Номер 1.263, страница 64 - гдз по алгебре 8 класс учебник Арефьева, Пирютко
Авторы: Арефьева И. Г., Пирютко О. Н.
Тип: Учебник
Издательство: Адукацыя i выхаванне
Год издания: 2024 - 2025
Цвет обложки: бирюзовый с графиком
ISBN: ISBN 978-985-03-4081-8
Допущено Министерством образования Республики Беларусь
Популярные ГДЗ в 8 классе
Глава 1. Квадратные корни и их свойства. Действительные числа. Параграф 4. Применение свойств квадратных корней - номер 1.263, страница 64.
№1.263 (с. 64)
Условие. №1.263 (с. 64)
скриншот условия
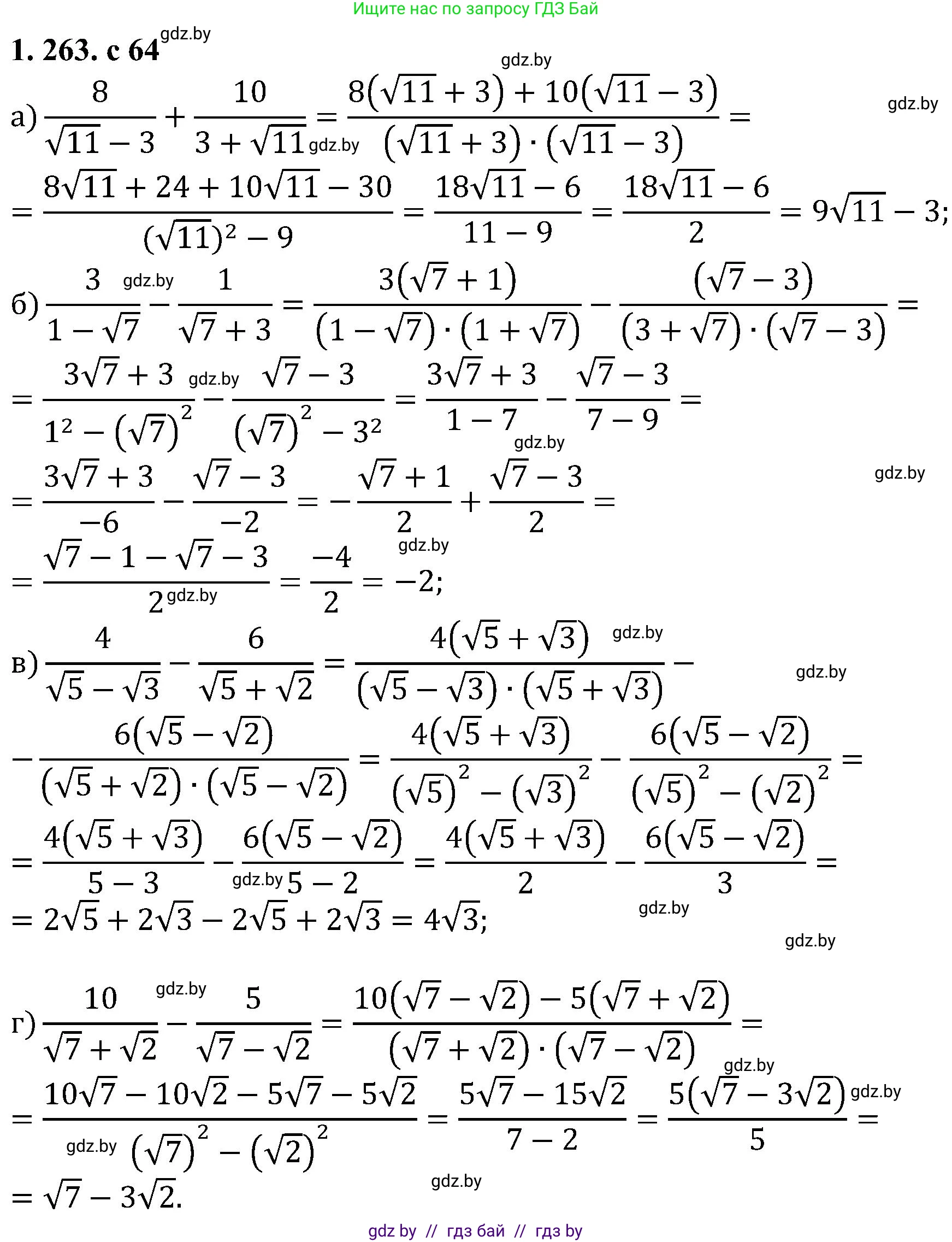
1.263. Найдите значение выражения:
а) $ \frac{8}{\sqrt{11}-3} + \frac{10}{3+\sqrt{11}} $;
б) $ \frac{3}{1-\sqrt{7}} - \frac{1}{\sqrt{7}+3} $;
в) $ \frac{4}{\sqrt{5}-\sqrt{3}} - \frac{6}{\sqrt{5}+\sqrt{2}} $;
г) $ \frac{10}{\sqrt{7}+\sqrt{2}} - \frac{5}{\sqrt{7}-\sqrt{2}} $.
