Номер 35, страница 251 - гдз по алгебре 8 класс учебник Арефьева, Пирютко
Авторы: Арефьева И. Г., Пирютко О. Н.
Тип: Учебник
Издательство: Адукацыя i выхаванне
Год издания: 2024 - 2025
Цвет обложки: бирюзовый с графиком
ISBN: ISBN 978-985-03-4081-8
Допущено Министерством образования Республики Беларусь
Популярные ГДЗ в 8 классе
Повторение курса алгебры 8-го класса. Квадратичная функция - номер 35, страница 251.
№35 (с. 251)
Условие. №35 (с. 251)
скриншот условия
35. Решите неравенство, используя свойства квадратичной функции:
а) $x^2 - 2x - 15 \geq 0;$
б) $3x^2 - 4x + 7 < 0;$
в) $4x^2 - 4x - 15 \leq 0;$
г) $x^2 - 8x + 16 \leq 0;$
д) $x^2 + 4x + 5 > 0;$
е) $x^2 + 10x - 24 < 0;$
ж) $x^2 \leq 36;$
з) $5x^2 + x > 0;$
и) $-4x^2 + 1 \leq 0;$
к) $8x^2 \geq 16.$
Решение. №35 (с. 251)
Решение 2. №35 (с. 251)
Для решения квадратичных неравенств используется метод интервалов, основанный на свойствах квадратичной функции $y = ax^2 + bx + c$. Общий алгоритм заключается в следующем:
- Рассматривается соответствующая квадратичная функция и определяется направление ветвей ее графика (параболы).
- Находятся нули функции (точки пересечения с осью абсцисс) путем решения квадратного уравнения $ax^2 + bx + c = 0$.
- Схематически изображается парабола на координатной прямой, отмечаются ее нули.
- На основе знака неравенства и расположения параболы определяются промежутки, являющиеся решением.
1. Рассмотрим соответствующую квадратичную функцию $y = x^2 - 2x - 15$. Графиком является парабола, ветви которой направлены вверх, так как коэффициент при $x^2$ равен $1$ ($a=1 > 0$).
2. Найдем нули функции, решив уравнение $x^2 - 2x - 15 = 0$.
С помощью дискриминанта: $D = b^2 - 4ac = (-2)^2 - 4 \cdot 1 \cdot (-15) = 4 + 60 = 64$.
Корни уравнения: $x_{1,2} = \frac{-b \pm \sqrt{D}}{2a} = \frac{2 \pm \sqrt{64}}{2} = \frac{2 \pm 8}{2}$.
$x_1 = \frac{2+8}{2} = 5$.
$x_2 = \frac{2-8}{2} = -3$.
3. Парабола пересекает ось Ox в точках $x=-3$ и $x=5$. Поскольку ветви направлены вверх, функция принимает неотрицательные значения ($y \ge 0$) на промежутках левее меньшего корня и правее большего корня, включая сами корни.
Ответ: $x \in (-\infty; -3] \cup [5; +\infty)$.
б) $3x^2 - 4x + 7 < 0$1. Рассмотрим функцию $y = 3x^2 - 4x + 7$. Ветви параболы направлены вверх ($a=3 > 0$).
2. Найдем нули функции, решив уравнение $3x^2 - 4x + 7 = 0$.
$D = b^2 - 4ac = (-4)^2 - 4 \cdot 3 \cdot 7 = 16 - 84 = -68$.
3. Так как дискриминант $D < 0$, уравнение не имеет действительных корней, и парабола не пересекает ось Ox. Поскольку ветви направлены вверх, вся парабола находится выше оси Ox. Это означает, что $y > 0$ для любого значения $x$.
4. Неравенство $3x^2 - 4x + 7 < 0$ требует найти значения $x$, при которых функция отрицательна. Таких значений нет.
Ответ: решений нет ($x \in \emptyset$).
в) $4x^2 - 4x - 15 \le 0$1. Рассмотрим функцию $y = 4x^2 - 4x - 15$. Ветви параболы направлены вверх ($a=4 > 0$).
2. Найдем нули функции, решив уравнение $4x^2 - 4x - 15 = 0$.
$D = b^2 - 4ac = (-4)^2 - 4 \cdot 4 \cdot (-15) = 16 + 240 = 256$.
$x_{1,2} = \frac{-b \pm \sqrt{D}}{2a} = \frac{4 \pm \sqrt{256}}{8} = \frac{4 \pm 16}{8}$.
$x_1 = \frac{4+16}{8} = \frac{20}{8} = \frac{5}{2} = 2\frac{1}{2}$.
$x_2 = \frac{4-16}{8} = \frac{-12}{8} = -\frac{3}{2} = -1\frac{1}{2}$.
3. Парабола пересекает ось Ox в точках $x = -1\frac{1}{2}$ и $x = 2\frac{1}{2}$. Так как ветви направлены вверх, функция принимает неположительные значения ($y \le 0$) на промежутке между корнями, включая сами корни.
