Номер 4.93, страница 282 - гдз по алгебре 7 класс учебник Арефьева, Пирютко

Алгебра, 7 класс Учебник, авторы: Арефьева Ирина Глебовна, Пирютко Ольга Николаевна, издательство Народная асвета, Минск, 2022, зелёного цвета

Авторы: Арефьева И. Г., Пирютко О. Н.

Тип: Учебник

Издательство: Народная асвета

Год издания: 2022 - 2025

Цвет обложки: зелёный с графиком

ISBN: ISBN 978-985-03-3770-2

Допущено Министерством образования Республики Беларусь

Популярные ГДЗ в 7 классе

Глава 4. Системы двух линейных уравнений с двумя переменными. Параграф 24. Способы решения системы линейных уравнений с двумя переменными - номер 4.93, страница 282.

№4.93 (с. 282)
Условие. №4.93 (с. 282)
скриншот условия
Алгебра, 7 класс Учебник, авторы: Арефьева Ирина Глебовна, Пирютко Ольга Николаевна, издательство Народная асвета, Минск, 2022, зелёного цвета, страница 282, номер 4.93, Условие

4.93. Решите систему уравнений способом сложения, используя алгоритм:

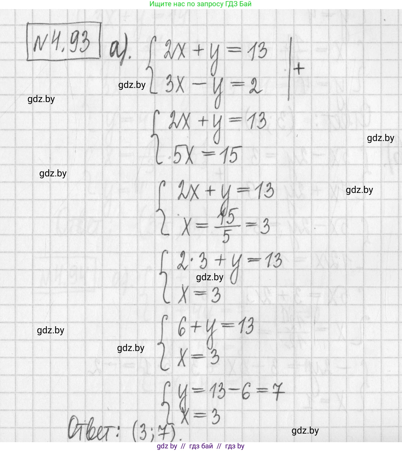
а) $ \begin{cases} 2x + y = 13, \\ 3x - y = 2 \end{cases} $;

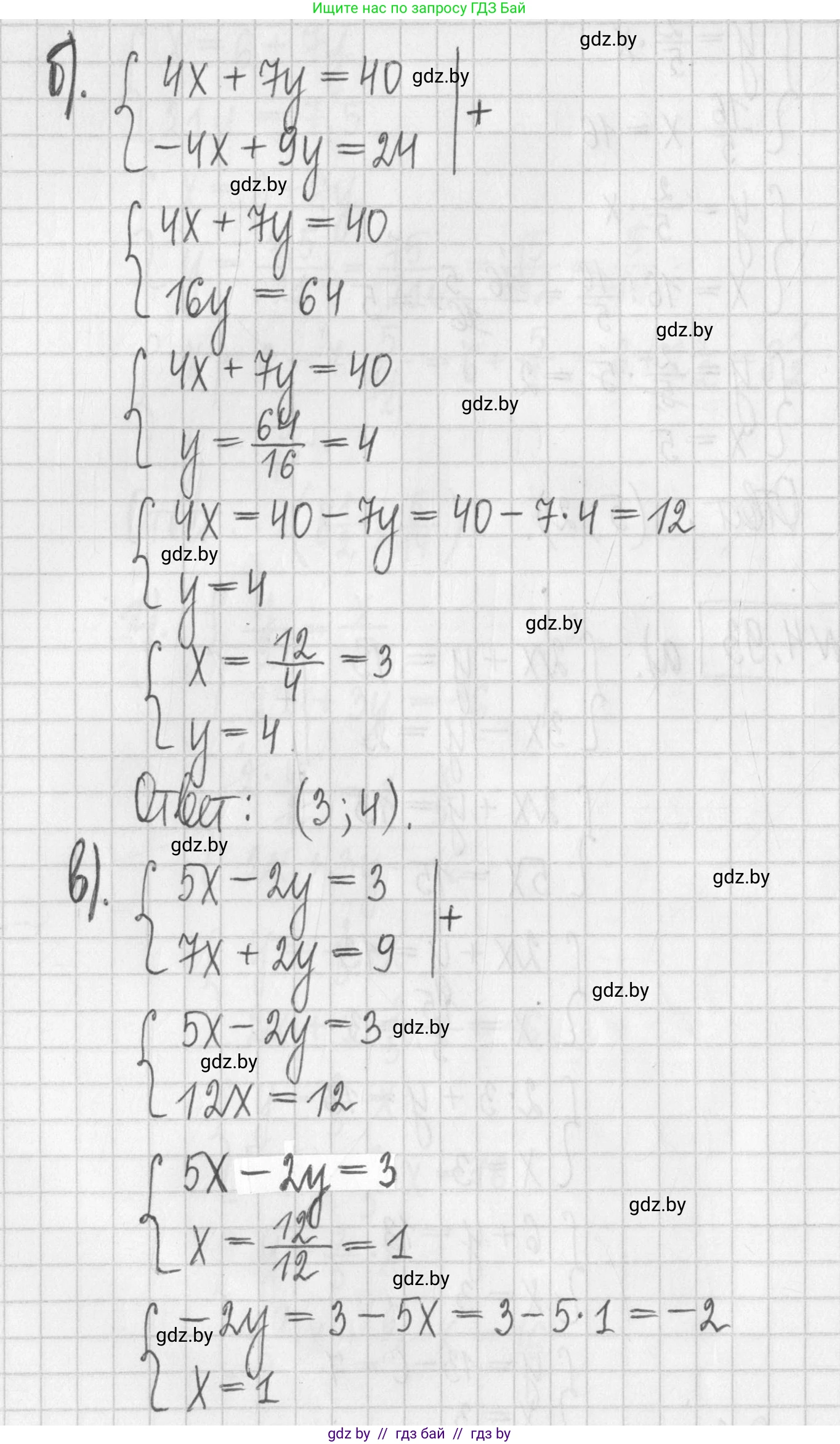
б) $ \begin{cases} 4x + 7y = 40, \\ -4x + 9y = 24 \end{cases} $;