Решение. №1.263 (с. 64)
Решение 2. №1.263 (с. 64)
а)Для того чтобы найти значение выражения, мы приведем дроби к общему знаменателю. Знаменатели $\sqrt{11}-3$ и $3+\sqrt{11}$ (что то же самое, что и $\sqrt{11}+3$) являются сопряженными выражениями.
Выражение: $\frac{8}{\sqrt{11}-3} + \frac{10}{3+\sqrt{11}}$
Общий знаменатель равен произведению знаменателей:$(\sqrt{11}-3)(3+\sqrt{11}) = (\sqrt{11}-3)(\sqrt{11}+3) = (\sqrt{11})^2 - 3^2 = 11-9 = 2$.
Приведем дроби к общему знаменателю и выполним сложение:
$\frac{8(3+\sqrt{11}) + 10(\sqrt{11}-3)}{(\sqrt{11}-3)(3+\sqrt{11})} = \frac{24 + 8\sqrt{11} + 10\sqrt{11} - 30}{2} = \frac{18\sqrt{11} - 6}{2} = 9\sqrt{11} - 3$.
Ответ: $9\sqrt{11} - 3$.
б)Чтобы найти значение выражения, упростим каждую дробь отдельно, избавившись от иррациональности в знаменателе. Для этого умножим числитель и знаменатель каждой дроби на выражение, сопряженное ее знаменателю.
Выражение: $\frac{3}{1-\sqrt{7}} - \frac{1}{\sqrt{7}+3}$
Упростим первую дробь. Сопряженное к $1-\sqrt{7}$ есть $1+\sqrt{7}$:$\frac{3}{1-\sqrt{7}} = \frac{3(1+\sqrt{7})}{(1-\sqrt{7})(1+\sqrt{7})} = \frac{3(1+\sqrt{7})}{1^2 - (\sqrt{7})^2} = \frac{3(1+\sqrt{7})}{1-7} = \frac{3(1+\sqrt{7})}{-6} = -\frac{1+\sqrt{7}}{2}$.
Упростим вторую дробь. Сопряженное к $\sqrt{7}+3$ есть $\sqrt{7}-3$:$\frac{1}{\sqrt{7}+3} = \frac{1(\sqrt{7}-3)}{(\sqrt{7}+3)(\sqrt{7}-3)} = \frac{\sqrt{7}-3}{(\sqrt{7})^2 - 3^2} = \frac{\sqrt{7}-3}{7-9} = \frac{\sqrt{7}-3}{-2} = \frac{3-\sqrt{7}}{2}$.
Теперь выполним вычитание полученных выражений:$-\frac{1+\sqrt{7}}{2} - \frac{3-\sqrt{7}}{2} = \frac{-(1+\sqrt{7}) - (3-\sqrt{7})}{2} = \frac{-1-\sqrt{7}-3+\sqrt{7}}{2} = \frac{-4}{2} = -2$.