Ответ: $x \in \left[-\mathbf{1}\frac{1}{2}; \mathbf{2}\frac{1}{2}\right]$.
г) $x^2 - 8x + 16 \le 0$1. Рассмотрим функцию $y = x^2 - 8x + 16$. Выражение в левой части является полным квадратом: $(x-4)^2$.
2. Неравенство можно переписать в виде $(x-4)^2 \le 0$.
3. Функция $y = (x-4)^2$ представляет собой параболу с ветвями вверх, вершина которой находится в точке $(4, 0)$ и касается оси Ox. Значение функции всегда неотрицательно ($y \ge 0$).
4. Условие $y \le 0$ выполняется только в одном случае: когда $y=0$. Это происходит при $x-4=0$, то есть $x=4$.
Ответ: $x = 4$.
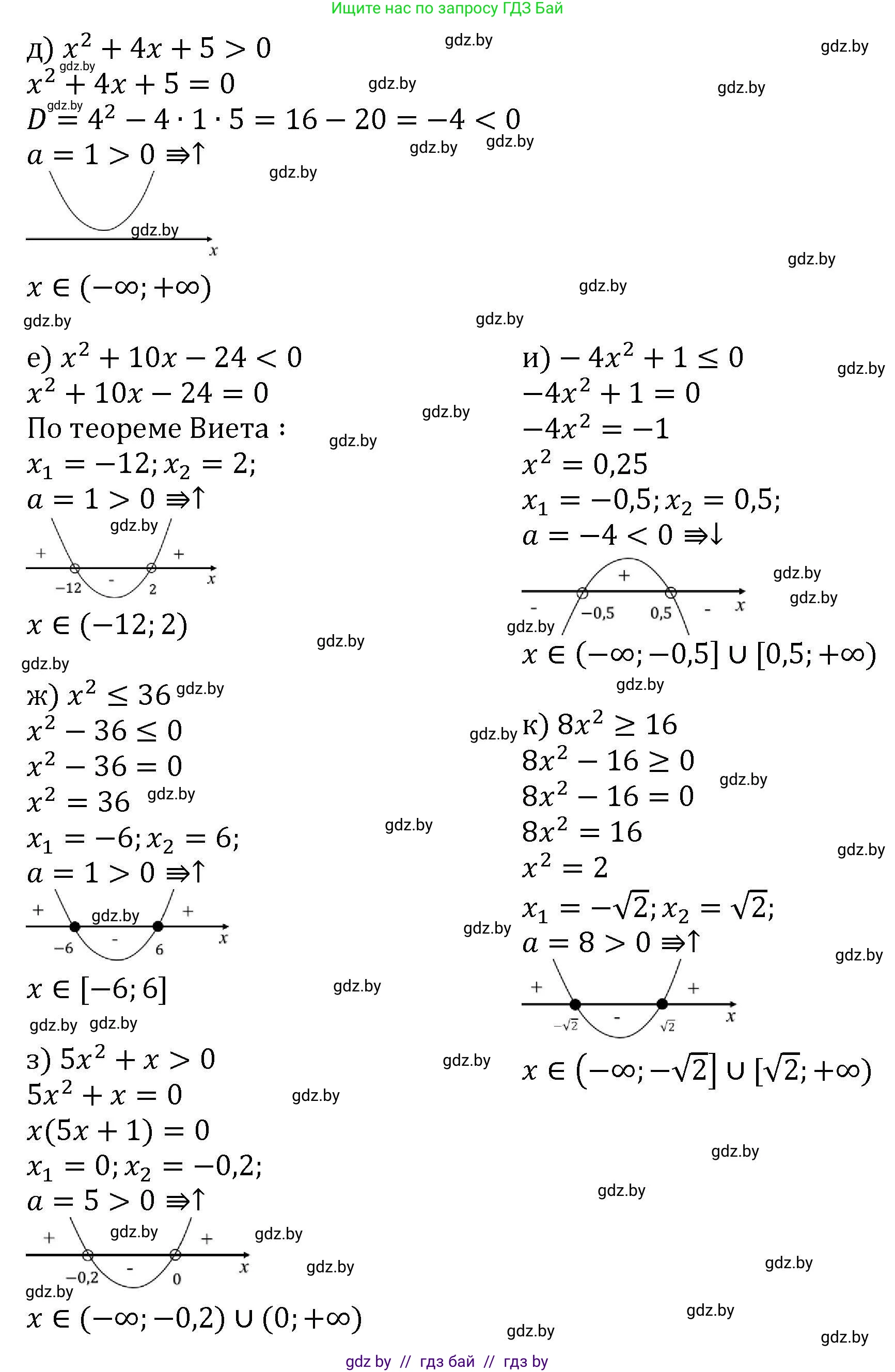
д) $x^2 + 4x + 5 > 0$1. Рассмотрим функцию $y = x^2 + 4x + 5$. Ветви параболы направлены вверх ($a=1 > 0$).
