Номер 1.132, страница 43 - гдз по алгебре 8 класс учебник Арефьева, Пирютко

Алгебра, 8 класс Учебник, авторы: Арефьева Ирина Глебовна, Пирютко Ольга Николаевна, издательство Адукацыя i выхаванне, Минск, 2024, бирюзового цвета

Авторы: Арефьева И. Г., Пирютко О. Н.

Тип: Учебник

Издательство: Адукацыя i выхаванне

Год издания: 2024 - 2025

Цвет обложки: бирюзовый с графиком

ISBN: ISBN 978-985-03-4081-8

Допущено Министерством образования Республики Беларусь

Популярные ГДЗ в 8 классе

Глава 1. Квадратные корни и их свойства. Действительные числа. Параграф 3. Свойства квадратных корней - номер 1.132, страница 43.

№1.132 (с. 43)
Условие. №1.132 (с. 43)
скриншот условия
Алгебра, 8 класс Учебник, авторы: Арефьева Ирина Глебовна, Пирютко Ольга Николаевна, издательство Адукацыя i выхаванне, Минск, 2024, бирюзового цвета, страница 43, номер 1.132, Условие

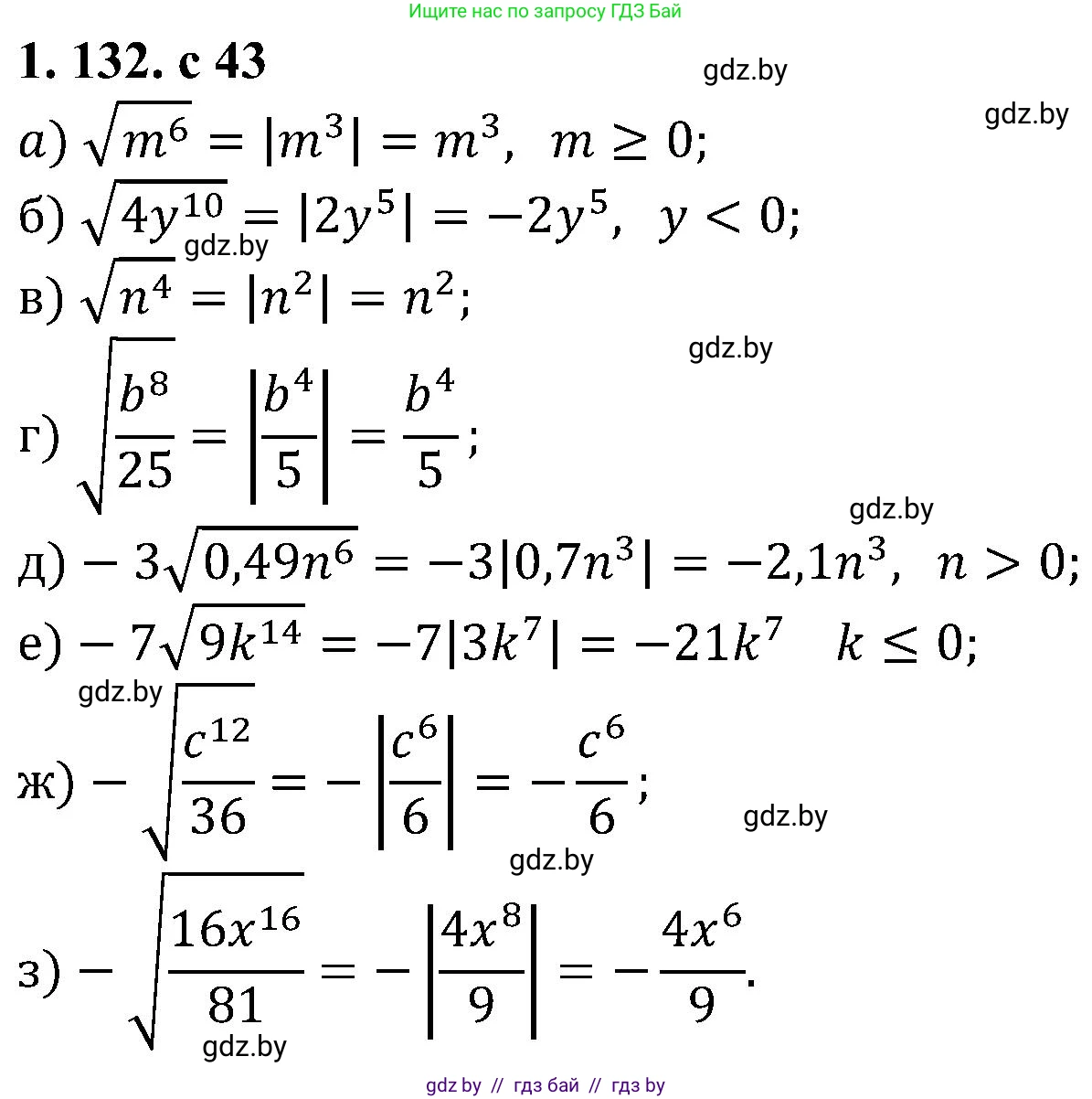
1.132. Упростите выражение:

а) $\sqrt{m^6}$, если $m \geq 0$;

б) $\sqrt{4y^{10}}$, если $y < 0$;

в) $\sqrt{n^4}$;

г) $\sqrt{\frac{b^8}{25}}$;

д) $-3\sqrt{0,49n^6}$, если $n > 0$;

е) $-7\sqrt{9k^{14}}$, если $k \leq 0$;

ж) $-\sqrt{\frac{c^{12}}{36}}$;

з) $-\sqrt{\frac{16x^{16}}{81}}$.

