Номер 4.116, страница 287 - гдз по алгебре 7 класс учебник Арефьева, Пирютко

Алгебра, 7 класс Учебник, авторы: Арефьева Ирина Глебовна, Пирютко Ольга Николаевна, издательство Народная асвета, Минск, 2022, зелёного цвета

Авторы: Арефьева И. Г., Пирютко О. Н.

Тип: Учебник

Издательство: Народная асвета

Год издания: 2022 - 2025

Цвет обложки: зелёный с графиком

ISBN: ISBN 978-985-03-3770-2

Допущено Министерством образования Республики Беларусь

Популярные ГДЗ в 7 классе

Глава 4. Системы двух линейных уравнений с двумя переменными. Параграф 24. Способы решения системы линейных уравнений с двумя переменными - номер 4.116, страница 287.

№4.116 (с. 287)
Условие. №4.116 (с. 287)
скриншот условия
Алгебра, 7 класс Учебник, авторы: Арефьева Ирина Глебовна, Пирютко Ольга Николаевна, издательство Народная асвета, Минск, 2022, зелёного цвета, страница 287, номер 4.116, Условие

4.116. Решите систему уравнений способом подстановки:

а) $ \begin{cases} x + y = 7, \\ 5x - 3y = 11; \end{cases} $

б) $ \begin{cases} x - 3y = 6, \\ 2x - 5y = -4; \end{cases} $

в) $ \begin{cases} 3x + y = 7, \\ 9x - 4y = -7; \end{cases} $

г) $ \begin{cases} 2x + 4y = 90, \\ -x + 3y = -10. \end{cases} $

Решение. №4.116 (с. 287)
Алгебра, 7 класс Учебник, авторы: Арефьева Ирина Глебовна, Пирютко Ольга Николаевна, издательство Народная асвета, Минск, 2022, зелёного цвета, страница 287, номер 4.116, Решение Алгебра, 7 класс Учебник, авторы: Арефьева Ирина Глебовна, Пирютко Ольга Николаевна, издательство Народная асвета, Минск, 2022, зелёного цвета, страница 287, номер 4.116, Решение (продолжение 2)
Решение 2. №4.116 (с. 287)

а) Дана система уравнений:

$$ \begin{cases} x + y = 7 \\ 5x - 3y = 11 \end{cases} $$

1. Выразим переменную $x$ из первого уравнения, так как у нее коэффициент 1:

$x = 7 - y$

2. Подставим полученное выражение для $x$ во второе уравнение системы:

$5(7 - y) - 3y = 11$

3. Решим полученное уравнение относительно $y$:

$35 - 5y - 3y = 11$

$35 - 8y = 11$

$-8y = 11 - 35$

$-8y = -24$

$y = \frac{-24}{-8}$

$y = 3$

4. Теперь найдем значение $x$, подставив найденное значение $y=3$ в выражение для $x$:

$x = 7 - y = 7 - 3 = 4$

Решением системы является пара чисел $(4; 3)$.

Ответ: (4; 3).

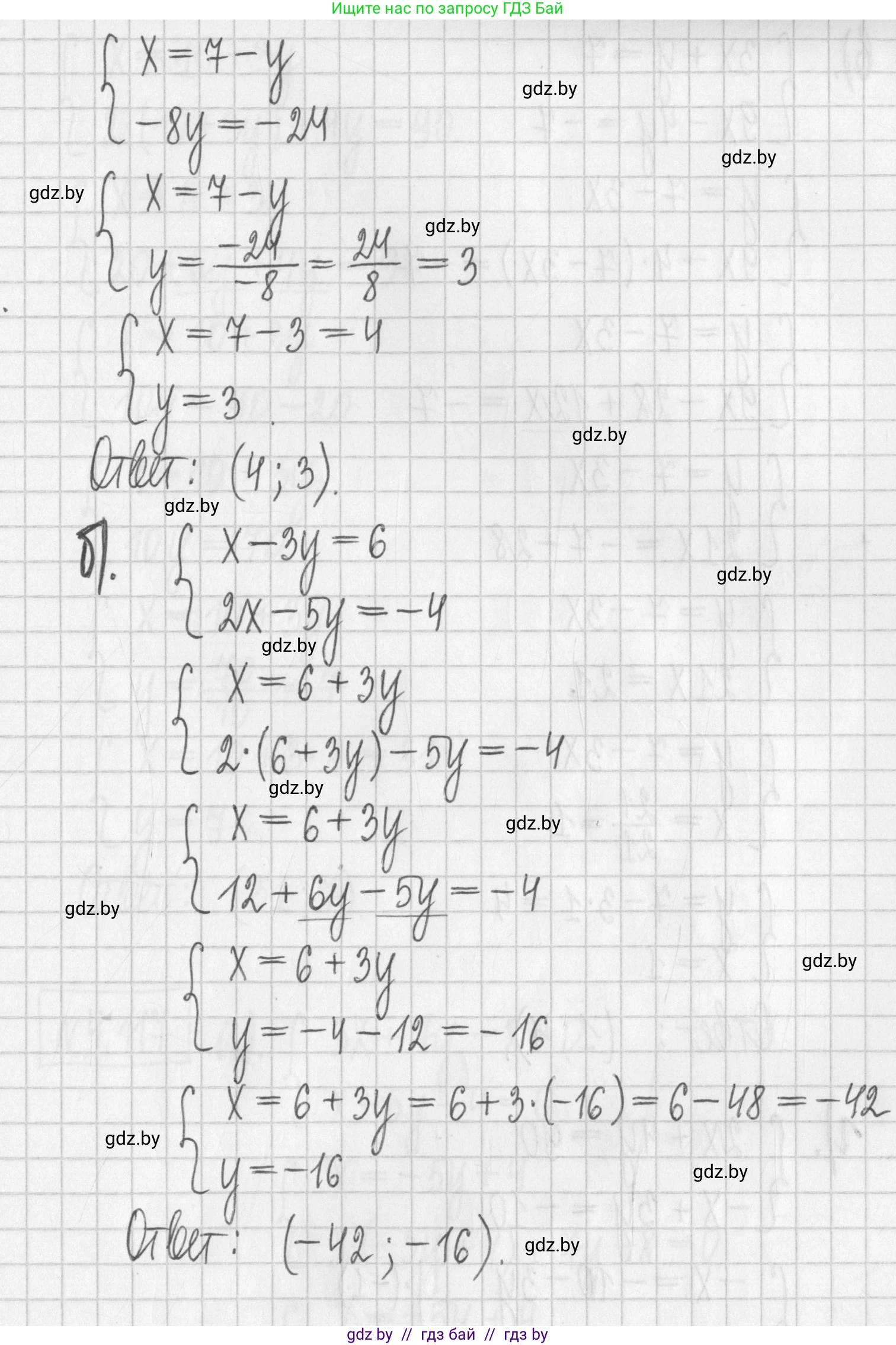
б) Дана система уравнений:

