Номер 4.86, страница 222 - гдз по алгебре 9 класс учебник Арефьева, Пирютко

Алгебра, 9 класс Учебник, авторы: Арефьева Ирина Глебовна, Пирютко Ольга Николаевна, издательство Народная асвета, Минск, 2019, голубого цвета

Авторы: Арефьева И. Г., Пирютко О. Н.

Тип: Учебник

Издательство: Народная асвета

Год издания: 2019 - 2025

Цвет обложки: голубой, синий с графиком

ISBN: 978-985-03-3077-2

Допущено Министерством образования Республики Беларусь

Популярные ГДЗ в 9 классе

Глава 4. Прогрессии. Параграф 15. Арифметическая прогрессия - номер 4.86, страница 222.

№4.86 (с. 222)
Условие. №4.86 (с. 222)
скриншот условия
Алгебра, 9 класс Учебник, авторы: Арефьева Ирина Глебовна, Пирютко Ольга Николаевна, издательство Народная асвета, Минск, 2019, голубого цвета, страница 222, номер 4.86, Условие

4.86. В арифметической прогрессии ($a_n$) известны первый член $a_1$ и разность $d$. Запишите формулу $n$-го члена этой прогрессии и найдите $a_6, a_{12}$ и $a_{51}$, если:

а) $a_1 = 3, d = -2$;

б) $a_1 = -7, d = 8$;

в) $a_1 = 4, d = 0,25$;

г) $a_1 = -\sqrt{2}, d = -5\sqrt{2}$.

Решение. №4.86 (с. 222)
Алгебра, 9 класс Учебник, авторы: Арефьева Ирина Глебовна, Пирютко Ольга Николаевна, издательство Народная асвета, Минск, 2019, голубого цвета, страница 222, номер 4.86, Решение Алгебра, 9 класс Учебник, авторы: Арефьева Ирина Глебовна, Пирютко Ольга Николаевна, издательство Народная асвета, Минск, 2019, голубого цвета, страница 222, номер 4.86, Решение (продолжение 2)
Решение 2. №4.86 (с. 222)

Общая формула для нахождения $n$-го члена арифметической прогрессии $(a_n)$ выглядит следующим образом:

$a_n = a_1 + (n-1)d$

где $a_1$ — первый член прогрессии, а $d$ — её разность.

Подставим известные значения в эту формулу для каждого случая и найдем требуемые члены прогрессии.

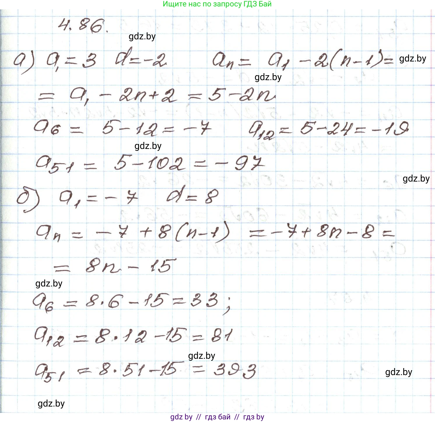
а) Дано: $a_1 = 3$, $d = -2$.

Сначала запишем формулу $n$-го члена для этих данных:

$a_n = 3 + (n-1)(-2) = 3 - 2n + 2 = 5 - 2n$.

Теперь найдем $a_6$, $a_{12}$ и $a_{51}$:

$a_6 = 5 - 2 \cdot 6 = 5 - 12 = -7$.

$a_{12} = 5 - 2 \cdot 12 = 5 - 24 = -19$.

$a_{51} = 5 - 2 \cdot 51 = 5 - 102 = -97$.

Ответ: $a_6 = -7$; $a_{12} = -19$; $a_{51} = -97$.

б) Дано: $a_1 = -7$, $d = 8$.

Формула $n$-го члена:

$a_n = -7 + (n-1) \cdot 8 = -7 + 8n - 8 = 8n - 15$.

Найдем $a_6$, $a_{12}$ и $a_{51}$:

$a_6 = 8 \cdot 6 - 15 = 48 - 15 = 33$.

$a_{12} = 8 \cdot 12 - 15 = 96 - 15 = 81$.

$a_{51} = 8 \cdot 51 - 15 = 408 - 15 = 393$.

Ответ: $a_6 = 33$; $a_{12} = 81$; $a_{51} = 393$.

