Номер 2.99, страница 114 - гдз по алгебре 9 класс учебник Арефьева, Пирютко

Алгебра, 9 класс Учебник, авторы: Арефьева Ирина Глебовна, Пирютко Ольга Николаевна, издательство Народная асвета, Минск, 2019, голубого цвета

Авторы: Арефьева И. Г., Пирютко О. Н.

Тип: Учебник

Издательство: Народная асвета

Год издания: 2019 - 2025

Цвет обложки: голубой, синий с графиком

ISBN: 978-985-03-3077-2

Допущено Министерством образования Республики Беларусь

Популярные ГДЗ в 9 классе

Глава 2. Функции. Параграф 8. Четные и нечетные функции - номер 2.99, страница 114.

№2.99 (с. 114)
Условие. №2.99 (с. 114)
скриншот условия
Алгебра, 9 класс Учебник, авторы: Арефьева Ирина Глебовна, Пирютко Ольга Николаевна, издательство Народная асвета, Минск, 2019, голубого цвета, страница 114, номер 2.99, Условие

2.99. Используя алгоритм, докажите нечетность функции:

а) $f(x) = x^3 + 2x;$

б) $f(x) = \frac{7}{x^5};$

в) $f(x) = x|x|;$

г) $f(x) = 9x^7.$

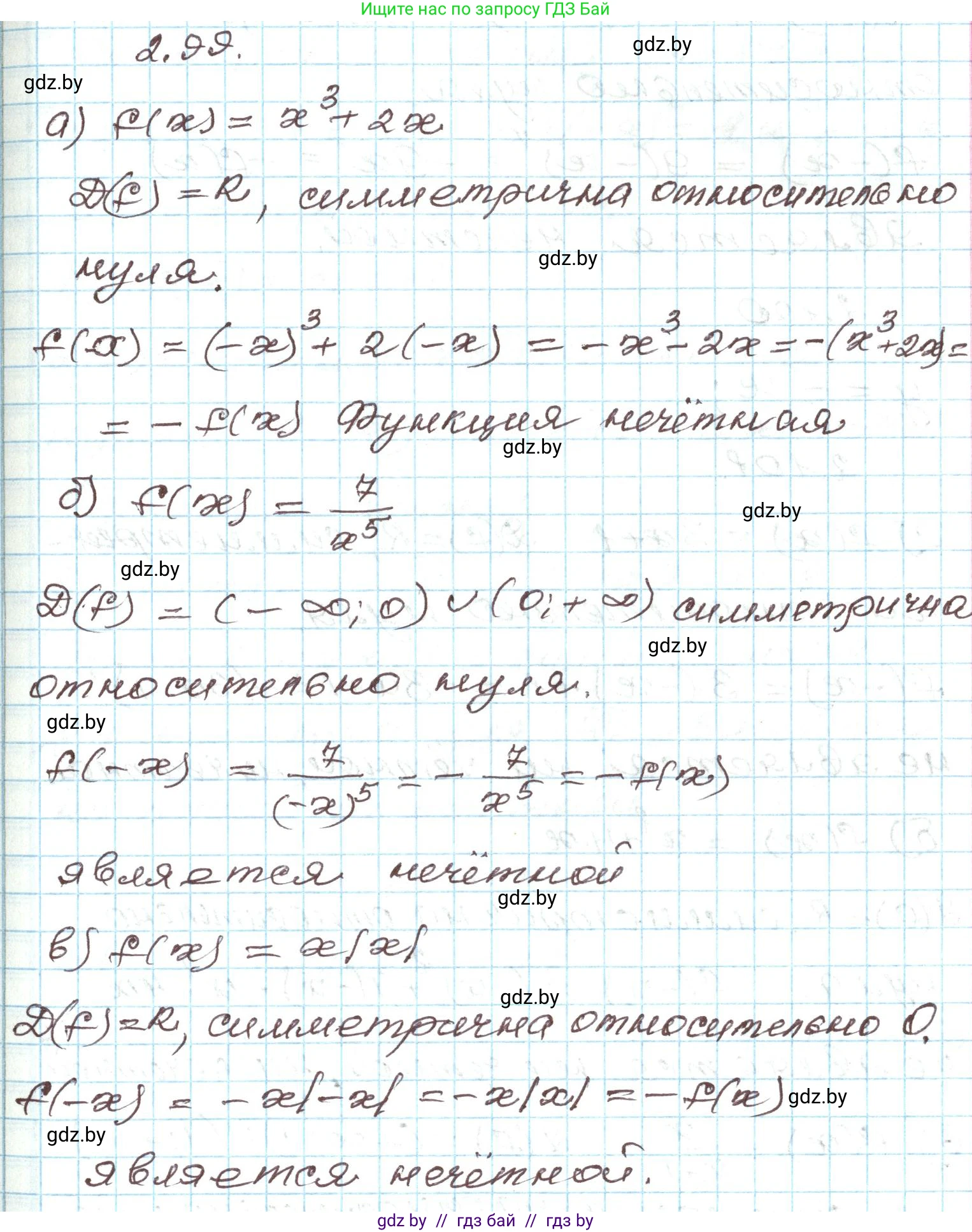
Решение. №2.99 (с. 114)
Алгебра, 9 класс Учебник, авторы: Арефьева Ирина Глебовна, Пирютко Ольга Николаевна, издательство Народная асвета, Минск, 2019, голубого цвета, страница 114, номер 2.99, Решение Алгебра, 9 класс Учебник, авторы: Арефьева Ирина Глебовна, Пирютко Ольга Николаевна, издательство Народная асвета, Минск, 2019, голубого цвета, страница 114, номер 2.99, Решение (продолжение 2)
Решение 2. №2.99 (с. 114)