2. Найдем нули функции: $x^2 + 4x + 5 = 0$.
$D = b^2 - 4ac = 4^2 - 4 \cdot 1 \cdot 5 = 16 - 20 = -4$.
3. Так как $D < 0$, у параболы нет точек пересечения с осью Ox. Поскольку ветви направлены вверх, вся парабола расположена выше оси Ox, и, следовательно, $y > 0$ при всех действительных $x$.
Ответ: $x \in (-\infty; +\infty)$.
е) $x^2 + 10x - 24 < 0$1. Рассмотрим функцию $y = x^2 + 10x - 24$. Ветви параболы направлены вверх ($a=1 > 0$).
2. Найдем нули функции: $x^2 + 10x - 24 = 0$.
По теореме Виета, корни $x_1 = 2$ и $x_2 = -12$. (Проверка: $2 + (-12) = -10$, $2 \cdot (-12) = -24$).
3. Парабола пересекает ось Ox в точках $x=-12$ и $x=2$. Так как ветви направлены вверх, функция принимает отрицательные значения ($y < 0$) на интервале между корнями.
Ответ: $x \in (-12; 2)$.
ж) $x^2 \le 36$1. Перенесем 36 в левую часть: $x^2 - 36 \le 0$.
2. Рассмотрим функцию $y = x^2 - 36$. Это парабола с ветвями вверх ($a=1 > 0$).
3. Найдем нули функции: $x^2 - 36 = 0 \implies (x-6)(x+6) = 0$. Корни: $x_1=6$, $x_2=-6$.
4. Парабола пересекает ось Ox в точках $x=-6$ и $x=6$. Неположительные значения ($y \le 0$) функция принимает на отрезке между корнями.
Ответ: $x \in [-6; 6]$.
з) $5x^2 + x > 0$1. Рассмотрим функцию $y = 5x^2 + x$. Ветви параболы направлены вверх ($a=5 > 0$).
2. Найдем нули функции: $5x^2 + x = 0 \implies x(5x+1) = 0$. Корни: $x_1=0$, $x_2 = -1/5$.
3. Парабола пересекает ось Ox в точках $x=-1/5$ и $x=0$. Положительные значения ($y > 0$) функция принимает на интервалах вне отрезка между корнями.
Ответ: $x \in (-\infty; -1/5) \cup (0; +\infty)$.
и) $-4x^2 + 1 \le 0$1. Рассмотрим функцию $y = -4x^2 + 1$. Ветви параболы направлены вниз ($a=-4 < 0$).
2. Найдем нули функции: $-4x^2 + 1 = 0 \implies 4x^2 = 1 \implies x^2 = 1/4$. Корни: $x_1=1/2$, $x_2=-1/2$.
3. Парабола пересекает ось Ox в точках $x=-1/2$ и $x=1/2$. Так как ветви направлены вниз, функция принимает неположительные значения ($y \le 0$) на промежутках вне отрезка между корнями, включая сами корни.
Ответ: $x \in (-\infty; -1/2] \cup [1/2; +\infty)$.
к) $8x^2 \ge 16$1. Перенесем 16 в левую часть и разделим на 8: $8x^2 - 16 \ge 0 \implies x^2 - 2 \ge 0$.
2. Рассмотрим функцию $y = x^2 - 2$. Ветви параболы направлены вверх ($a=1 > 0$).
3. Найдем нули функции: $x^2 - 2 = 0 \implies x^2 = 2$. Корни: $x_1=\sqrt{2}$, $x_2=-\sqrt{2}$.
4. Парабола пересекает ось Ox в точках $x=-\sqrt{2}$ и $x=\sqrt{2}$. Неотрицательные значения ($y \ge 0$) функция принимает на промежутках вне отрезка между корнями, включая сами корни.
Ответ: $x \in (-\infty; -\sqrt{2}] \cup [\sqrt{2}; +\infty)$.
Другие задания:
Помогло решение? Оставьте отзыв в комментариях ниже.
Присоединяйтесь к Телеграм-группе @gdz_by_belarus
ПрисоединитьсяМы подготовили для вас ответ c подробным объяснением домашего задания по алгебре за 8 класс, для упражнения номер 35 расположенного на странице 251 к учебнику 2024 года издания для учащихся школ и гимназий.
Теперь на нашем сайте ГДЗ.ТОП вы всегда легко и бесплатно найдёте условие с правильным ответом на вопрос «Как решить ДЗ» и «Как сделать» задание по алгебре к упражнению №35 (с. 251), авторов: Арефьева (Ирина Глебовна), Пирютко (Ольга Николаевна), учебного пособия издательства Адукацыя i выхаванне.