Ответ: -2.
в)Упростим каждую дробь отдельно, избавившись от иррациональности в знаменателе.
Выражение: $\frac{4}{\sqrt{5}-\sqrt{3}} - \frac{6}{\sqrt{5}+\sqrt{2}}$
Упростим первую дробь. Сопряженное к $\sqrt{5}-\sqrt{3}$ есть $\sqrt{5}+\sqrt{3}$:$\frac{4}{\sqrt{5}-\sqrt{3}} = \frac{4(\sqrt{5}+\sqrt{3})}{(\sqrt{5}-\sqrt{3})(\sqrt{5}+\sqrt{3})} = \frac{4(\sqrt{5}+\sqrt{3})}{5-3} = \frac{4(\sqrt{5}+\sqrt{3})}{2} = 2(\sqrt{5}+\sqrt{3}) = 2\sqrt{5}+2\sqrt{3}$.
Упростим вторую дробь. Сопряженное к $\sqrt{5}+\sqrt{2}$ есть $\sqrt{5}-\sqrt{2}$:$\frac{6}{\sqrt{5}+\sqrt{2}} = \frac{6(\sqrt{5}-\sqrt{2})}{(\sqrt{5}+\sqrt{2})(\sqrt{5}-\sqrt{2})} = \frac{6(\sqrt{5}-\sqrt{2})}{5-2} = \frac{6(\sqrt{5}-\sqrt{2})}{3} = 2(\sqrt{5}-\sqrt{2}) = 2\sqrt{5}-2\sqrt{2}$.
Выполним вычитание:$(2\sqrt{5}+2\sqrt{3}) - (2\sqrt{5}-2\sqrt{2}) = 2\sqrt{5}+2\sqrt{3} - 2\sqrt{5}+2\sqrt{2} = 2\sqrt{3}+2\sqrt{2}$.
Ответ: $2\sqrt{3}+2\sqrt{2}$.
г)Знаменатели дробей $\sqrt{7}+\sqrt{2}$ и $\sqrt{7}-\sqrt{2}$ являются сопряженными выражениями. Приведем дроби к общему знаменателю.
Выражение: $\frac{10}{\sqrt{7}+\sqrt{2}} - \frac{5}{\sqrt{7}-\sqrt{2}}$
Общий знаменатель: $(\sqrt{7}+\sqrt{2})(\sqrt{7}-\sqrt{2}) = (\sqrt{7})^2 - (\sqrt{2})^2 = 7-2=5$.
Приведем дроби к общему знаменателю и выполним вычитание:$\frac{10(\sqrt{7}-\sqrt{2}) - 5(\sqrt{7}+\sqrt{2})}{5} = \frac{10\sqrt{7}-10\sqrt{2} - 5\sqrt{7}-5\sqrt{2}}{5} = \frac{(10\sqrt{7}-5\sqrt{7}) + (-10\sqrt{2}-5\sqrt{2})}{5} = \frac{5\sqrt{7}-15\sqrt{2}}{5} = \sqrt{7}-3\sqrt{2}$.
Ответ: $\sqrt{7}-3\sqrt{2}$.
Другие задания:
Помогло решение? Оставьте отзыв в комментариях ниже.
Присоединяйтесь к Телеграм-группе @gdz_by_belarus
ПрисоединитьсяМы подготовили для вас ответ c подробным объяснением домашего задания по алгебре за 8 класс, для упражнения номер 1.263 расположенного на странице 64 к учебнику 2024 года издания для учащихся школ и гимназий.
Теперь на нашем сайте ГДЗ.ТОП вы всегда легко и бесплатно найдёте условие с правильным ответом на вопрос «Как решить ДЗ» и «Как сделать» задание по алгебре к упражнению №1.263 (с. 64), авторов: Арефьева (Ирина Глебовна), Пирютко (Ольга Николаевна), учебного пособия издательства Адукацыя i выхаванне.