Номер 1.259, страница 64 - гдз по алгебре 8 класс учебник Арефьева, Пирютко

Алгебра, 8 класс Учебник, авторы: Арефьева Ирина Глебовна, Пирютко Ольга Николаевна, издательство Адукацыя i выхаванне, Минск, 2024, бирюзового цвета

Авторы: Арефьева И. Г., Пирютко О. Н.

Тип: Учебник

Издательство: Адукацыя i выхаванне

Год издания: 2024 - 2025

Цвет обложки: бирюзовый с графиком

ISBN: ISBN 978-985-03-4081-8

Допущено Министерством образования Республики Беларусь

Популярные ГДЗ в 8 классе

Глава 1. Квадратные корни и их свойства. Действительные числа. Параграф 4. Применение свойств квадратных корней - номер 1.259, страница 64.

№1.259 (с. 64)
Условие. №1.259 (с. 64)
скриншот условия
Алгебра, 8 класс Учебник, авторы: Арефьева Ирина Глебовна, Пирютко Ольга Николаевна, издательство Адукацыя i выхаванне, Минск, 2024, бирюзового цвета, страница 64, номер 1.259, Условие

1.259. Вычислите:

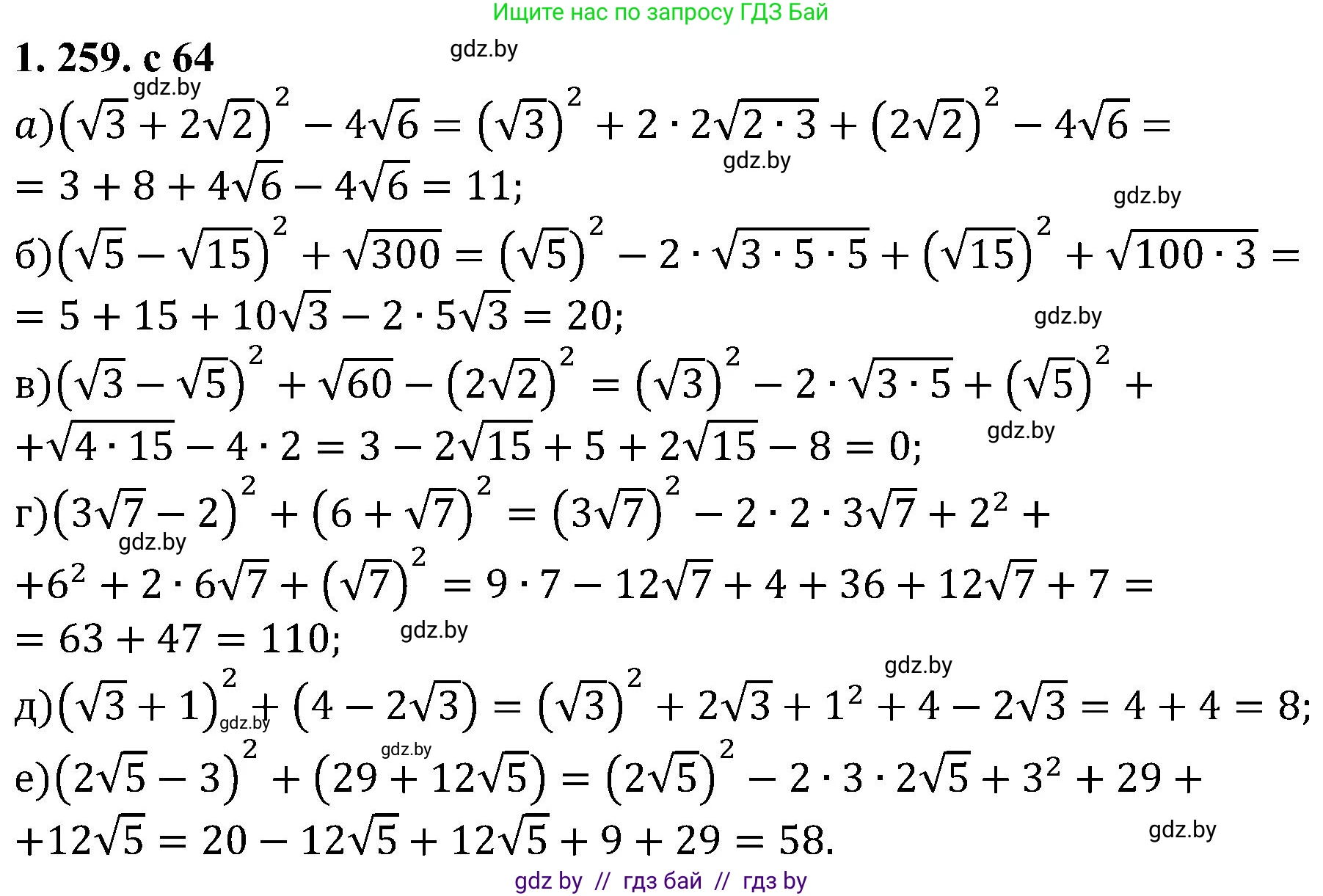
а) $(\sqrt{3} + 2\sqrt{2})^2 - 4\sqrt{6};$

