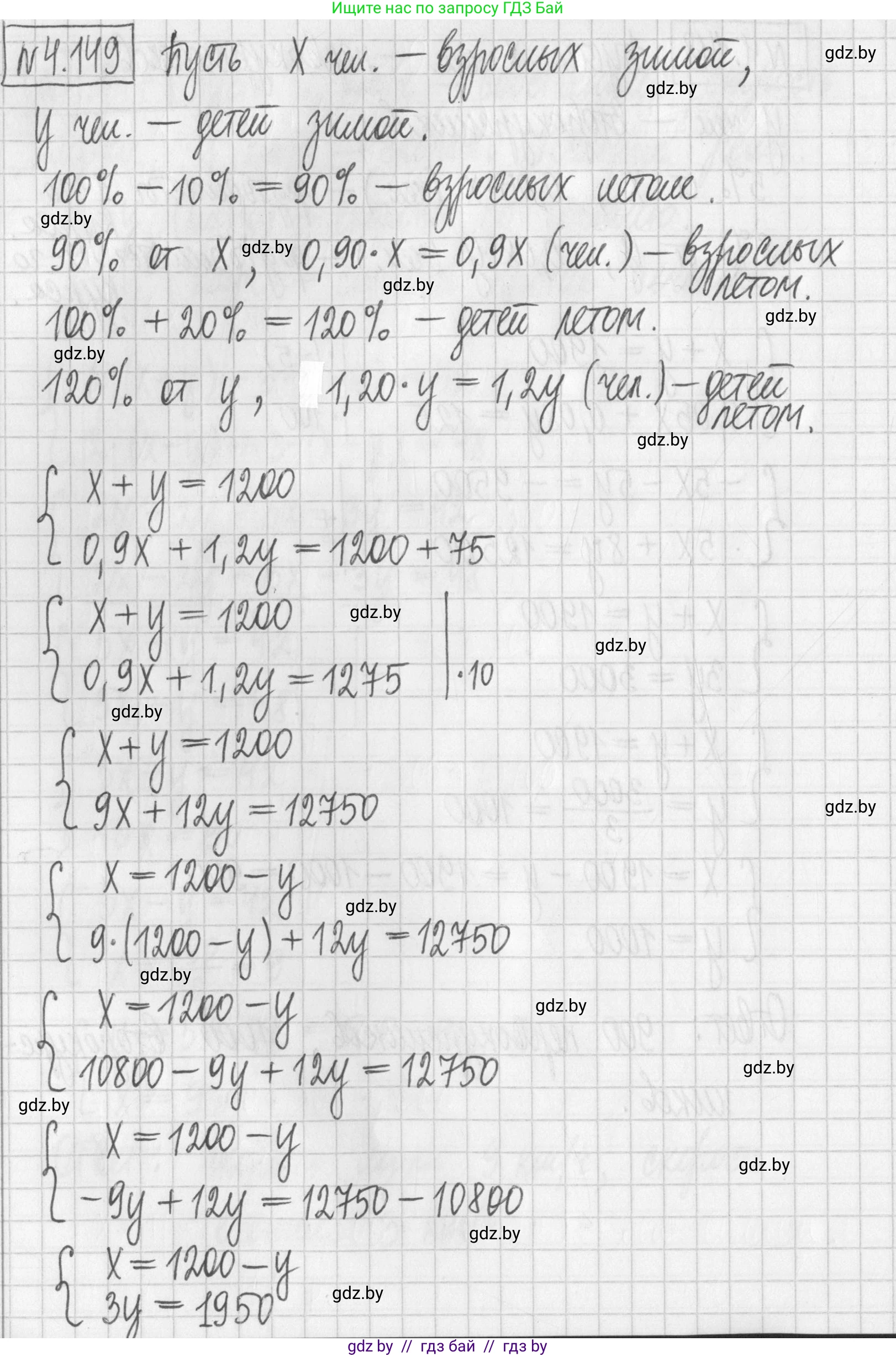
Решение. №4.149 (с. 295)
Алгебра, 7 класс Учебник, авторы: Арефьева Ирина Глебовна, Пирютко Ольга Николаевна, издательство Народная асвета, Минск, 2022, зелёного цвета, страница 295, номер 4.149, Решение Алгебра, 7 класс Учебник, авторы: Арефьева Ирина Глебовна, Пирютко Ольга Николаевна, издательство Народная асвета, Минск, 2022, зелёного цвета, страница 295, номер 4.149, Решение (продолжение 2)
Решение 2. №4.149 (с. 295)

