Номер 4.94, страница 282 - гдз по алгебре 7 класс учебник Арефьева, Пирютко

Алгебра, 7 класс Учебник, авторы: Арефьева Ирина Глебовна, Пирютко Ольга Николаевна, издательство Народная асвета, Минск, 2022, зелёного цвета

Авторы: Арефьева И. Г., Пирютко О. Н.

Тип: Учебник

Издательство: Народная асвета

Год издания: 2022 - 2025

Цвет обложки: зелёный с графиком

ISBN: ISBN 978-985-03-3770-2

Допущено Министерством образования Республики Беларусь

Популярные ГДЗ в 7 классе

Глава 4. Системы двух линейных уравнений с двумя переменными. Параграф 24. Способы решения системы линейных уравнений с двумя переменными - номер 4.94, страница 282.

№4.94 (с. 282)
Условие. №4.94 (с. 282)
скриншот условия
Алгебра, 7 класс Учебник, авторы: Арефьева Ирина Глебовна, Пирютко Ольга Николаевна, издательство Народная асвета, Минск, 2022, зелёного цвета, страница 282, номер 4.94, Условие

4.94. Умножьте одно из уравнений системы на (−1) и решите систему уравнений способом сложения.

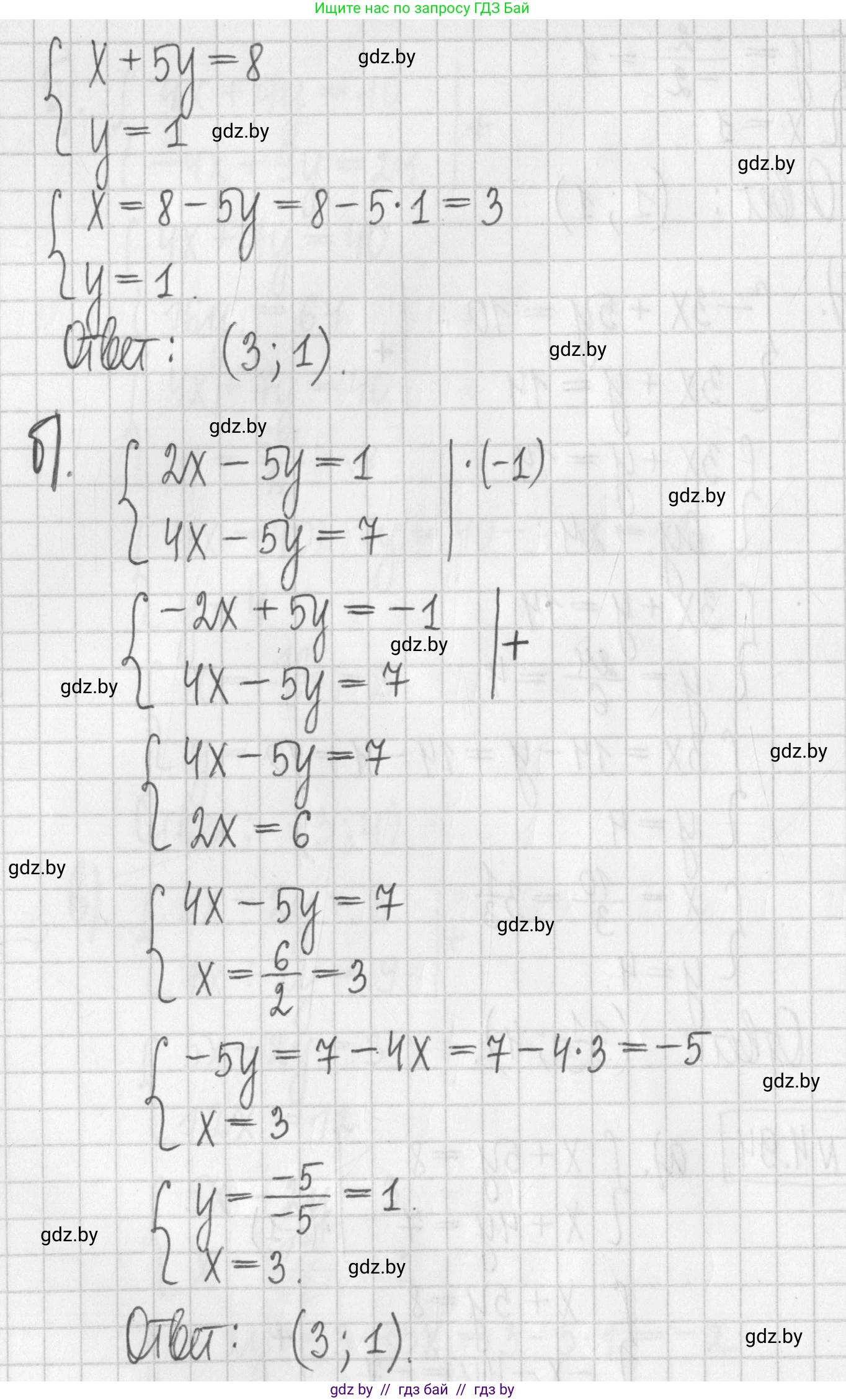
а) $\begin{cases} x + 5y = 8, \\ x + 4y = 7; \end{cases}$

