Номер 1.230, страница 61 - гдз по алгебре 8 класс учебник Арефьева, Пирютко

Алгебра, 8 класс Учебник, авторы: Арефьева Ирина Глебовна, Пирютко Ольга Николаевна, издательство Адукацыя i выхаванне, Минск, 2024, бирюзового цвета

Авторы: Арефьева И. Г., Пирютко О. Н.

Тип: Учебник

Издательство: Адукацыя i выхаванне

Год издания: 2024 - 2025

Цвет обложки: бирюзовый с графиком

ISBN: ISBN 978-985-03-4081-8

Допущено Министерством образования Республики Беларусь

Популярные ГДЗ в 8 классе

Глава 1. Квадратные корни и их свойства. Действительные числа. Параграф 4. Применение свойств квадратных корней - номер 1.230, страница 61.

№1.230 (с. 61)
Условие. №1.230 (с. 61)
скриншот условия
Алгебра, 8 класс Учебник, авторы: Арефьева Ирина Глебовна, Пирютко Ольга Николаевна, издательство Адукацыя i выхаванне, Минск, 2024, бирюзового цвета, страница 61, номер 1.230, Условие

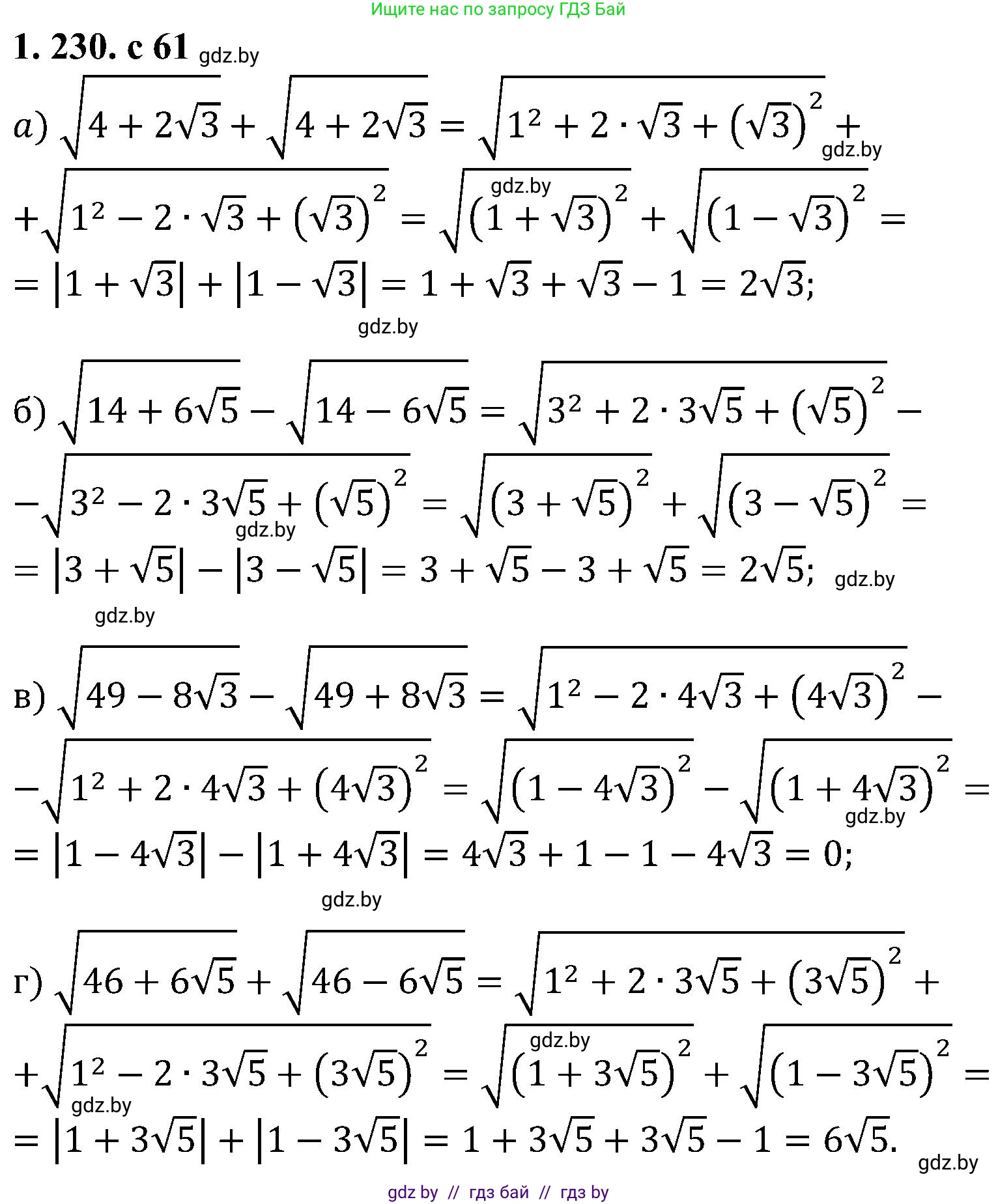
1.230. Найдите значение выражения:

