Номер 1.151, страница 46 - гдз по алгебре 8 класс учебник Арефьева, Пирютко

Алгебра, 8 класс Учебник, авторы: Арефьева Ирина Глебовна, Пирютко Ольга Николаевна, издательство Адукацыя i выхаванне, Минск, 2024, бирюзового цвета

Авторы: Арефьева И. Г., Пирютко О. Н.

Тип: Учебник

Издательство: Адукацыя i выхаванне

Год издания: 2024 - 2025

Цвет обложки: бирюзовый с графиком

ISBN: ISBN 978-985-03-4081-8

Допущено Министерством образования Республики Беларусь

Популярные ГДЗ в 8 классе

Глава 1. Квадратные корни и их свойства. Действительные числа. Параграф 3. Свойства квадратных корней - номер 1.151, страница 46.

№1.151 (с. 46)
Условие. №1.151 (с. 46)
скриншот условия
Алгебра, 8 класс Учебник, авторы: Арефьева Ирина Глебовна, Пирютко Ольга Николаевна, издательство Адукацыя i выхаванне, Минск, 2024, бирюзового цвета, страница 46, номер 1.151, Условие

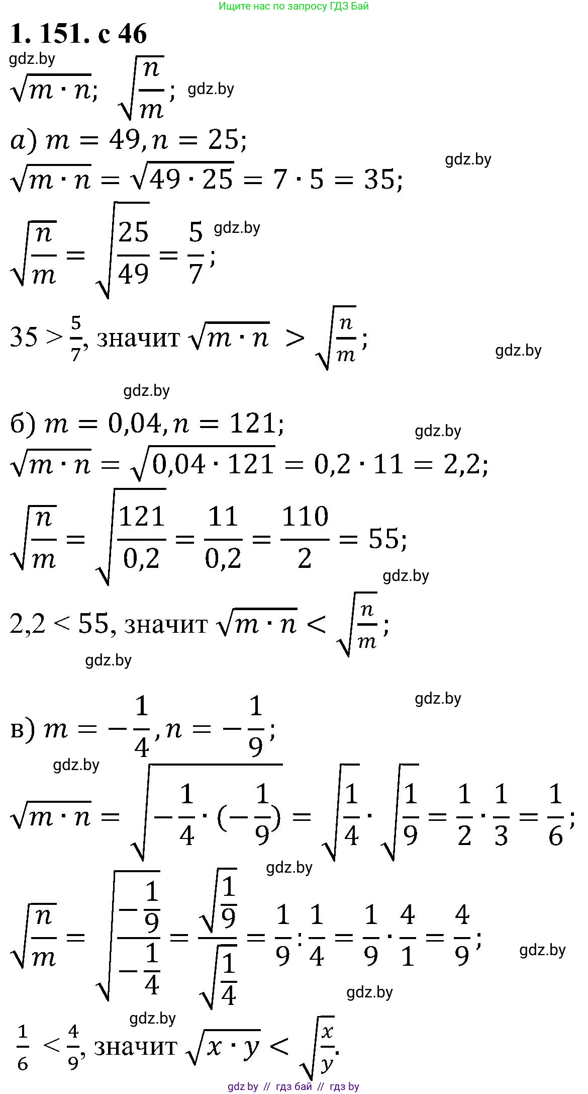
1.151. Сравните значения выражений $\sqrt{m \cdot n}$ и $\sqrt{\frac{n}{m}}$, если:

а) $m = 49, n = 25;$

б) $m = 0,04, n = 121;$

в) $m = -\frac{1}{4}, n = -\frac{1}{9}.$

Решение. №1.151 (с. 46)
Алгебра, 8 класс Учебник, авторы: Арефьева Ирина Глебовна, Пирютко Ольга Николаевна, издательство Адукацыя i выхаванне, Минск, 2024, бирюзового цвета, страница 46, номер 1.151, Решение
Решение 2. №1.151 (с. 46)

а) Подставим в выражения заданные значения $m = 49$ и $n = 25$.

1. Вычисляем значение первого выражения:

$\sqrt{m \cdot n} = \sqrt{49 \cdot 25} = \sqrt{49} \cdot \sqrt{25} = 7 \cdot 5 = 35$.

