Номер 4.113, страница 286 - гдз по алгебре 7 класс учебник Арефьева, Пирютко

Алгебра, 7 класс Учебник, авторы: Арефьева Ирина Глебовна, Пирютко Ольга Николаевна, издательство Народная асвета, Минск, 2022, зелёного цвета

Авторы: Арефьева И. Г., Пирютко О. Н.

Тип: Учебник

Издательство: Народная асвета

Год издания: 2022 - 2025

Цвет обложки: зелёный с графиком

ISBN: ISBN 978-985-03-3770-2

Допущено Министерством образования Республики Беларусь

Популярные ГДЗ в 7 классе

Глава 4. Системы двух линейных уравнений с двумя переменными. Параграф 24. Способы решения системы линейных уравнений с двумя переменными - номер 4.113, страница 286.

№4.113 (с. 286)
Условие. №4.113 (с. 286)
скриншот условия
Алгебра, 7 класс Учебник, авторы: Арефьева Ирина Глебовна, Пирютко Ольга Николаевна, издательство Народная асвета, Минск, 2022, зелёного цвета, страница 286, номер 4.113, Условие

4.113*. С помощью замены переменных решите систему уравнений

$\begin{cases} \frac{19x + 5y + 7}{12} - \frac{21x - 10y + 2}{7} = 3, \\ \frac{5(19x + 5y + 7)}{12} - \frac{11(21x - 10y + 2)}{7} = 3. \end{cases}$

Решение. №4.113 (с. 286)
Алгебра, 7 класс Учебник, авторы: Арефьева Ирина Глебовна, Пирютко Ольга Николаевна, издательство Народная асвета, Минск, 2022, зелёного цвета, страница 286, номер 4.113, Решение Алгебра, 7 класс Учебник, авторы: Арефьева Ирина Глебовна, Пирютко Ольга Николаевна, издательство Народная асвета, Минск, 2022, зелёного цвета, страница 286, номер 4.113, Решение (продолжение 2)
Решение 2. №4.113 (с. 286)

Для решения данной системы уравнений воспользуемся методом замены переменных, как предложено в условии задачи.

Исходная система уравнений:

$$ \begin{cases} \frac{19x + 5y + 7}{12} - \frac{21x - 10y + 2}{7} = 3, \\ \frac{5(19x + 5y + 7)}{12} - \frac{11(21x - 10y + 2)}{7} = 3. \end{cases} $$

Заметим, что в обоих уравнениях присутствуют повторяющиеся выражения. Для упрощения системы введем новые переменные.

Шаг 1: Введение новых переменных

Пусть:

$ u = \frac{19x + 5y + 7}{12} $

$ v = \frac{21x - 10y + 2}{7} $

После замены исходная система примет вид:

$$ \begin{cases} u - v = 3 \\ 5u - 11v = 3 \end{cases} $$

Шаг 2: Решение системы относительно новых переменных

Мы получили простую систему линейных уравнений с переменными $u$ и $v$. Решим ее методом подстановки. Из первого уравнения выразим $u$:

$ u = 3 + v $

Подставим это выражение во второе уравнение:

$ 5(3 + v) - 11v = 3 $

$ 15 + 5v - 11v = 3 $

$ 15 - 6v = 3 $

$ -6v = 3 - 15 $

$ -6v = -12 $

$ v = 2 $

Теперь найдем значение $u$:

$ u = 3 + v = 3 + 2 = 5 $

Итак, мы нашли значения для наших временных переменных: $ u = 5 $ и $ v = 2 $.

Шаг 3: Обратная замена и нахождение x и y

Теперь, зная значения $u=5$ и $v=2$, вернемся к исходным переменным $x$ и $y$.

Для $u=5$ имеем:

$ \frac{19x + 5y + 7}{12} = 5 $

$ 19x + 5y + 7 = 60 $

$ 19x + 5y = 53 \quad (1) $

Для $v=2$ имеем:

$ \frac{21x - 10y + 2}{7} = 2 $

$ 21x - 10y + 2 = 14 $

$ 21x - 10y = 12 \quad (2) $

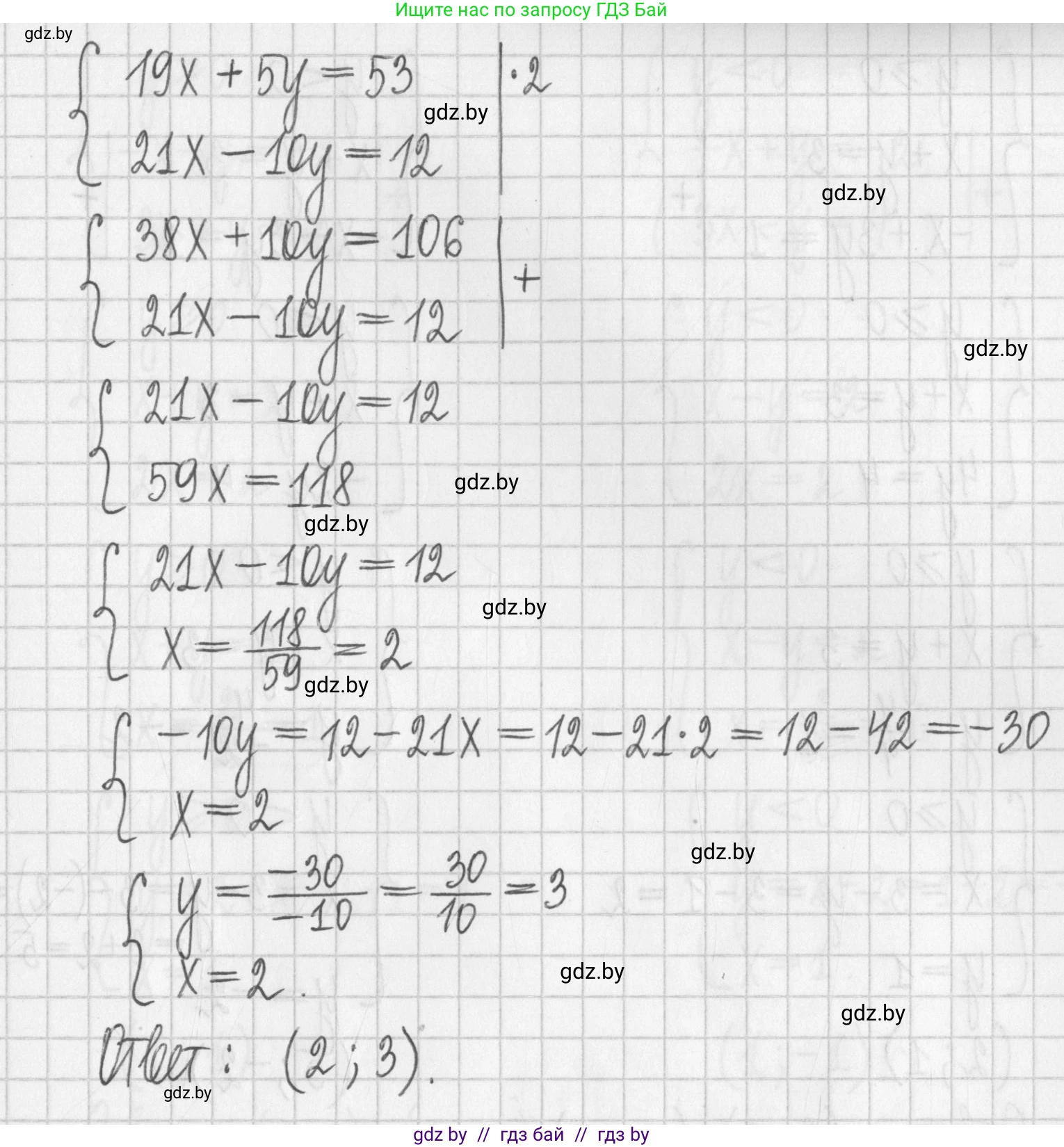
Получили систему двух линейных уравнений с двумя неизвестными:

$$ \begin{cases} 19x + 5y = 53 \\ 21x - 10y = 12 \end{cases} $$

Решим эту систему методом сложения. Умножим первое уравнение на 2, чтобы коэффициенты при $y$ стали противоположными:

$ 2 \cdot (19x + 5y) = 2 \cdot 53 \implies 38x + 10y = 106 $

Теперь система выглядит так:

$$ \begin{cases} 38x + 10y = 106 \\ 21x - 10y = 12 \end{cases} $$

Сложим два уравнения:

$ (38x + 10y) + (21x - 10y) = 106 + 12 $

$ 59x = 118 $

$ x = \frac{118}{59} $

$ x = 2 $

Подставим значение $x=2$ в уравнение (1) для нахождения $y$:

$ 19(2) + 5y = 53 $

$ 38 + 5y = 53 $

$ 5y = 53 - 38 $

$ 5y = 15 $

$ y = \frac{15}{5} $

$ y = 3 $

Таким образом, решением системы является пара чисел $(2, 3)$.

x: Ответ: 2

y: Ответ: 3

Помогло решение? Оставьте отзыв в комментариях ниже.

Присоединяйтесь к Телеграм-группе @gdz_by_belarus

Присоединиться

Мы подготовили для вас ответ c подробным объяснением домашего задания по алгебре за 7 класс, для упражнения номер 4.113 расположенного на странице 286 к учебнику 2022 года издания для учащихся школ и гимназий.

Теперь на нашем сайте ГДЗ.ТОП вы всегда легко и бесплатно найдёте условие с правильным ответом на вопрос «Как решить ДЗ» и «Как сделать» задание по алгебре к упражнению №4.113 (с. 286), авторов: Арефьева (Ирина Глебовна), Пирютко (Ольга Николаевна), учебного пособия издательства Народная асвета.