Алгоритм доказательства нечетности функции $f(x)$ заключается в проверке двух условий:

  1. Область определения функции, $D(f)$, должна быть симметрична относительно нуля (то есть, если $x \in D(f)$, то и $-x \in D(f)$).
  2. Для любого $x$ из области определения должно выполняться равенство $f(-x) = -f(x)$.

Применим этот алгоритм к каждой из заданных функций.

а) $f(x) = x^3 + 2x$
1. Область определения данной функции — все действительные числа, $D(f) = (-\infty; +\infty)$, так как это многочлен. Эта область симметрична относительно нуля.
2. Проверим выполнение равенства. Найдем $f(-x)$:
$f(-x) = (-x)^3 + 2(-x) = -x^3 - 2x = -(x^3 + 2x)$.
Так как $f(x) = x^3 + 2x$, получаем, что $f(-x) = -f(x)$.
Оба условия выполнены, следовательно, функция нечетная. Ответ: Доказано, что функция является нечетной.

б) $f(x) = \frac{7}{x^5}$
1. Область определения функции находится из условия, что знаменатель не равен нулю: $x^5 \neq 0$, то есть $x \neq 0$. Таким образом, $D(f) = (-\infty; 0) \cup (0; +\infty)$. Эта область симметрична относительно нуля.
2. Проверим выполнение равенства. Найдем $f(-x)$:
$f(-x) = \frac{7}{(-x)^5} = \frac{7}{-x^5} = -\frac{7}{x^5}$.
Так как $f(x) = \frac{7}{x^5}$, получаем, что $f(-x) = -f(x)$.
Оба условия выполнены, следовательно, функция нечетная. Ответ: Доказано, что функция является нечетной.

в) $f(x) = x|x|$
1. Область определения данной функции — все действительные числа, $D(f) = (-\infty; +\infty)$. Эта область симметрична относительно нуля.
2. Проверим выполнение равенства. Найдем $f(-x)$:
$f(-x) = (-x)|-x|$.
Используя свойство модуля $|-a| = |a|$, имеем: $f(-x) = (-x)|x| = -x|x|$.
Так как $f(x) = x|x|$, получаем, что $f(-x) = -f(x)$.
Оба условия выполнены, следовательно, функция нечетная. Ответ: Доказано, что функция является нечетной.

г) $f(x) = 9x^7$
1. Область определения данной функции — все действительные числа, $D(f) = (-\infty; +\infty)$. Эта область симметрична относительно нуля.
2. Проверим выполнение равенства. Найдем $f(-x)$:
$f(-x) = 9(-x)^7$.
Так как показатель степени 7 является нечетным числом, то $(-x)^7 = -x^7$.
$f(-x) = 9(-x^7) = -9x^7$.
Так как $f(x) = 9x^7$, получаем, что $f(-x) = -f(x)$.
Оба условия выполнены, следовательно, функция нечетная. Ответ: Доказано, что функция является нечетной.

Помогло решение? Оставьте отзыв в комментариях ниже.

Присоединяйтесь к Телеграм-группе @gdz_by_belarus

Присоединиться

Мы подготовили для вас ответ c подробным объяснением домашего задания по алгебре за 9 класс, для упражнения номер 2.99 расположенного на странице 114 к учебнику 2019 года издания для учащихся школ и гимназий.

Теперь на нашем сайте ГДЗ.ТОП вы всегда легко и бесплатно найдёте условие с правильным ответом на вопрос «Как решить ДЗ» и «Как сделать» задание по алгебре к упражнению №2.99 (с. 114), авторов: Арефьева (Ирина Глебовна), Пирютко (Ольга Николаевна), учебного пособия издательства Народная асвета.