Данная задача решается с помощью составления и решения системы уравнений. Разберем решение по шагам.

Шаг 1: Введение переменных и составление системы уравнений

Пусть $x$ — количество взрослых, которые воспользовались услугами фирмы зимой, а $y$ — количество детей.

Согласно условию, общее число туристов зимой составляло 1200 человек. Это дает нам первое уравнение:

$x + y = 1200$

Далее, известно, что летом число взрослых уменьшилось на 10%, а число детей увеличилось на 20%. Изменение числа взрослых можно выразить как $-0.1x$, а изменение числа детей — как $+0.2y$. Общее число туристов увеличилось на 75 человек, что является суммой этих изменений. Это дает нам второе уравнение:

$-0.1x + 0.2y = 75$

Таким образом, мы имеем систему из двух линейных уравнений:

$$ \begin{cases} x + y = 1200 \\ -0.1x + 0.2y = 75 \end{cases} $$

Шаг 2: Решение системы уравнений

Для упрощения решения умножим второе уравнение на 10, чтобы избавиться от десятичных дробей:

$10 \cdot (-0.1x + 0.2y) = 10 \cdot 75 \implies -x + 2y = 750$

Теперь наша система уравнений выглядит так:

$$ \begin{cases} x + y = 1200 \\ -x + 2y = 750 \end{cases} $$

Сложим левые и правые части обоих уравнений, чтобы найти $y$:

$(x + y) + (-x + 2y) = 1200 + 750$

$3y = 1950$

$y = \frac{1950}{3} = 650$

Итак, зимой было 650 детей.

Теперь найдем количество взрослых ($x$), подставив значение $y$ в первое уравнение:

$x + 650 = 1200$

$x = 1200 - 650 = 550$

Итак, зимой было 550 взрослых.

Шаг 3: Расчет числа туристов летом

Теперь, зная количество взрослых и детей зимой, мы можем ответить на главный вопрос задачи.

Сколько взрослых отдыхало летом?

Число взрослых уменьшилось на 10% по сравнению с зимой. Это значит, что их стало $100\% - 10\% = 90\%$ от первоначального числа.

Количество взрослых летом: $550 \times 0.9 = 495$.

Ответ: 495

Сколько детей отдыхало летом?

Число детей увеличилось на 20% по сравнению с зимой. Это значит, что их стало $100\% + 20\% = 120\%$ от первоначального числа.

Количество детей летом: $650 \times 1.2 = 780$.

Ответ: 780

Проверка

Общее количество туристов летом составило: $495 + 780 = 1275$ человек.

Общее количество туристов зимой было 1200 человек.

Разница составляет: $1275 - 1200 = 75$ человек, что совпадает с условием задачи.

Помогло решение? Оставьте отзыв в комментариях ниже.

Присоединяйтесь к Телеграм-группе @gdz_by_belarus

Присоединиться

Мы подготовили для вас ответ c подробным объяснением домашего задания по алгебре за 7 класс, для упражнения номер 4.149 расположенного на странице 295 к учебнику 2022 года издания для учащихся школ и гимназий.

Теперь на нашем сайте ГДЗ.ТОП вы всегда легко и бесплатно найдёте условие с правильным ответом на вопрос «Как решить ДЗ» и «Как сделать» задание по алгебре к упражнению №4.149 (с. 295), авторов: Арефьева (Ирина Глебовна), Пирютко (Ольга Николаевна), учебного пособия издательства Народная асвета.