Решение. №1.132 (с. 43)
Алгебра, 8 класс Учебник, авторы: Арефьева Ирина Глебовна, Пирютко Ольга Николаевна, издательство Адукацыя i выхаванне, Минск, 2024, бирюзового цвета, страница 43, номер 1.132, Решение
Решение 2. №1.132 (с. 43)

а) Для упрощения выражения $\sqrt{m^6}$ воспользуемся свойством $\sqrt{a^{2k}} = |a^k|$.
$\sqrt{m^6} = \sqrt{(m^3)^2} = |m^3|$.
Поскольку по условию $m \ge 0$, то и $m^3 \ge 0$. Следовательно, модуль раскрывается со знаком плюс: $|m^3| = m^3$.
Ответ: $m^3$.

б) Упростим выражение $\sqrt{4y^{10}}$.
$\sqrt{4y^{10}} = \sqrt{4} \cdot \sqrt{y^{10}} = 2\sqrt{(y^5)^2} = 2|y^5|$.
По условию $y < 0$. Так как степень 5 нечетная, то $y^5 < 0$.
Следовательно, модуль раскрывается со знаком минус: $|y^5| = -y^5$.
Получаем: $2(-y^5) = -2y^5$.
Ответ: $-2y^5$.

в) Упростим выражение $\sqrt{n^4}$.
$\sqrt{n^4} = \sqrt{(n^2)^2} = |n^2|$.
Выражение $n^2$ является неотрицательным для любого действительного числа $n$ ($n^2 \ge 0$).
Следовательно, $|n^2| = n^2$.
Ответ: $n^2$.

г) Упростим выражение $\sqrt{\frac{b^8}{25}}$.
$\sqrt{\frac{b^8}{25}} = \frac{\sqrt{b^8}}{\sqrt{25}} = \frac{\sqrt{(b^4)^2}}{5} = \frac{|b^4|}{5}$.
Выражение $b^4$ является неотрицательным для любого действительного числа $b$ ($b^4 \ge 0$), так как степень четная.
Следовательно, $|b^4| = b^4$.
Ответ: $\frac{b^4}{5}$.

д) Упростим выражение $-3\sqrt{0,49n^6}$.
$-3\sqrt{0,49n^6} = -3 \cdot \sqrt{0,49} \cdot \sqrt{n^6} = -3 \cdot 0,7 \cdot \sqrt{(n^3)^2} = -2,1|n^3|$.
По условию $n > 0$, следовательно $n^3 > 0$.
Модуль раскрывается со знаком плюс: $|n^3| = n^3$.
Получаем: $-2,1 \cdot n^3 = -2,1n^3$.
Ответ: $-2,1n^3$.

е) Упростим выражение $-7\sqrt{9k^{14}}$.
$-7\sqrt{9k^{14}} = -7 \cdot \sqrt{9} \cdot \sqrt{k^{14}} = -7 \cdot 3 \cdot \sqrt{(k^7)^2} = -21|k^7|$.
По условию $k \le 0$. Так как степень 7 нечетная, то $k^7 \le 0$.
Следовательно, модуль раскрывается со знаком минус: $|k^7| = -k^7$.
Получаем: $-21(-k^7) = 21k^7$.
Ответ: $21k^7$.

ж) Упростим выражение $-\sqrt{\frac{c^{12}}{36}}$.
$-\sqrt{\frac{c^{12}}{36}} = -\frac{\sqrt{c^{12}}}{\sqrt{36}} = -\frac{\sqrt{(c^6)^2}}{6} = -\frac{|c^6|}{6}$.
Выражение $c^6$ является неотрицательным для любого действительного числа $c$ ($c^6 \ge 0$), так как степень четная.
Следовательно, $|c^6| = c^6$.
Ответ: $-\frac{c^6}{6}$.

з) Упростим выражение $-\sqrt{\frac{16x^{16}}{81}}$.
$-\sqrt{\frac{16x^{16}}{81}} = -\frac{\sqrt{16x^{16}}}{\sqrt{81}} = -\frac{\sqrt{16} \cdot \sqrt{x^{16}}}{9} = -\frac{4\sqrt{(x^8)^2}}{9} = -\frac{4|x^8|}{9}$.
Выражение $x^8$ является неотрицательным для любого действительного числа $x$ ($x^8 \ge 0$), так как степень четная.
Следовательно, $|x^8| = x^8$.
Ответ: $-\frac{4x^8}{9}$.

Помогло решение? Оставьте отзыв в комментариях ниже.

Присоединяйтесь к Телеграм-группе @gdz_by_belarus

Присоединиться

Мы подготовили для вас ответ c подробным объяснением домашего задания по алгебре за 8 класс, для упражнения номер 1.132 расположенного на странице 43 к учебнику 2024 года издания для учащихся школ и гимназий.

Теперь на нашем сайте ГДЗ.ТОП вы всегда легко и бесплатно найдёте условие с правильным ответом на вопрос «Как решить ДЗ» и «Как сделать» задание по алгебре к упражнению №1.132 (с. 43), авторов: Арефьева (Ирина Глебовна), Пирютко (Ольга Николаевна), учебного пособия издательства Адукацыя i выхаванне.