Номер 2.101, страница 114 - гдз по алгебре 9 класс учебник Арефьева, Пирютко

Алгебра, 9 класс Учебник, авторы: Арефьева Ирина Глебовна, Пирютко Ольга Николаевна, издательство Народная асвета, Минск, 2019, голубого цвета

Авторы: Арефьева И. Г., Пирютко О. Н.

Тип: Учебник

Издательство: Народная асвета

Год издания: 2019 - 2025

Цвет обложки: голубой, синий с графиком

ISBN: 978-985-03-3077-2

Допущено Министерством образования Республики Беларусь

Популярные ГДЗ в 9 классе

Глава 2. Функции. Параграф 8. Четные и нечетные функции - номер 2.101, страница 114.

№2.101 (с. 114)
Условие. №2.101 (с. 114)
скриншот условия
Алгебра, 9 класс Учебник, авторы: Арефьева Ирина Глебовна, Пирютко Ольга Николаевна, издательство Народная асвета, Минск, 2019, голубого цвета, страница 114, номер 2.101, Условие

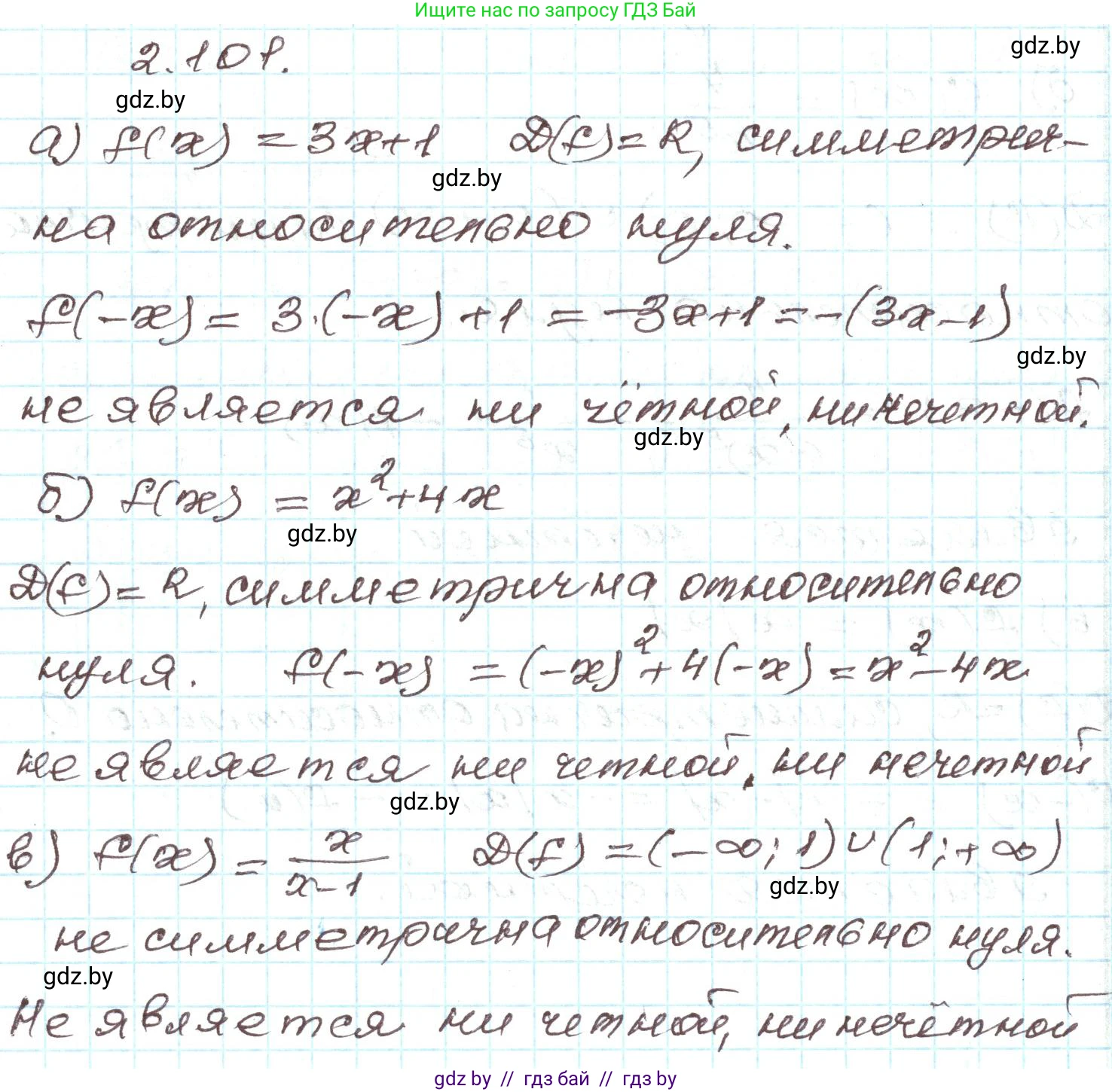
2.101. Докажите, что функция не является ни четной, ни нечетной:

a) $f(x)=3x+1$;

б) $f(x)=x^2+4x$;

в) $f(x)=\frac{x}{x-1}$.