б) $\begin{cases} 2x - 5y = 1, \\ 4x - 5y = 7; \end{cases}$

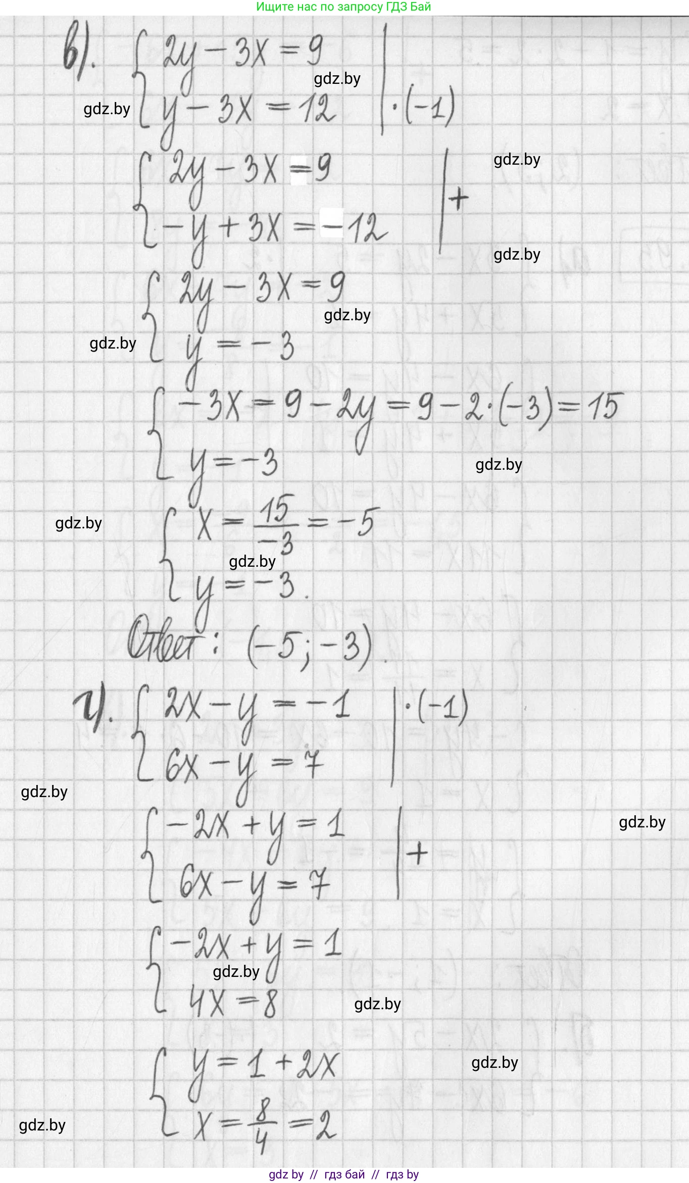
в) $\begin{cases} 2y - 3x = 9, \\ y - 3x = 12; \end{cases}$

г) $\begin{cases} 2x - y = -1, \\ 6x - y = 7. \end{cases}$

Решение. №4.94 (с. 282)
Алгебра, 7 класс Учебник, авторы: Арефьева Ирина Глебовна, Пирютко Ольга Николаевна, издательство Народная асвета, Минск, 2022, зелёного цвета, страница 282, номер 4.94, Решение Алгебра, 7 класс Учебник, авторы: Арефьева Ирина Глебовна, Пирютко Ольга Николаевна, издательство Народная асвета, Минск, 2022, зелёного цвета, страница 282, номер 4.94, Решение (продолжение 2)
Решение 2. №4.94 (с. 282)

4.94. Решим системы уравнений способом сложения, предварительно умножив одно из уравнений на (-1).

