Номер 1.218, страница 59 - гдз по алгебре 8 класс учебник Арефьева, Пирютко

Алгебра, 8 класс Учебник, авторы: Арефьева Ирина Глебовна, Пирютко Ольга Николаевна, издательство Адукацыя i выхаванне, Минск, 2024, бирюзового цвета

Авторы: Арефьева И. Г., Пирютко О. Н.

Тип: Учебник

Издательство: Адукацыя i выхаванне

Год издания: 2024 - 2025

Цвет обложки: бирюзовый с графиком

ISBN: ISBN 978-985-03-4081-8

Допущено Министерством образования Республики Беларусь

Популярные ГДЗ в 8 классе

Глава 1. Квадратные корни и их свойства. Действительные числа. Параграф 4. Применение свойств квадратных корней - номер 1.218, страница 59.

№1.218 (с. 59)
Условие. №1.218 (с. 59)
скриншот условия
Алгебра, 8 класс Учебник, авторы: Арефьева Ирина Глебовна, Пирютко Ольга Николаевна, издательство Адукацыя i выхаванне, Минск, 2024, бирюзового цвета, страница 59, номер 1.218, Условие

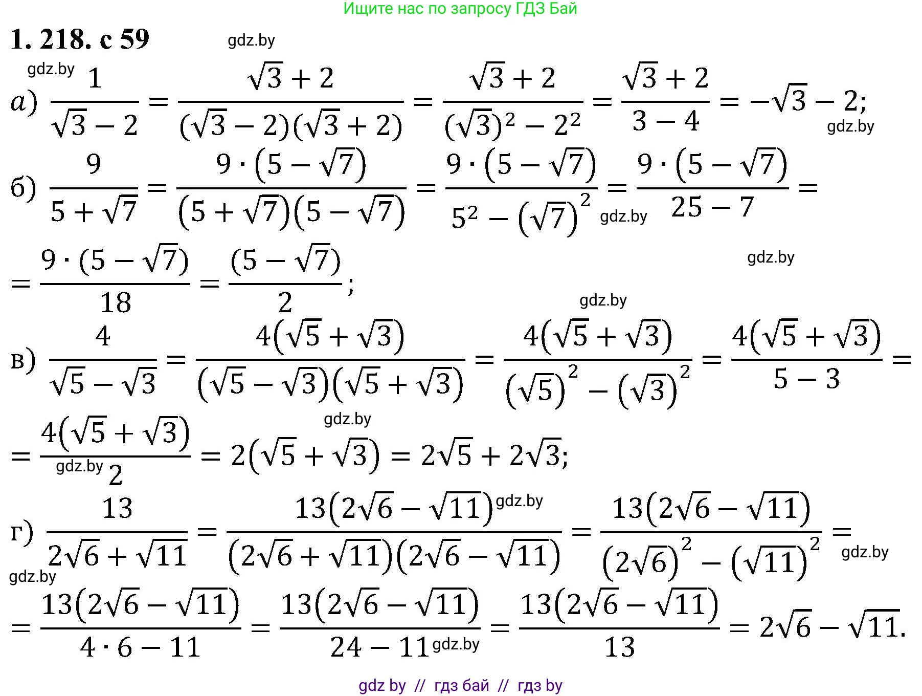
1.218. Избавьтесь от иррациональности в знаменателе дроби:

a) $\frac{1}{\sqrt{3}-2}$;

б) $\frac{9}{5+\sqrt{7}};

в) $\frac{4}{\sqrt{5}-\sqrt{3}};

г) $\frac{13}{2\sqrt{6}+\sqrt{11}}$.

Решение. №1.218 (с. 59)
Алгебра, 8 класс Учебник, авторы: Арефьева Ирина Глебовна, Пирютко Ольга Николаевна, издательство Адукацыя i выхаванне, Минск, 2024, бирюзового цвета, страница 59, номер 1.218, Решение
Решение 2. №1.218 (с. 59)