б) $(\sqrt{5} - \sqrt{15})^2 + \sqrt{300};$

в) $(\sqrt{3} - \sqrt{5})^2 + \sqrt{60} - (2\sqrt{2})^2;$

г) $(3\sqrt{7} - 2)^2 + (6 + \sqrt{7})^2;$

д) $(\sqrt{3} + 1)^2 (4 - 2\sqrt{3});$

е) $(2\sqrt{5} - 3)^2 (29 + 12\sqrt{5}).$

Решение. №1.259 (с. 64)
Алгебра, 8 класс Учебник, авторы: Арефьева Ирина Глебовна, Пирютко Ольга Николаевна, издательство Адукацыя i выхаванне, Минск, 2024, бирюзового цвета, страница 64, номер 1.259, Решение
Решение 2. №1.259 (с. 64)

а) Для вычисления $(\sqrt{3} + 2\sqrt{2})^2 - 4\sqrt{6}$ сначала раскроем скобки, используя формулу квадрата суммы $(a+b)^2 = a^2+2ab+b^2$, где $a=\sqrt{3}$ и $b=2\sqrt{2}$.
$(\sqrt{3} + 2\sqrt{2})^2 = (\sqrt{3})^2 + 2 \cdot \sqrt{3} \cdot 2\sqrt{2} + (2\sqrt{2})^2 = 3 + 4\sqrt{3 \cdot 2} + (4 \cdot 2) = 3 + 4\sqrt{6} + 8 = 11 + 4\sqrt{6}$.
Теперь подставим полученный результат в исходное выражение:
$(11 + 4\sqrt{6}) - 4\sqrt{6} = 11 + 4\sqrt{6} - 4\sqrt{6} = 11$.
Ответ: 11

б) Для вычисления $(\sqrt{5} - \sqrt{15})^2 + \sqrt{300}$ раскроем скобки по формуле квадрата разности $(a-b)^2 = a^2-2ab+b^2$, где $a=\sqrt{5}$ и $b=\sqrt{15}$.
$(\sqrt{5} - \sqrt{15})^2 = (\sqrt{5})^2 - 2 \cdot \sqrt{5} \cdot \sqrt{15} + (\sqrt{15})^2 = 5 - 2\sqrt{75} + 15 = 20 - 2\sqrt{25 \cdot 3} = 20 - 2 \cdot 5\sqrt{3} = 20 - 10\sqrt{3}$.
Упростим второй член выражения: $\sqrt{300} = \sqrt{100 \cdot 3} = 10\sqrt{3}$.
Подставим все в исходное выражение:
$(20 - 10\sqrt{3}) + 10\sqrt{3} = 20 - 10\sqrt{3} + 10\sqrt{3} = 20$.
Ответ: 20