а) Дана система уравнений: $$ \begin{cases} x + 5y = 8, \\ x + 4y = 7; \end{cases} $$

В данной системе коэффициенты при переменной $x$ равны. Чтобы избавиться от этой переменной, умножим второе уравнение на -1. $$ -1 \cdot (x + 4y) = -1 \cdot 7 $$ $$ -x - 4y = -7 $$ Теперь сложим почленно первое уравнение исходной системы и полученное уравнение: $$ (x + 5y) + (-x - 4y) = 8 + (-7) $$ $$ x - x + 5y - 4y = 1 $$ $$ y = 1 $$ Подставим найденное значение $y=1$ в первое уравнение исходной системы, чтобы найти $x$: $$ x + 5 \cdot 1 = 8 $$ $$ x + 5 = 8 $$ $$ x = 8 - 5 $$ $$ x = 3 $$

Ответ: $x=3, y=1$.

б) Дана система уравнений: $$ \begin{cases} 2x - 5y = 1, \\ 4x - 5y = 7; \end{cases} $$

В этой системе коэффициенты при переменной $y$ равны. Умножим первое уравнение на -1, чтобы при сложении переменная $y$ сократилась. $$ -1 \cdot (2x - 5y) = -1 \cdot 1 $$ $$ -2x + 5y = -1 $$ Теперь сложим второе уравнение исходной системы с полученным уравнением: $$ (4x - 5y) + (-2x + 5y) = 7 + (-1) $$ $$ 4x - 2x - 5y + 5y = 6 $$ $$ 2x = 6 $$ $$ x = \frac{6}{2} $$ $$ x = 3 $$ Подставим значение $x=3$ в первое уравнение исходной системы для нахождения $y$: $$ 2 \cdot 3 - 5y = 1 $$ $$ 6 - 5y = 1 $$ $$ -5y = 1 - 6 $$ $$ -5y = -5 $$ $$ y = 1 $$

Ответ: $x=3, y=1$.

в) Дана система уравнений: $$ \begin{cases} 2y - 3x = 9, \\ y - 3x = 12; \end{cases} $$

Коэффициенты при переменной $x$ в обоих уравнениях одинаковы. Умножим второе уравнение на -1. $$ -1 \cdot (y - 3x) = -1 \cdot 12 $$ $$ -y + 3x = -12 $$ Сложим первое уравнение исходной системы с полученным уравнением: $$ (2y - 3x) + (-y + 3x) = 9 + (-12) $$ $$ 2y - y - 3x + 3x = -3 $$ $$ y = -3 $$ Теперь подставим значение $y=-3$ во второе уравнение исходной системы, чтобы найти $x$: $$ -3 - 3x = 12 $$ $$ -3x = 12 + 3 $$ $$ -3x = 15 $$ $$ x = \frac{15}{-3} $$ $$ x = -5 $$

Ответ: $x=-5, y=-3$.

г) Дана система уравнений: $$ \begin{cases} 2x - y = -1, \\ 6x - y = 7. \end{cases} $$

Коэффициенты при переменной $y$ равны. Умножим первое уравнение на -1. $$ -1 \cdot (2x - y) = -1 \cdot (-1) $$ $$ -2x + y = 1 $$ Сложим второе уравнение исходной системы с полученным уравнением: $$ (6x - y) + (-2x + y) = 7 + 1 $$ $$ 6x - 2x - y + y = 8 $$ $$ 4x = 8 $$ $$ x = \frac{8}{4} $$ $$ x = 2 $$ Подставим значение $x=2$ в первое уравнение исходной системы для нахождения $y$: $$ 2 \cdot 2 - y = -1 $$ $$ 4 - y = -1 $$ $$ -y = -1 - 4 $$ $$ -y = -5 $$ $$ y = 5 $$

Ответ: $x=2, y=5$.

Помогло решение? Оставьте отзыв в комментариях ниже.

Присоединяйтесь к Телеграм-группе @gdz_by_belarus

Присоединиться

Мы подготовили для вас ответ c подробным объяснением домашего задания по алгебре за 7 класс, для упражнения номер 4.94 расположенного на странице 282 к учебнику 2022 года издания для учащихся школ и гимназий.

Теперь на нашем сайте ГДЗ.ТОП вы всегда легко и бесплатно найдёте условие с правильным ответом на вопрос «Как решить ДЗ» и «Как сделать» задание по алгебре к упражнению №4.94 (с. 282), авторов: Арефьева (Ирина Глебовна), Пирютко (Ольга Николаевна), учебного пособия издательства Народная асвета.