$$ \begin{cases} x - 3y = 6 \\ 2x - 5y = -4 \end{cases} $$

1. Выразим переменную $x$ из первого уравнения:

$x = 6 + 3y$

2. Подставим полученное выражение для $x$ во второе уравнение:

$2(6 + 3y) - 5y = -4$

3. Решим полученное уравнение относительно $y$:

$12 + 6y - 5y = -4$

$12 + y = -4$

$y = -4 - 12$

$y = -16$

4. Найдем значение $x$, подставив $y = -16$ в выражение для $x$:

$x = 6 + 3(-16) = 6 - 48 = -42$

Решением системы является пара чисел $(-42; -16)$.

Ответ: (-42; -16).

в) Дана система уравнений:

$$ \begin{cases} 3x + y = 7 \\ 9x - 4y = -7 \end{cases} $$

1. Выразим переменную $y$ из первого уравнения, так как у нее коэффициент 1:

$y = 7 - 3x$

2. Подставим это выражение для $y$ во второе уравнение:

$9x - 4(7 - 3x) = -7$

3. Решим полученное уравнение относительно $x$:

$9x - 28 + 12x = -7$

$21x = -7 + 28$

$21x = 21$

$x = 1$

4. Найдем значение $y$, подставив $x = 1$ в выражение для $y$:

$y = 7 - 3(1) = 7 - 3 = 4$

Решением системы является пара чисел $(1; 4)$.

Ответ: (1; 4).

г) Дана система уравнений:

$$ \begin{cases} 2x + 4y = 90 \\ -x + 3y = -10 \end{cases} $$

1. Выразим переменную $x$ из второго уравнения, так как у нее коэффициент -1:

$-x = -10 - 3y$

Умножим обе части на -1:

$x = 10 + 3y$

2. Подставим полученное выражение для $x$ в первое уравнение системы:

$2(10 + 3y) + 4y = 90$

3. Решим полученное уравнение относительно $y$:

$20 + 6y + 4y = 90$

$20 + 10y = 90$

$10y = 90 - 20$

$10y = 70$

$y = 7$

4. Теперь найдем значение $x$, подставив $y = 7$ в выражение для $x$:

$x = 10 + 3(7) = 10 + 21 = 31$

Решением системы является пара чисел $(31; 7)$.

Ответ: (31; 7).

Помогло решение? Оставьте отзыв в комментариях ниже.

Присоединяйтесь к Телеграм-группе @gdz_by_belarus

Присоединиться

Мы подготовили для вас ответ c подробным объяснением домашего задания по алгебре за 7 класс, для упражнения номер 4.116 расположенного на странице 287 к учебнику 2022 года издания для учащихся школ и гимназий.

Теперь на нашем сайте ГДЗ.ТОП вы всегда легко и бесплатно найдёте условие с правильным ответом на вопрос «Как решить ДЗ» и «Как сделать» задание по алгебре к упражнению №4.116 (с. 287), авторов: Арефьева (Ирина Глебовна), Пирютко (Ольга Николаевна), учебного пособия издательства Народная асвета.