Номер 4.95, страница 283 - гдз по алгебре 7 класс учебник Арефьева, Пирютко

Алгебра, 7 класс Учебник, авторы: Арефьева Ирина Глебовна, Пирютко Ольга Николаевна, издательство Народная асвета, Минск, 2022, зелёного цвета

Авторы: Арефьева И. Г., Пирютко О. Н.

Тип: Учебник

Издательство: Народная асвета

Год издания: 2022 - 2025

Цвет обложки: зелёный с графиком

ISBN: ISBN 978-985-03-3770-2

Допущено Министерством образования Республики Беларусь

Популярные ГДЗ в 7 классе

Глава 4. Системы двух линейных уравнений с двумя переменными. Параграф 24. Способы решения системы линейных уравнений с двумя переменными - номер 4.95, страница 283.

№4.95 (с. 283)
Условие. №4.95 (с. 283)
скриншот условия
Алгебра, 7 класс Учебник, авторы: Арефьева Ирина Глебовна, Пирютко Ольга Николаевна, издательство Народная асвета, Минск, 2022, зелёного цвета, страница 283, номер 4.95, Условие

4.95. Определите, на какое число удобно умножить одно из уравнений системы, и решите систему уравнений способом сложения:

а) $\begin{cases} 3x - 2y = 5, \\ 5x + 4y = 1; \end{cases}$

б) $\begin{cases} 2x - 5y = 2, \\ 6x - 7y = -2; \end{cases}$

в) $\begin{cases} 2x + 3y = 3, \\ 5x + 6y = 9; \end{cases}$

г) $\begin{cases} 5x - 4y = 8, \\ x - y = 2. \end{cases}$

Решение. №4.95 (с. 283)
Алгебра, 7 класс Учебник, авторы: Арефьева Ирина Глебовна, Пирютко Ольга Николаевна, издательство Народная асвета, Минск, 2022, зелёного цвета, страница 283, номер 4.95, Решение Алгебра, 7 класс Учебник, авторы: Арефьева Ирина Глебовна, Пирютко Ольга Николаевна, издательство Народная асвета, Минск, 2022, зелёного цвета, страница 283, номер 4.95, Решение (продолжение 2)
Решение 2. №4.95 (с. 283)

Для решения каждой системы уравнений методом сложения необходимо умножить одно или оба уравнения на такие числа, чтобы коэффициенты при одной из переменных стали противоположными числами. Затем уравнения складываются, что позволяет исключить одну переменную и найти вторую. После этого найденное значение подставляется в любое из исходных уравнений для нахождения значения оставшейся переменной.

