Номер 2.102, страница 114 - гдз по алгебре 9 класс учебник Арефьева, Пирютко

Алгебра, 9 класс Учебник, авторы: Арефьева Ирина Глебовна, Пирютко Ольга Николаевна, издательство Народная асвета, Минск, 2019, голубого цвета

Авторы: Арефьева И. Г., Пирютко О. Н.

Тип: Учебник

Издательство: Народная асвета

Год издания: 2019 - 2025

Цвет обложки: голубой, синий с графиком

ISBN: 978-985-03-3077-2

Допущено Министерством образования Республики Беларусь

Популярные ГДЗ в 9 классе

Глава 2. Функции. Параграф 8. Четные и нечетные функции - номер 2.102, страница 114.

№2.102 (с. 114)
Условие. №2.102 (с. 114)
скриншот условия
Алгебра, 9 класс Учебник, авторы: Арефьева Ирина Глебовна, Пирютко Ольга Николаевна, издательство Народная асвета, Минск, 2019, голубого цвета, страница 114, номер 2.102, Условие

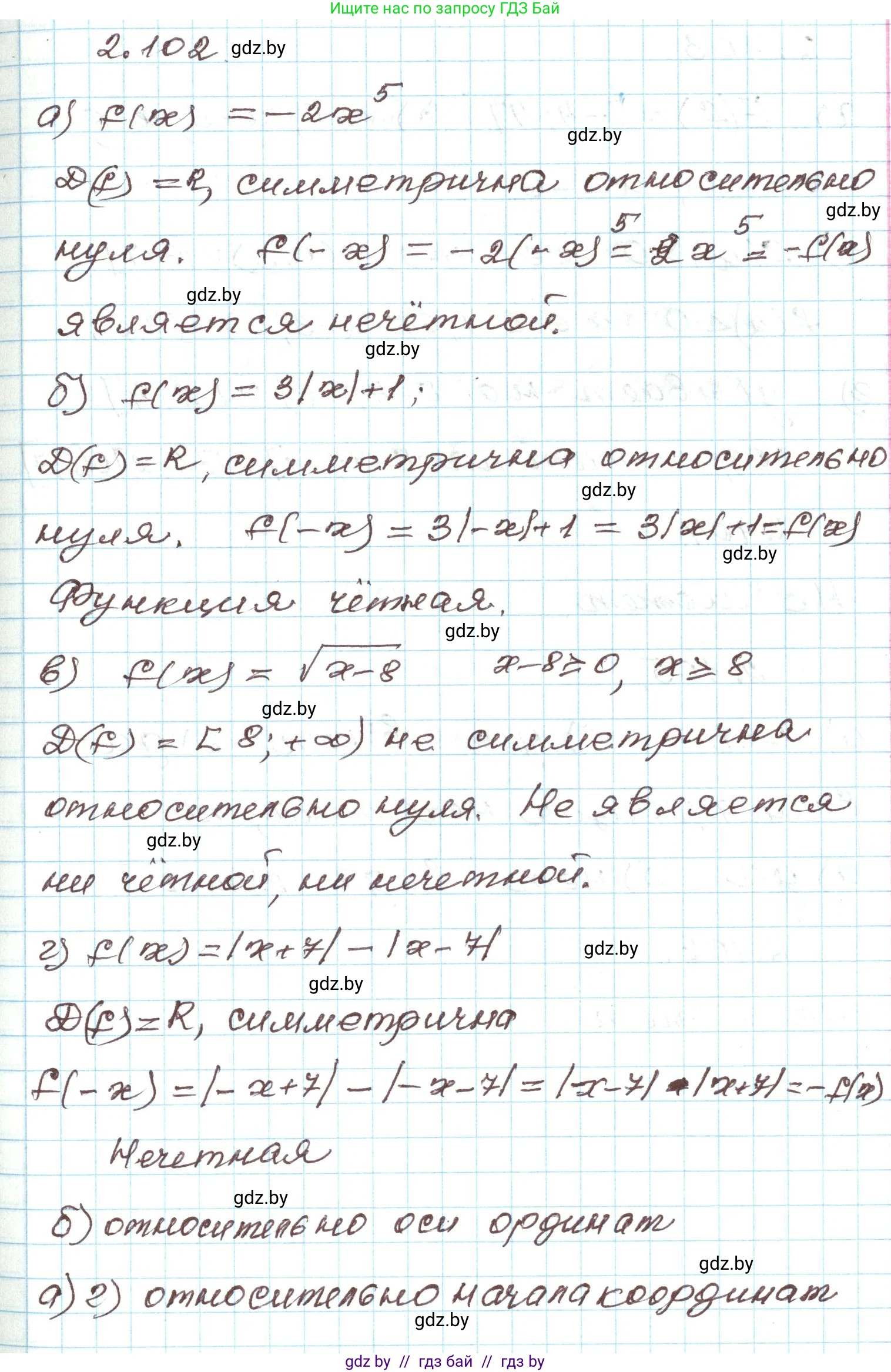
2.102. Исследуйте функцию на четность:

a) $f(x) = -2x^5$;

б) $f(x) = 3|x| + 1$;

в) $f(x) = \sqrt{x-8}$;

г)* $f(x) = |x+7| - |x-7|$.