а) $\sqrt{4 + 2\sqrt{3}} + \sqrt{4 - 2\sqrt{3}};$

б) $\sqrt{14 + 6\sqrt{5}} - \sqrt{14 - 6\sqrt{5}};$

в) $\sqrt{49 - 8\sqrt{3}} - \sqrt{49 + 8\sqrt{3}};$

г) $\sqrt{46 + 6\sqrt{5}} + \sqrt{46 - 6\sqrt{5}}.$

Решение. №1.230 (с. 61)
Алгебра, 8 класс Учебник, авторы: Арефьева Ирина Глебовна, Пирютко Ольга Николаевна, издательство Адукацыя i выхаванне, Минск, 2024, бирюзового цвета, страница 61, номер 1.230, Решение
Решение 2. №1.230 (с. 61)

Для решения данных задач воспользуемся формулой "сложного радикала" или методом выделения полного квадрата под корнем. Формула для выделения полного квадрата: $(a \pm b)^2 = a^2 \pm 2ab + b^2$. Мы будем стараться представить подкоренное выражение вида $X \pm Y$ как $(a \pm b)^2$.

а) $\sqrt{4+2\sqrt{3}} + \sqrt{4-2\sqrt{3}}$

Рассмотрим первое слагаемое $\sqrt{4+2\sqrt{3}}$.
Нам нужно найти такие $a$ и $b$, что $a^2+b^2=4$ и $2ab=2\sqrt{3}$, откуда $ab=\sqrt{3}$.
Легко подобрать, что $a=\sqrt{3}$ и $b=1$. Проверим: $a^2+b^2 = (\sqrt{3})^2+1^2 = 3+1=4$. Условие выполняется.
Следовательно, $4+2\sqrt{3} = (\sqrt{3})^2 + 2 \cdot \sqrt{3} \cdot 1 + 1^2 = (\sqrt{3}+1)^2$.
Тогда $\sqrt{4+2\sqrt{3}} = \sqrt{(\sqrt{3}+1)^2} = |\sqrt{3}+1| = \sqrt{3}+1$.

Рассмотрим второе слагаемое $\sqrt{4-2\sqrt{3}}$.
Аналогично, $4-2\sqrt{3} = (\sqrt{3})^2 - 2 \cdot \sqrt{3} \cdot 1 + 1^2 = (\sqrt{3}-1)^2$.
Тогда $\sqrt{4-2\sqrt{3}} = \sqrt{(\sqrt{3}-1)^2} = |\sqrt{3}-1| = \sqrt{3}-1$ (поскольку $\sqrt{3} \approx 1.732 > 1$).

Теперь сложим полученные результаты:
$(\sqrt{3}+1) + (\sqrt{3}-1) = \sqrt{3}+1+\sqrt{3}-1 = 2\sqrt{3}$.

Ответ: $2\sqrt{3}$.

б) $\sqrt{14+6\sqrt{5}} - \sqrt{14-6\sqrt{5}}$

Упростим первое подкоренное выражение $14+6\sqrt{5} = 14+2 \cdot 3\sqrt{5}$.
Ищем $a$ и $b$, для которых $a^2+b^2=14$ и $ab=3\sqrt{5}$.
Подходят значения $a=3$ и $b=\sqrt{5}$. Проверим: $a^2+b^2=3^2+(\sqrt{5})^2=9+5=14$.
Значит, $14+6\sqrt{5} = 3^2 + 2 \cdot 3 \cdot \sqrt{5} + (\sqrt{5})^2 = (3+\sqrt{5})^2$.
Отсюда $\sqrt{14+6\sqrt{5}} = \sqrt{(3+\sqrt{5})^2} = |3+\sqrt{5}| = 3+\sqrt{5}$.