в) Вычислим по частям выражение $(\sqrt{3} - \sqrt{5})^2 + \sqrt{60} - (2\sqrt{2})^2$.
1. Раскроем первую скобку по формуле квадрата разности: $(\sqrt{3} - \sqrt{5})^2 = (\sqrt{3})^2 - 2\sqrt{3}\sqrt{5} + (\sqrt{5})^2 = 3 - 2\sqrt{15} + 5 = 8 - 2\sqrt{15}$.
2. Упростим корень: $\sqrt{60} = \sqrt{4 \cdot 15} = 2\sqrt{15}$.
3. Возведем в квадрат: $(2\sqrt{2})^2 = 2^2 \cdot (\sqrt{2})^2 = 4 \cdot 2 = 8$.
4. Соберем все части вместе: $(8 - 2\sqrt{15}) + 2\sqrt{15} - 8 = 8 - 8 - 2\sqrt{15} + 2\sqrt{15} = 0$.
Ответ: 0

г) Для вычисления $(3\sqrt{7} - 2)^2 + (6 + \sqrt{7})^2$ раскроем обе скобки по формулам квадрата разности и квадрата суммы.
1. $(3\sqrt{7} - 2)^2 = (3\sqrt{7})^2 - 2 \cdot 3\sqrt{7} \cdot 2 + 2^2 = 9 \cdot 7 - 12\sqrt{7} + 4 = 63 - 12\sqrt{7} + 4 = 67 - 12\sqrt{7}$.
2. $(6 + \sqrt{7})^2 = 6^2 + 2 \cdot 6 \cdot \sqrt{7} + (\sqrt{7})^2 = 36 + 12\sqrt{7} + 7 = 43 + 12\sqrt{7}$.
3. Сложим полученные результаты: $(67 - 12\sqrt{7}) + (43 + 12\sqrt{7}) = 67 + 43 - 12\sqrt{7} + 12\sqrt{7} = 110$.
Ответ: 110

д) В выражении $(\sqrt{3} + 1)^2 (4 - 2\sqrt{3})$ сначала раскроем скобку с квадратом.
$(\sqrt{3} + 1)^2 = (\sqrt{3})^2 + 2\sqrt{3} \cdot 1 + 1^2 = 3 + 2\sqrt{3} + 1 = 4 + 2\sqrt{3}$.
Теперь умножим результат на вторую скобку: $(4 + 2\sqrt{3})(4 - 2\sqrt{3})$.
Это формула разности квадратов $(a+b)(a-b)=a^2-b^2$, где $a=4$ и $b=2\sqrt{3}$.
$4^2 - (2\sqrt{3})^2 = 16 - (2^2 \cdot (\sqrt{3})^2) = 16 - (4 \cdot 3) = 16 - 12 = 4$.
Ответ: 4

е) В выражении $(2\sqrt{5} - 3)^2 (29 + 12\sqrt{5})$ сначала раскроем скобку с квадратом.
$(2\sqrt{5} - 3)^2 = (2\sqrt{5})^2 - 2 \cdot 2\sqrt{5} \cdot 3 + 3^2 = 4 \cdot 5 - 12\sqrt{5} + 9 = 20 - 12\sqrt{5} + 9 = 29 - 12\sqrt{5}$.
Теперь умножим результат на вторую скобку: $(29 - 12\sqrt{5})(29 + 12\sqrt{5})$.
Это формула разности квадратов $(a-b)(a+b)=a^2-b^2$, где $a=29$ и $b=12\sqrt{5}$.
$29^2 - (12\sqrt{5})^2 = 841 - (12^2 \cdot (\sqrt{5})^2) = 841 - (144 \cdot 5) = 841 - 720 = 121$.
Ответ: 121

Помогло решение? Оставьте отзыв в комментариях ниже.

Присоединяйтесь к Телеграм-группе @gdz_by_belarus

Присоединиться

Мы подготовили для вас ответ c подробным объяснением домашего задания по алгебре за 8 класс, для упражнения номер 1.259 расположенного на странице 64 к учебнику 2024 года издания для учащихся школ и гимназий.

Теперь на нашем сайте ГДЗ.ТОП вы всегда легко и бесплатно найдёте условие с правильным ответом на вопрос «Как решить ДЗ» и «Как сделать» задание по алгебре к упражнению №1.259 (с. 64), авторов: Арефьева (Ирина Глебовна), Пирютко (Ольга Николаевна), учебного пособия издательства Адукацыя i выхаванне.