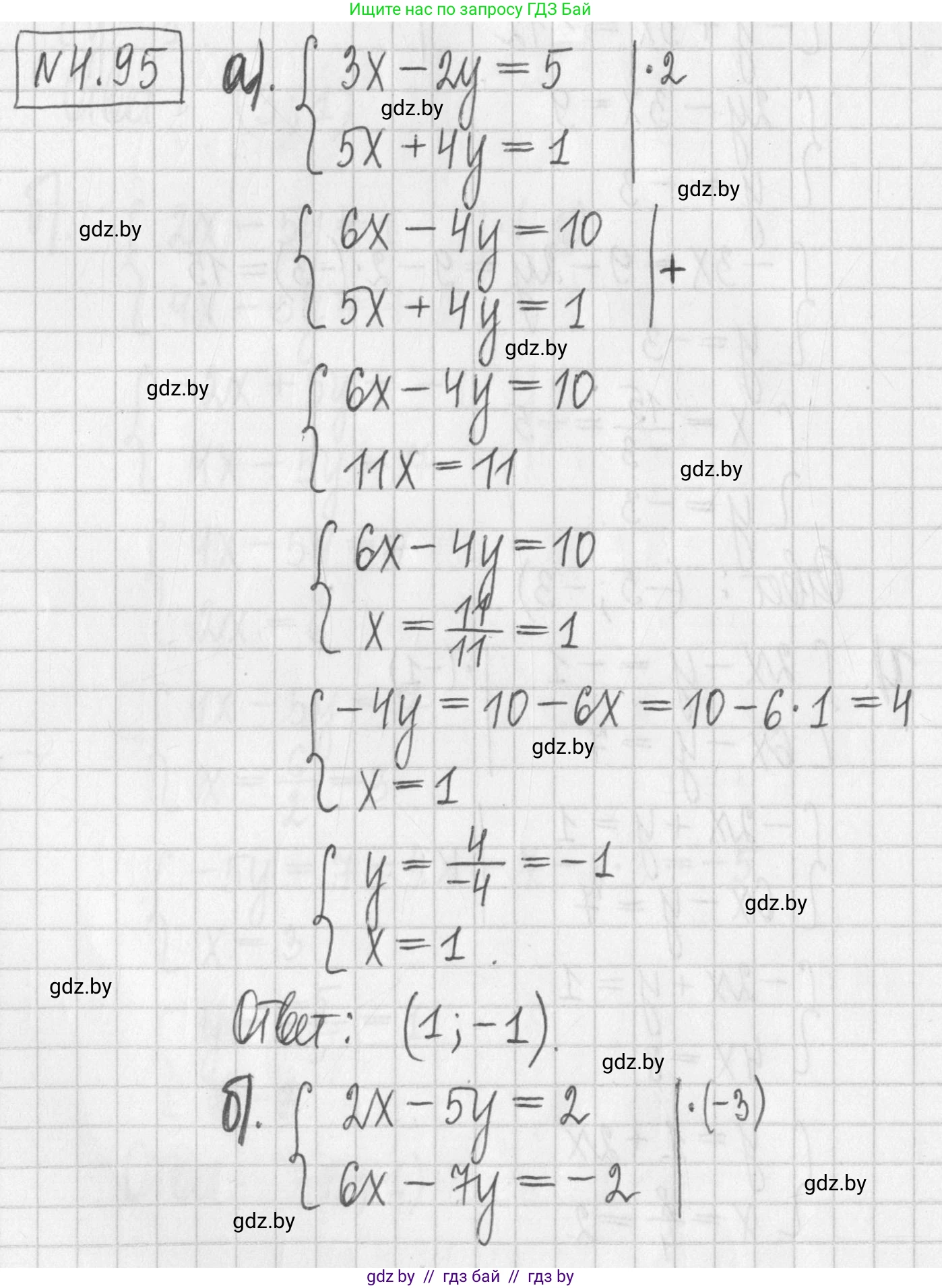
а) Дана система уравнений: $$ \begin{cases} 3x - 2y = 5, \\ 5x + 4y = 1; \end{cases} $$ Чтобы решить систему методом сложения, удобно умножить первое уравнение на 2. В этом случае коэффициенты при переменной $y$ станут противоположными числами ($-4y$ и $4y$). $$ \begin{cases} 3x - 2y = 5 |\cdot 2 \\ 5x + 4y = 1; \end{cases} \implies \begin{cases} 6x - 4y = 10, \\ 5x + 4y = 1; \end{cases} $$ Теперь сложим уравнения почленно: $$ (6x - 4y) + (5x + 4y) = 10 + 1 $$ $$ 11x = 11 $$ $$ x = 1 $$ Подставим найденное значение $x=1$ в первое исходное уравнение: $$ 3(1) - 2y = 5 $$ $$ 3 - 2y = 5 $$ $$ -2y = 2 $$ $$ y = -1 $$ Ответ: $(1; -1)$.