Аналогично для второго выражения $14-6\sqrt{5}$:
$14-6\sqrt{5} = (3-\sqrt{5})^2$.
Тогда $\sqrt{14-6\sqrt{5}} = \sqrt{(3-\sqrt{5})^2} = |3-\sqrt{5}| = 3-\sqrt{5}$ (поскольку $3=\sqrt{9}$, а $\sqrt{9}>\sqrt{5}$).

Вычислим разность:
$(3+\sqrt{5}) - (3-\sqrt{5}) = 3+\sqrt{5}-3+\sqrt{5} = 2\sqrt{5}$.

Ответ: $2\sqrt{5}$.

в) $\sqrt{49-8\sqrt{3}} - \sqrt{49+8\sqrt{3}}$

Преобразуем первое подкоренное выражение $49-8\sqrt{3} = 49-2 \cdot 4\sqrt{3}$.
Ищем $a$ и $b$, для которых $a^2+b^2=49$ и $ab=4\sqrt{3}$.
Попробуем $a=4\sqrt{3}$ и $b=1$. Проверим: $a^2+b^2=(4\sqrt{3})^2+1^2=16 \cdot 3+1 = 48+1=49$. Подходит.
Значит, $49-8\sqrt{3} = (4\sqrt{3}-1)^2$.
Отсюда $\sqrt{49-8\sqrt{3}} = \sqrt{(4\sqrt{3}-1)^2} = |4\sqrt{3}-1| = 4\sqrt{3}-1$ (поскольку $4\sqrt{3}=\sqrt{48}$, а $\sqrt{48}>1$).

Аналогично для второго выражения $49+8\sqrt{3}$:
$49+8\sqrt{3} = (4\sqrt{3}+1)^2$.
Тогда $\sqrt{49+8\sqrt{3}} = \sqrt{(4\sqrt{3}+1)^2} = |4\sqrt{3}+1| = 4\sqrt{3}+1$.

Вычислим разность:
$(4\sqrt{3}-1) - (4\sqrt{3}+1) = 4\sqrt{3}-1-4\sqrt{3}-1 = -2$.

Ответ: -2.

г) $\sqrt{46+6\sqrt{5}} + \sqrt{46-6\sqrt{5}}$

Упростим первое подкоренное выражение $46+6\sqrt{5} = 46+2 \cdot 3\sqrt{5}$.
Ищем $a$ и $b$, для которых $a^2+b^2=46$ и $ab=3\sqrt{5}$.
Попробуем $a=3\sqrt{5}$ и $b=1$. Проверим: $a^2+b^2=(3\sqrt{5})^2+1^2=9 \cdot 5+1=45+1=46$. Подходит.
Значит, $46+6\sqrt{5} = (3\sqrt{5}+1)^2$.
Отсюда $\sqrt{46+6\sqrt{5}} = \sqrt{(3\sqrt{5}+1)^2} = |3\sqrt{5}+1| = 3\sqrt{5}+1$.

Аналогично для второго выражения $46-6\sqrt{5}$:
$46-6\sqrt{5} = (3\sqrt{5}-1)^2$.
Тогда $\sqrt{46-6\sqrt{5}} = \sqrt{(3\sqrt{5}-1)^2} = |3\sqrt{5}-1| = 3\sqrt{5}-1$ (поскольку $3\sqrt{5}=\sqrt{45}$, а $\sqrt{45}>1$).

Вычислим сумму:
$(3\sqrt{5}+1) + (3\sqrt{5}-1) = 3\sqrt{5}+1+3\sqrt{5}-1 = 6\sqrt{5}$.

Ответ: $6\sqrt{5}$.

Помогло решение? Оставьте отзыв в комментариях ниже.

Присоединяйтесь к Телеграм-группе @gdz_by_belarus

Присоединиться

Мы подготовили для вас ответ c подробным объяснением домашего задания по алгебре за 8 класс, для упражнения номер 1.230 расположенного на странице 61 к учебнику 2024 года издания для учащихся школ и гимназий.

Теперь на нашем сайте ГДЗ.ТОП вы всегда легко и бесплатно найдёте условие с правильным ответом на вопрос «Как решить ДЗ» и «Как сделать» задание по алгебре к упражнению №1.230 (с. 61), авторов: Арефьева (Ирина Глебовна), Пирютко (Ольга Николаевна), учебного пособия издательства Адукацыя i выхаванне.