Номер 4.112, страница 286 - гдз по алгебре 7 класс учебник Арефьева, Пирютко

Алгебра, 7 класс Учебник, авторы: Арефьева Ирина Глебовна, Пирютко Ольга Николаевна, издательство Народная асвета, Минск, 2022, зелёного цвета

Авторы: Арефьева И. Г., Пирютко О. Н.

Тип: Учебник

Издательство: Народная асвета

Год издания: 2022 - 2025

Цвет обложки: зелёный с графиком

ISBN: ISBN 978-985-03-3770-2

Допущено Министерством образования Республики Беларусь

Популярные ГДЗ в 7 классе

Глава 4. Системы двух линейных уравнений с двумя переменными. Параграф 24. Способы решения системы линейных уравнений с двумя переменными - номер 4.112, страница 286.

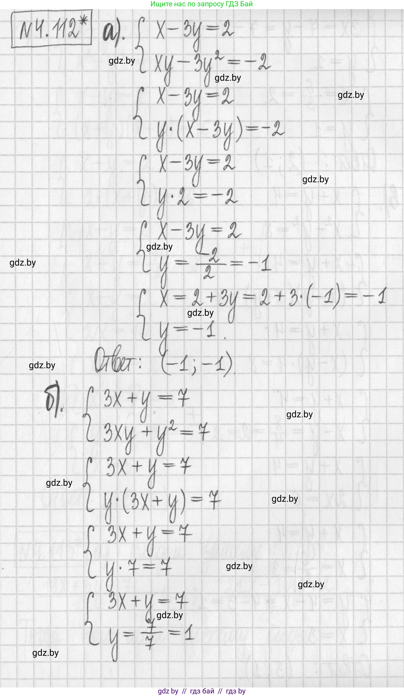
№4.112 (с. 286)
Условие. №4.112 (с. 286)
скриншот условия
Алгебра, 7 класс Учебник, авторы: Арефьева Ирина Глебовна, Пирютко Ольга Николаевна, издательство Народная асвета, Минск, 2022, зелёного цвета, страница 286, номер 4.112, Условие

4.112*. Решите систему уравнений, используя тождественные преобразования:

а) $\begin{cases} x - 3y = 2, \\ xy - 3y^2 = -2; \end{cases}$

б) $\begin{cases} 3x + y = 7, \\ 3xy + y^2 = 7; \end{cases}$

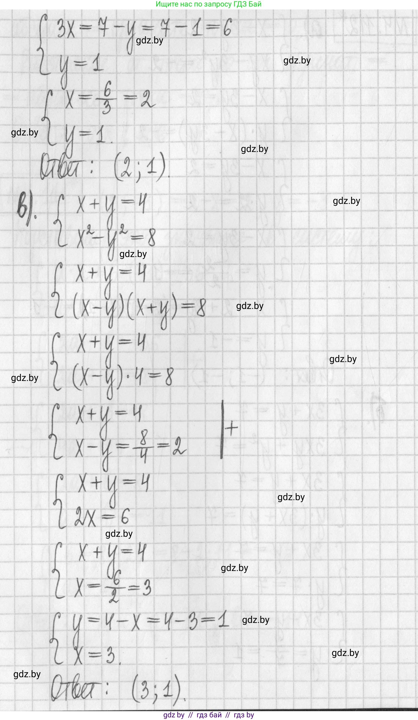
в) $\begin{cases} x + y = 4, \\ x^2 - y^2 = 8; \end{cases}$