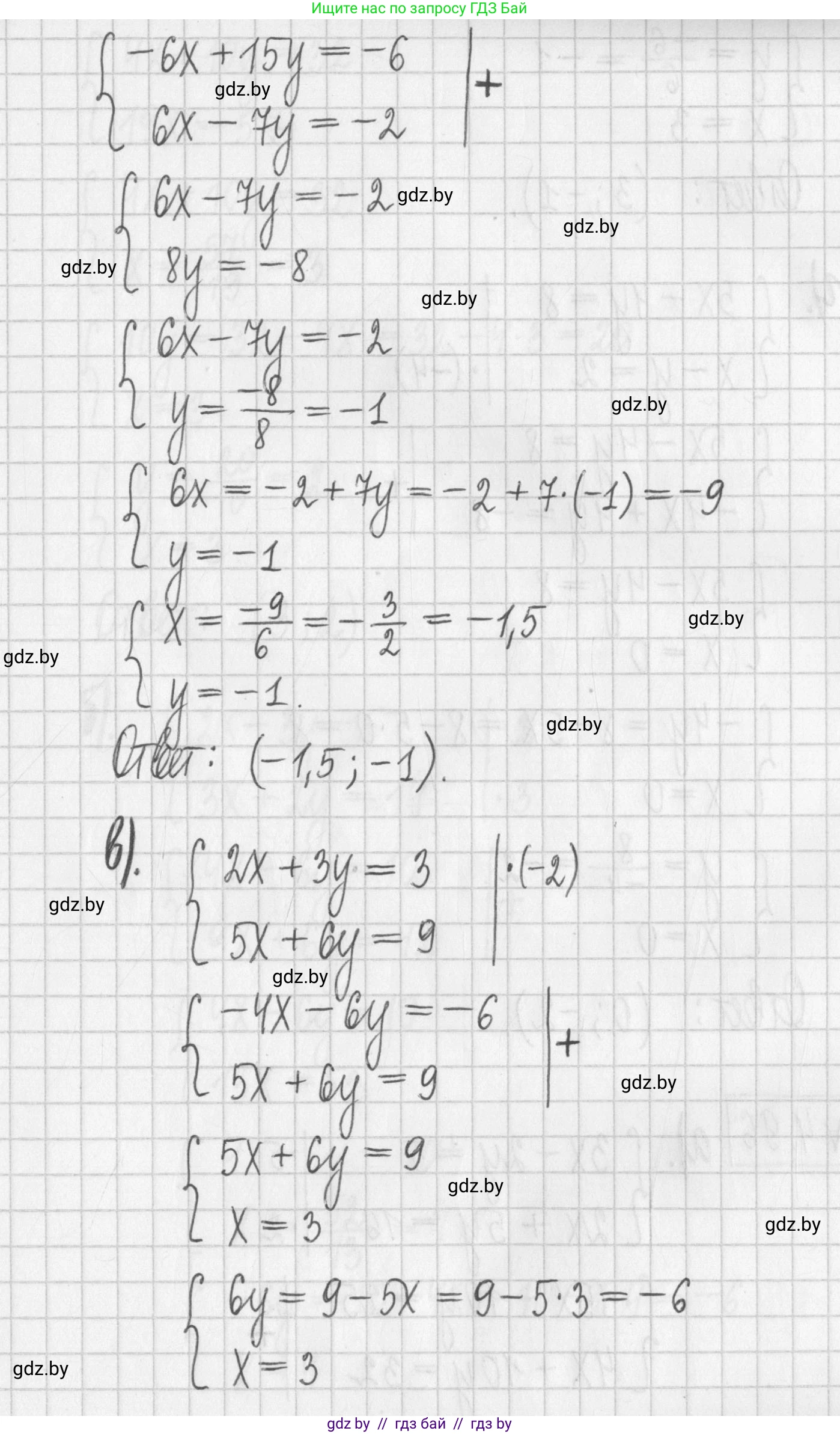
б) Дана система уравнений: $$ \begin{cases} 2x - 5y = 2, \\ 6x - 7y = -2; \end{cases} $$ Чтобы коэффициенты при переменной $x$ стали противоположными, удобно умножить первое уравнение на -3. Тогда коэффициенты при $x$ станут $-6$ и $6$. $$ \begin{cases} 2x - 5y = 2 |\cdot (-3) \\ 6x - 7y = -2; \end{cases} \implies \begin{cases} -6x + 15y = -6, \\ 6x - 7y = -2; \end{cases} $$ Сложим уравнения: $$ (-6x + 15y) + (6x - 7y) = -6 + (-2) $$ $$ 8y = -8 $$ $$ y = -1 $$ Подставим $y=-1$ в первое исходное уравнение: $$ 2x - 5(-1) = 2 $$ $$ 2x + 5 = 2 $$ $$ 2x = -3 $$ $$ x = -\frac{3}{2} $$ Выделим целую часть из неправильной дроби: $x = -1\frac{1}{2}$.
Ответ: $(-1\frac{1}{2}; -1)$.