2. Вычисляем значение второго выражения:

$\sqrt{\frac{n}{m}} = \sqrt{\frac{25}{49}} = \frac{\sqrt{25}}{\sqrt{49}} = \frac{5}{7}$.

3. Сравниваем полученные результаты:

Так как целое число $35$ очевидно больше правильной дроби $\frac{5}{7}$, получаем $35 > \frac{5}{7}$.

Ответ: $\sqrt{m \cdot n} > \sqrt{\frac{n}{m}}$.

б) Подставим в выражения заданные значения $m = 0,04$ и $n = 121$.

1. Вычисляем значение первого выражения:

$\sqrt{m \cdot n} = \sqrt{0,04 \cdot 121} = \sqrt{0,04} \cdot \sqrt{121} = 0,2 \cdot 11 = 2,2$.

Чтобы выполнить требование о выделении целой части, представим результат в виде смешанного числа. Сначала переведем десятичную дробь в неправильную: $2,2 = \frac{22}{10} = \frac{11}{5}$. Теперь выделим целую часть: $\frac{11}{5} = \mathbf{2}\frac{1}{5}$.

2. Вычисляем значение второго выражения:

$\sqrt{\frac{n}{m}} = \sqrt{\frac{121}{0,04}} = \frac{\sqrt{121}}{\sqrt{0,04}} = \frac{11}{0,2} = \frac{110}{2} = 55$.

3. Сравниваем полученные результаты:

$\mathbf{2}\frac{1}{5} < 55$.

Ответ: $\sqrt{m \cdot n} < \sqrt{\frac{n}{m}}$.

в) Подставим в выражения заданные значения $m = -\frac{1}{4}$ и $n = -\frac{1}{9}$.

Поскольку $m$ и $n$ оба отрицательны, их произведение $m \cdot n$ и частное $\frac{n}{m}$ являются положительными числами. Это означает, что квадратные корни из этих выражений определены.

1. Вычисляем значение первого выражения:

$\sqrt{m \cdot n} = \sqrt{(-\frac{1}{4}) \cdot (-\frac{1}{9})} = \sqrt{\frac{1 \cdot 1}{4 \cdot 9}} = \sqrt{\frac{1}{36}} = \frac{1}{6}$.

2. Вычисляем значение второго выражения:

$\sqrt{\frac{n}{m}} = \sqrt{\frac{-1/9}{-1/4}} = \sqrt{\frac{1}{9} \div \frac{1}{4}} = \sqrt{\frac{1}{9} \cdot 4} = \sqrt{\frac{4}{9}} = \frac{2}{3}$.

3. Сравниваем полученные результаты: $\frac{1}{6}$ и $\frac{2}{3}$.

Для сравнения приведем дроби к общему знаменателю 6. Дробь $\frac{1}{6}$ уже имеет этот знаменатель. Преобразуем дробь $\frac{2}{3}$:
$\frac{2}{3} = \frac{2 \cdot 2}{3 \cdot 2} = \frac{4}{6}$.

Теперь сравним $\frac{1}{6}$ и $\frac{4}{6}$. Так как числитель первой дроби меньше числителя второй ($1 < 4$), то $\frac{1}{6} < \frac{4}{6}$, а значит $\frac{1}{6} < \frac{2}{3}$.

Ответ: $\sqrt{m \cdot n} < \sqrt{\frac{n}{m}}$.

Помогло решение? Оставьте отзыв в комментариях ниже.

Присоединяйтесь к Телеграм-группе @gdz_by_belarus

Присоединиться

Мы подготовили для вас ответ c подробным объяснением домашего задания по алгебре за 8 класс, для упражнения номер 1.151 расположенного на странице 46 к учебнику 2024 года издания для учащихся школ и гимназий.

Теперь на нашем сайте ГДЗ.ТОП вы всегда легко и бесплатно найдёте условие с правильным ответом на вопрос «Как решить ДЗ» и «Как сделать» задание по алгебре к упражнению №1.151 (с. 46), авторов: Арефьева (Ирина Глебовна), Пирютко (Ольга Николаевна), учебного пособия издательства Адукацыя i выхаванне.