Из данных функций выберите функции, графики которых симметричны относительно оси ординат; относительно начала координат.

Решение. №2.102 (с. 114)
Алгебра, 9 класс Учебник, авторы: Арефьева Ирина Глебовна, Пирютко Ольга Николаевна, издательство Народная асвета, Минск, 2019, голубого цвета, страница 114, номер 2.102, Решение
Решение 2. №2.102 (с. 114)

Для исследования функции на четность необходимо проверить два условия:

  1. Область определения функции $D(f)$ должна быть симметрична относительно начала координат (то есть, если $x \in D(f)$, то и $-x \in D(f)$).
  2. Должно выполняться одно из следующих равенств для любого $x$ из области определения:
    • $f(-x) = f(x)$ — в этом случае функция является четной. График такой функции симметричен относительно оси ординат (оси OY).
    • $f(-x) = -f(x)$ — в этом случае функция является нечетной. График такой функции симметричен относительно начала координат.

Если область определения несимметрична или ни одно из равенств не выполняется, функция является ни четной, ни нечетной (функцией общего вида).

а) Исследуем функцию $f(x) = -2x^5$.
1. Область определения $D(f) = (-\infty; +\infty)$. Она симметрична относительно начала координат.
2. Найдем $f(-x)$:
$f(-x) = -2(-x)^5 = -2(-x^5) = 2x^5$.
3. Сравним полученное выражение с $-f(x)$:
$-f(x) = -(-2x^5) = 2x^5$.
Так как выполняется равенство $f(-x) = -f(x)$, функция является нечетной.
Ответ: нечетная.

б) Исследуем функцию $f(x) = 3|x| + 1$.
1. Область определения $D(f) = (-\infty; +\infty)$. Она симметрична относительно начала координат.
2. Найдем $f(-x)$:
$f(-x) = 3|-x| + 1$. Используя свойство модуля $|-a|=|a|$, получаем: $f(-x) = 3|x| + 1$.
3. Так как выполняется равенство $f(-x) = f(x)$, функция является четной.
Ответ: четная.

в) Исследуем функцию $f(x) = \sqrt{x-8}$.
1. Найдем область определения. Выражение под корнем должно быть неотрицательным: $x-8 \ge 0$, откуда $x \ge 8$.
$D(f) = [8; +\infty)$.
2. Данная область определения не является симметричной относительно начала координат (например, точка $x=8$ принадлежит области, а $x=-8$ — нет).
Следовательно, функция не является ни четной, ни нечетной.
Ответ: ни четная, ни нечетная.

г)*

Исследуем функцию $f(x) = |x+7| - |x-7|$.
1. Область определения $D(f) = (-\infty; +\infty)$. Она симметрична относительно начала координат.
2. Найдем $f(-x)$:
$f(-x) = |(-x)+7| - |(-x)-7| = |-(x-7)| - |-(x+7)|$.
Используя свойство модуля $|-a|=|a|$, получаем: $f(-x) = |x-7| - |x+7|$.
3. Сравним полученное выражение с $-f(x)$:
$-f(x) = -(|x+7| - |x-7|) = -|x+7| + |x-7| = |x-7| - |x+7|$.
Так как выполняется равенство $f(-x) = -f(x)$, функция является нечетной.
Ответ: нечетная.


Функции, графики которых симметричны относительно оси ординат (четные функции):

  • б) $f(x) = 3|x| + 1$

Функции, графики которых симметричны относительно начала координат (нечетные функции):

  • а) $f(x) = -2x^5$
  • г)* $f(x) = |x+7| - |x-7|$

Помогло решение? Оставьте отзыв в комментариях ниже.

Присоединяйтесь к Телеграм-группе @gdz_by_belarus

Присоединиться

Мы подготовили для вас ответ c подробным объяснением домашего задания по алгебре за 9 класс, для упражнения номер 2.102 расположенного на странице 114 к учебнику 2019 года издания для учащихся школ и гимназий.

Теперь на нашем сайте ГДЗ.ТОП вы всегда легко и бесплатно найдёте условие с правильным ответом на вопрос «Как решить ДЗ» и «Как сделать» задание по алгебре к упражнению №2.102 (с. 114), авторов: Арефьева (Ирина Глебовна), Пирютко (Ольга Николаевна), учебного пособия издательства Народная асвета.