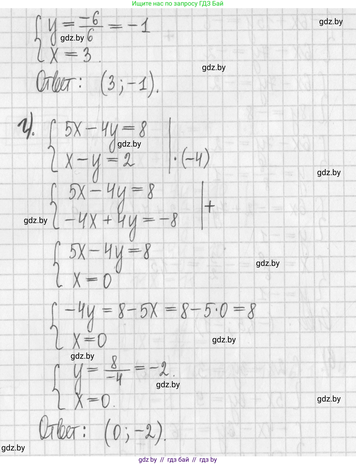
в) Дана система уравнений: $$ \begin{cases} 2x + 3y = 3, \\ 5x + 6y = 9; \end{cases} $$ Удобно умножить первое уравнение на -2, чтобы коэффициенты при $y$ стали противоположными ($-6$ и $6$). $$ \begin{cases} 2x + 3y = 3 |\cdot (-2) \\ 5x + 6y = 9; \end{cases} \implies \begin{cases} -4x - 6y = -6, \\ 5x + 6y = 9; \end{cases} $$ Сложим уравнения: $$ (-4x - 6y) + (5x + 6y) = -6 + 9 $$ $$ x = 3 $$ Подставим $x=3$ в первое исходное уравнение: $$ 2(3) + 3y = 3 $$ $$ 6 + 3y = 3 $$ $$ 3y = -3 $$ $$ y = -1 $$ Ответ: $(3; -1)$.

г) Дана система уравнений: $$ \begin{cases} 5x - 4y = 8, \\ x - y = 2. \end{cases} $$ Удобно умножить второе уравнение на -4, чтобы коэффициенты при $y$ стали противоположными ($-4$ и $4$). $$ \begin{cases} 5x - 4y = 8, \\ x - y = 2 |\cdot (-4) \end{cases} \implies \begin{cases} 5x - 4y = 8, \\ -4x + 4y = -8. \end{cases} $$ Сложим уравнения: $$ (5x - 4y) + (-4x + 4y) = 8 + (-8) $$ $$ x = 0 $$ Подставим $x=0$ во второе исходное уравнение: $$ 0 - y = 2 $$ $$ -y = 2 $$ $$ y = -2 $$ Ответ: $(0; -2)$.

Помогло решение? Оставьте отзыв в комментариях ниже.

Присоединяйтесь к Телеграм-группе @gdz_by_belarus

Присоединиться

Мы подготовили для вас ответ c подробным объяснением домашего задания по алгебре за 7 класс, для упражнения номер 4.95 расположенного на странице 283 к учебнику 2022 года издания для учащихся школ и гимназий.

Теперь на нашем сайте ГДЗ.ТОП вы всегда легко и бесплатно найдёте условие с правильным ответом на вопрос «Как решить ДЗ» и «Как сделать» задание по алгебре к упражнению №4.95 (с. 283), авторов: Арефьева (Ирина Глебовна), Пирютко (Ольга Николаевна), учебного пособия издательства Народная асвета.