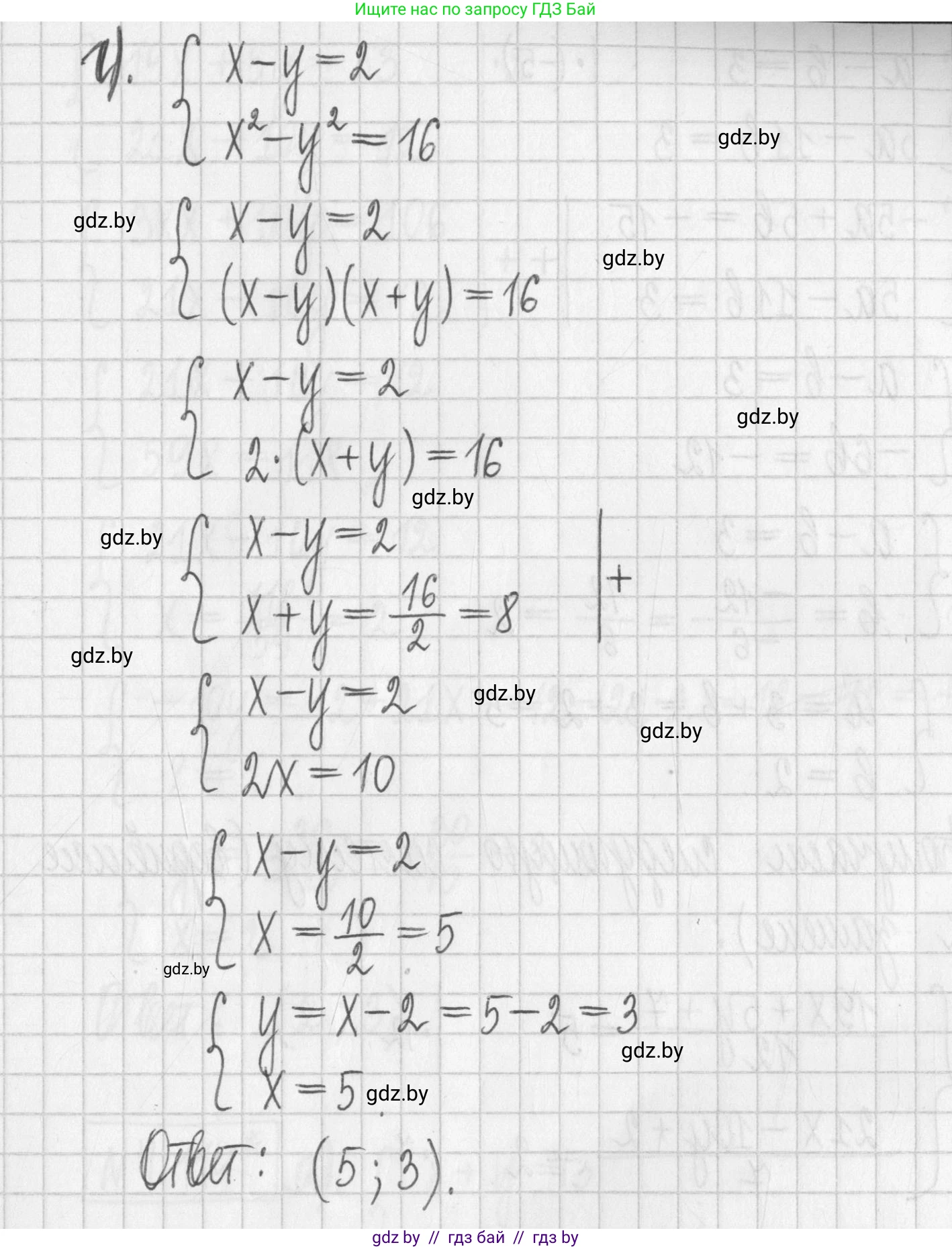
г) $\begin{cases} x - y = 2, \\ x^2 - y^2 = 16. \end{cases}$

Решение. №4.112 (с. 286)
Алгебра, 7 класс Учебник, авторы: Арефьева Ирина Глебовна, Пирютко Ольга Николаевна, издательство Народная асвета, Минск, 2022, зелёного цвета, страница 286, номер 4.112, Решение Алгебра, 7 класс Учебник, авторы: Арефьева Ирина Глебовна, Пирютко Ольга Николаевна, издательство Народная асвета, Минск, 2022, зелёного цвета, страница 286, номер 4.112, Решение (продолжение 2)
Решение 2. №4.112 (с. 286)

4.112. Решение систем уравнений с использованием тождественных преобразований.