Решение. №2.101 (с. 114)
Алгебра, 9 класс Учебник, авторы: Арефьева Ирина Глебовна, Пирютко Ольга Николаевна, издательство Народная асвета, Минск, 2019, голубого цвета, страница 114, номер 2.101, Решение
Решение 2. №2.101 (с. 114)

Для того чтобы доказать, что функция не является ни четной, ни нечетной, необходимо проверить ее на соответствие определениям четной и нечетной функций.

  • Функция $f(x)$ называется четной, если ее область определения симметрична относительно нуля и для любого $x$ из этой области выполняется равенство $f(-x) = f(x)$.
  • Функция $f(x)$ называется нечетной, если ее область определения симметрична относительно нуля и для любого $x$ из этой области выполняется равенство $f(-x) = -f(x)$.

Если ни одно из этих условий не выполняется, функция называется функцией общего вида (не является ни четной, ни нечетной).

а) $f(x) = 3x + 1$

1. Область определения функции $D(f) = (-\infty; +\infty)$ симметрична относительно начала координат.

2. Найдем $f(-x)$, подставив $-x$ вместо $x$ в уравнение функции:

$f(-x) = 3(-x) + 1 = -3x + 1$

3. Проверим условие четности: $f(-x) = f(x)$?

$-3x + 1 = 3x + 1$

$-6x = 0$

$x = 0$

Равенство верно только при $x=0$, а не для всех $x$ из области определения. Следовательно, функция не является четной.

4. Проверим условие нечетности: $f(-x) = -f(x)$?

$-f(x) = -(3x + 1) = -3x - 1$

Сравним $f(-x)$ и $-f(x)$:

$-3x + 1 = -3x - 1$

$1 = -1$

Данное равенство ложно при любых значениях $x$. Следовательно, функция не является нечетной.

Ответ: Функция не является ни четной, ни нечетной.

б) $f(x) = x^2 + 4x$

1. Область определения функции $D(f) = (-\infty; +\infty)$ симметрична относительно начала координат.

2. Найдем $f(-x)$:

$f(-x) = (-x)^2 + 4(-x) = x^2 - 4x$

3. Проверим условие четности: $f(-x) = f(x)$?

$x^2 - 4x = x^2 + 4x$

$-4x = 4x$

$8x = 0$

$x = 0$

Равенство верно только при $x=0$, а не для всех $x$ из области определения. Следовательно, функция не является четной.

4. Проверим условие нечетности: $f(-x) = -f(x)$?

$-f(x) = -(x^2 + 4x) = -x^2 - 4x$

Сравним $f(-x)$ и $-f(x)$:

$x^2 - 4x = -x^2 - 4x$

$x^2 = -x^2$

$2x^2 = 0$

$x = 0$

Равенство верно только при $x=0$, а не для всех $x$ из области определения. Следовательно, функция не является нечетной.

Ответ: Функция не является ни четной, ни нечетной.

в) $f(x) = \frac{x}{x-1}$

1. Найдем область определения функции. Знаменатель не может быть равен нулю:

$x - 1 \neq 0 \implies x \neq 1$

Область определения $D(f) = (-\infty; 1) \cup (1; +\infty)$.

Данная область определения не является симметричной относительно нуля. Например, точка $x = -1$ принадлежит области определения, в то время как симметричная ей точка $-(-1) = 1$ не принадлежит. Так как основное требование симметричности области определения не выполняется, функция не может быть ни четной, ни нечетной.

Для дополнительной проверки можно также сравнить выражения для $f(-x)$, $f(x)$ и $-f(x)$:

$f(-x) = \frac{-x}{-x - 1} = \frac{-x}{-(x+1)} = \frac{x}{x+1}$

Условие четности: $f(-x) = f(x) \implies \frac{x}{x+1} = \frac{x}{x-1}$. Неверно для $x \neq 0$.

Условие нечетности: $f(-x) = -f(x) \implies \frac{x}{x+1} = -\frac{x}{x-1} = \frac{x}{1-x}$. Неверно для $x \neq 0$.

Ответ: Функция не является ни четной, ни нечетной.

Помогло решение? Оставьте отзыв в комментариях ниже.

Присоединяйтесь к Телеграм-группе @gdz_by_belarus

Присоединиться

Мы подготовили для вас ответ c подробным объяснением домашего задания по алгебре за 9 класс, для упражнения номер 2.101 расположенного на странице 114 к учебнику 2019 года издания для учащихся школ и гимназий.

Теперь на нашем сайте ГДЗ.ТОП вы всегда легко и бесплатно найдёте условие с правильным ответом на вопрос «Как решить ДЗ» и «Как сделать» задание по алгебре к упражнению №2.101 (с. 114), авторов: Арефьева (Ирина Глебовна), Пирютко (Ольга Николаевна), учебного пособия издательства Народная асвета.