а) Чтобы избавиться от иррациональности в знаменателе дроби $ \frac{1}{\sqrt{3}-2} $, необходимо умножить числитель и знаменатель на выражение, сопряженное знаменателю. Сопряженным выражением к $ \sqrt{3}-2 $ является $ \sqrt{3}+2 $. Это делается для того, чтобы в знаменателе можно было применить формулу разности квадратов $ (a-b)(a+b) = a^2 - b^2 $, которая позволяет убрать корни.
Выполним умножение:
$ \frac{1}{\sqrt{3}-2} = \frac{1 \cdot (\sqrt{3}+2)}{(\sqrt{3}-2)(\sqrt{3}+2)} = \frac{\sqrt{3}+2}{(\sqrt{3})^2 - 2^2} = \frac{\sqrt{3}+2}{3-4} = \frac{\sqrt{3}+2}{-1} = -(\sqrt{3}+2) = -2 - \sqrt{3} $.
Ответ: $ -2 - \sqrt{3} $.

б) Для дроби $ \frac{9}{5+\sqrt{7}} $ сопряженным выражением к знаменателю $ 5+\sqrt{7} $ является $ 5-\sqrt{7} $. Умножим на него числитель и знаменатель:
$ \frac{9}{5+\sqrt{7}} = \frac{9 \cdot (5-\sqrt{7})}{(5+\sqrt{7})(5-\sqrt{7})} = \frac{9(5-\sqrt{7})}{5^2 - (\sqrt{7})^2} = \frac{9(5-\sqrt{7})}{25-7} = \frac{9(5-\sqrt{7})}{18} $.
Сократим дробь на 9:
$ \frac{9(5-\sqrt{7})}{18} = \frac{5-\sqrt{7}}{2} $.
Ответ: $ \frac{5-\sqrt{7}}{2} $.

в) В данном случае знаменатель равен $ \sqrt{5}-\sqrt{3} $. Сопряженное ему выражение — $ \sqrt{5}+\sqrt{3} $. Умножаем числитель и знаменатель на это выражение:
$ \frac{4}{\sqrt{5}-\sqrt{3}} = \frac{4 \cdot (\sqrt{5}+\sqrt{3})}{(\sqrt{5}-\sqrt{3})(\sqrt{5}+\sqrt{3})} = \frac{4(\sqrt{5}+\sqrt{3})}{(\sqrt{5})^2 - (\sqrt{3})^2} = \frac{4(\sqrt{5}+\sqrt{3})}{5-3} = \frac{4(\sqrt{5}+\sqrt{3})}{2} $.
Сокращаем дробь на 2:
$ 2(\sqrt{5}+\sqrt{3}) = 2\sqrt{5}+2\sqrt{3} $.
Ответ: $ 2\sqrt{5}+2\sqrt{3} $.

г) Для дроби $ \frac{13}{2\sqrt{6}+\sqrt{11}} $ сопряженным выражением к знаменателю $ 2\sqrt{6}+\sqrt{11} $ является $ 2\sqrt{6}-\sqrt{11} $. Произведем умножение:
$ \frac{13}{2\sqrt{6}+\sqrt{11}} = \frac{13 \cdot (2\sqrt{6}-\sqrt{11})}{(2\sqrt{6}+\sqrt{11})(2\sqrt{6}-\sqrt{11})} = \frac{13(2\sqrt{6}-\sqrt{11})}{(2\sqrt{6})^2 - (\sqrt{11})^2} $.
Вычислим знаменатель: $ (2\sqrt{6})^2 - (\sqrt{11})^2 = 4 \cdot 6 - 11 = 24 - 11 = 13 $.
Подставим значение в дробь и сократим:
$ \frac{13(2\sqrt{6}-\sqrt{11})}{13} = 2\sqrt{6}-\sqrt{11} $.
Ответ: $ 2\sqrt{6}-\sqrt{11} $.

Помогло решение? Оставьте отзыв в комментариях ниже.

Присоединяйтесь к Телеграм-группе @gdz_by_belarus

Присоединиться

Мы подготовили для вас ответ c подробным объяснением домашего задания по алгебре за 8 класс, для упражнения номер 1.218 расположенного на странице 59 к учебнику 2024 года издания для учащихся школ и гимназий.

Теперь на нашем сайте ГДЗ.ТОП вы всегда легко и бесплатно найдёте условие с правильным ответом на вопрос «Как решить ДЗ» и «Как сделать» задание по алгебре к упражнению №1.218 (с. 59), авторов: Арефьева (Ирина Глебовна), Пирютко (Ольга Николаевна), учебного пособия издательства Адукацыя i выхаванне.