а) Дана система уравнений:
$\begin{cases} x - 3y = 2, \\ xy - 3y^2 = -2; \end{cases}$

Преобразуем второе уравнение, вынеся за скобки общий множитель $y$:

$y(x - 3y) = -2$

Из первого уравнения системы известно, что $x - 3y = 2$. Подставим это выражение во второе уравнение:

$y \cdot 2 = -2$

$2y = -2$

$y = -1$

Теперь подставим найденное значение $y$ в первое уравнение, чтобы найти $x$:

$x - 3(-1) = 2$

$x + 3 = 2$

$x = 2 - 3$

$x = -1$

Ответ: $x = -1, y = -1$.

б) Дана система уравнений:
$\begin{cases} 3x + y = 7, \\ 3xy + y^2 = 7; \end{cases}$

Во втором уравнении вынесем за скобки общий множитель $y$:

$y(3x + y) = 7$

Из первого уравнения системы известно, что $3x + y = 7$. Подставим это выражение во второе уравнение:

$y \cdot 7 = 7$

$7y = 7$

$y = 1$

Подставим $y=1$ в первое уравнение, чтобы найти $x$:

$3x + 1 = 7$

$3x = 6$

$x = 2$

Ответ: $x = 2, y = 1$.

в) Дана система уравнений:
$\begin{cases} x + y = 4, \\ x^2 - y^2 = 8; \end{cases}$

Преобразуем второе уравнение, используя формулу разности квадратов $a^2 - b^2 = (a-b)(a+b)$:

$(x - y)(x + y) = 8$

Из первого уравнения системы мы знаем, что $x + y = 4$. Подставим это значение в преобразованное второе уравнение:

$(x - y) \cdot 4 = 8$

$x - y = \frac{8}{4}$

$x - y = 2$

Теперь мы имеем новую, более простую систему линейных уравнений:

$\begin{cases} x + y = 4, \\ x - y = 2; \end{cases}$

Сложим эти два уравнения:

$(x + y) + (x - y) = 4 + 2$

$2x = 6$

$x = 3$

Подставим найденное значение $x$ в первое уравнение новой системы:

$3 + y = 4$

$y = 1$

Ответ: $x = 3, y = 1$.

г) Дана система уравнений:
$\begin{cases} x - y = 2, \\ x^2 - y^2 = 16; \end{cases}$

Используем формулу разности квадратов для второго уравнения $a^2 - b^2 = (a-b)(a+b)$:

$(x - y)(x + y) = 16$

Из первого уравнения известно, что $x - y = 2$. Подставим это значение во второе уравнение:

$2 \cdot (x + y) = 16$

$x + y = \frac{16}{2}$

$x + y = 8$

Получаем новую систему линейных уравнений:

$\begin{cases} x - y = 2, \\ x + y = 8; \end{cases}$

Сложим уравнения системы:

$(x - y) + (x + y) = 2 + 8$

$2x = 10$

$x = 5$

Подставим значение $x$ во второе уравнение новой системы:

$5 + y = 8$

$y = 3$

Ответ: $x = 5, y = 3$.

Помогло решение? Оставьте отзыв в комментариях ниже.

Присоединяйтесь к Телеграм-группе @gdz_by_belarus

Присоединиться

Мы подготовили для вас ответ c подробным объяснением домашего задания по алгебре за 7 класс, для упражнения номер 4.112 расположенного на странице 286 к учебнику 2022 года издания для учащихся школ и гимназий.

Теперь на нашем сайте ГДЗ.ТОП вы всегда легко и бесплатно найдёте условие с правильным ответом на вопрос «Как решить ДЗ» и «Как сделать» задание по алгебре к упражнению №4.112 (с. 286), авторов: Арефьева (Ирина Глебовна), Пирютко (Ольга Николаевна), учебного пособия издательства Народная асвета.