в) $ \begin{cases} 5x - 2y = 3, \\ 7x + 2y = 9 \end{cases} $;

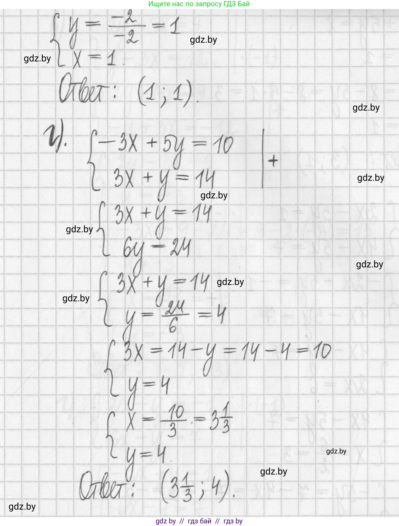
г) $ \begin{cases} -3x + 5y = 10, \\ 3x + y = 14 \end{cases} $.

Решение. №4.93 (с. 282)
Алгебра, 7 класс Учебник, авторы: Арефьева Ирина Глебовна, Пирютко Ольга Николаевна, издательство Народная асвета, Минск, 2022, зелёного цвета, страница 282, номер 4.93, Решение Алгебра, 7 класс Учебник, авторы: Арефьева Ирина Глебовна, Пирютко Ольга Николаевна, издательство Народная асвета, Минск, 2022, зелёного цвета, страница 282, номер 4.93, Решение (продолжение 2)
Решение 2. №4.93 (с. 282)

а) Решим систему уравнений:

$ \begin{cases} 2x + y = 13 \\ 3x - y = 2 \end{cases} $

Коэффициенты при переменной $y$ являются противоположными числами ($1$ и $-1$), поэтому мы можем сложить два уравнения системы, чтобы исключить $y$.

$(2x + y) + (3x - y) = 13 + 2$

$5x = 15$

$x = \frac{15}{5}$

$x = 3$

Теперь подставим найденное значение $x=3$ в первое уравнение системы, чтобы найти $y$:

$2(3) + y = 13$

$6 + y = 13$

$y = 13 - 6$

$y = 7$

Ответ: (3; 7).


б) Решим систему уравнений:

$ \begin{cases} 4x + 7y = 40 \\ -4x + 9y = 24 \end{cases} $

Коэффициенты при переменной $x$ являются противоположными числами ($4$ и $-4$), поэтому сложим два уравнения системы почленно.

$(4x + 7y) + (-4x + 9y) = 40 + 24$

$16y = 64$

$y = \frac{64}{16}$

$y = 4$

Подставим найденное значение $y=4$ в первое уравнение системы, чтобы найти $x$:

$4x + 7(4) = 40$

$4x + 28 = 40$

$4x = 40 - 28$

$4x = 12$

$x = \frac{12}{4}$

$x = 3$

Ответ: (3; 4).


в) Решим систему уравнений:

$ \begin{cases} 5x - 2y = 3 \\ 7x + 2y = 9 \end{cases} $

Коэффициенты при переменной $y$ ($ -2 $ и $2$) являются противоположными числами. Сложим уравнения системы.

$(5x - 2y) + (7x + 2y) = 3 + 9$

$12x = 12$

$x = \frac{12}{12}$

$x = 1$

Подставим значение $x=1$ во второе уравнение системы и найдем $y$:

$7(1) + 2y = 9$

$7 + 2y = 9$

$2y = 9 - 7$

$2y = 2$

$y = 1$

Ответ: (1; 1).


г) Решим систему уравнений:

$ \begin{cases} -3x + 5y = 10 \\ 3x + y = 14 \end{cases} $

Коэффициенты при переменной $x$ ($-3$ и $3$) являются противоположными числами. Сложим уравнения системы.

$(-3x + 5y) + (3x + y) = 10 + 14$

$6y = 24$

$y = \frac{24}{6}$

$y = 4$

Подставим значение $y=4$ во второе уравнение системы, чтобы найти $x$:

$3x + 4 = 14$

$3x = 14 - 4$

$3x = 10$

$x = \frac{10}{3}$

Так как $x$ - неправильная дробь, выделим из нее целую часть:

$x = 3\frac{1}{3}$

Ответ: ($3\frac{1}{3}$; 4).

Помогло решение? Оставьте отзыв в комментариях ниже.

Присоединяйтесь к Телеграм-группе @gdz_by_belarus

Присоединиться

Мы подготовили для вас ответ c подробным объяснением домашего задания по алгебре за 7 класс, для упражнения номер 4.93 расположенного на странице 282 к учебнику 2022 года издания для учащихся школ и гимназий.

Теперь на нашем сайте ГДЗ.ТОП вы всегда легко и бесплатно найдёте условие с правильным ответом на вопрос «Как решить ДЗ» и «Как сделать» задание по алгебре к упражнению №4.93 (с. 282), авторов: Арефьева (Ирина Глебовна), Пирютко (Ольга Николаевна), учебного пособия издательства Народная асвета.