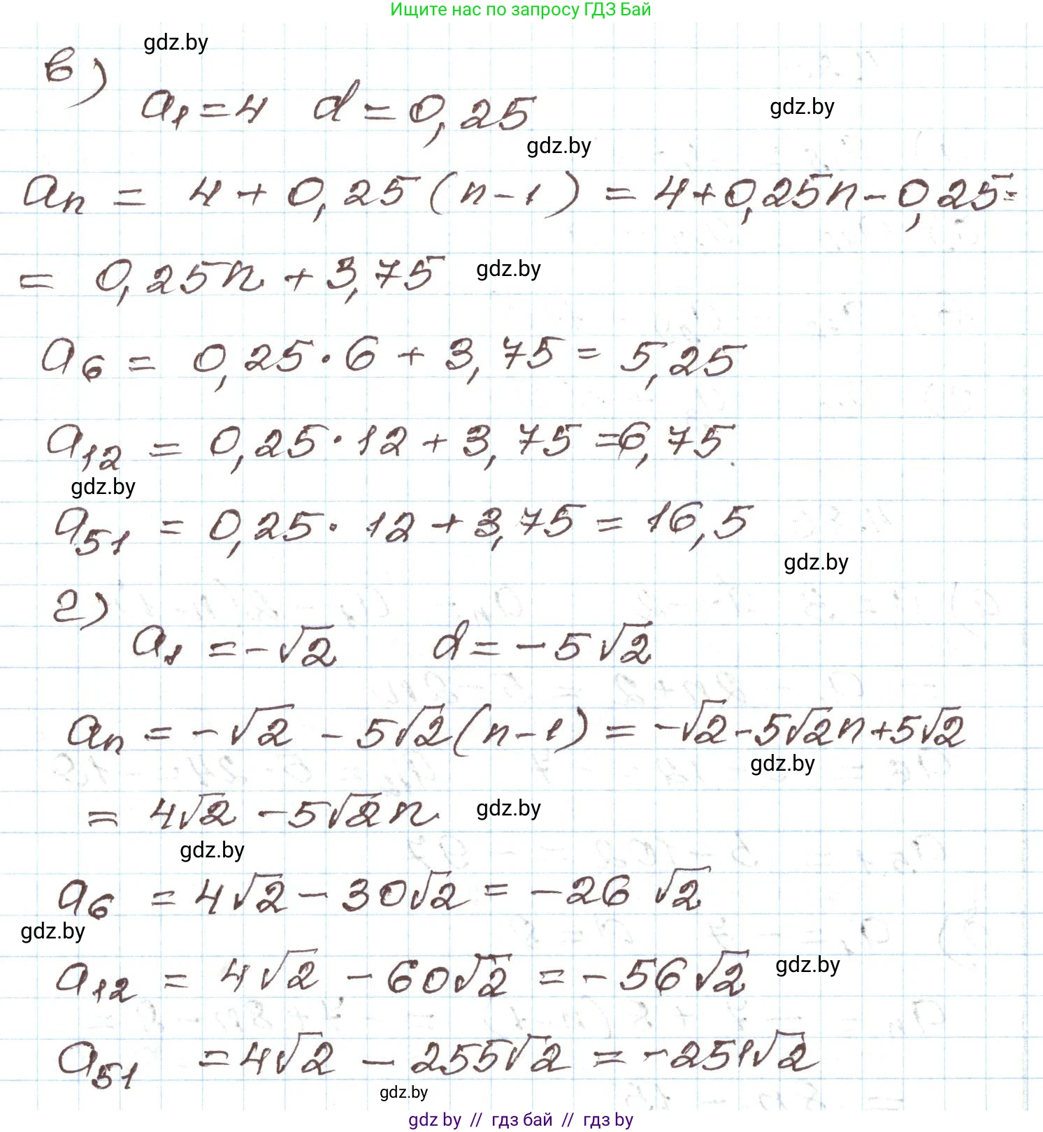
в) Дано: $a_1 = 4$, $d = 0,25$.

Формула $n$-го члена:

$a_n = 4 + (n-1) \cdot 0,25 = 4 + 0,25n - 0,25 = 3,75 + 0,25n$.

Найдем $a_6$, $a_{12}$ и $a_{51}$, представив результаты в виде смешанных чисел:

$a_6 = 4 + (6-1) \cdot 0,25 = 4 + 5 \cdot 0,25 = 4 + 1,25 = 5,25 = 5\frac{1}{4}$.

$a_{12} = 4 + (12-1) \cdot 0,25 = 4 + 11 \cdot 0,25 = 4 + 2,75 = 6,75 = 6\frac{3}{4}$.

$a_{51} = 4 + (51-1) \cdot 0,25 = 4 + 50 \cdot 0,25 = 4 + 12,5 = 16,5 = 16\frac{1}{2}$.

Ответ: $a_6 = \textbf{5}\frac{1}{4}$; $a_{12} = \textbf{6}\frac{3}{4}$; $a_{51} = \textbf{16}\frac{1}{2}$.

г) Дано: $a_1 = -\sqrt{2}$, $d = -5\sqrt{2}$.

Формула $n$-го члена:

$a_n = -\sqrt{2} + (n-1)(-5\sqrt{2}) = -\sqrt{2} - 5n\sqrt{2} + 5\sqrt{2} = 4\sqrt{2} - 5n\sqrt{2} = (4-5n)\sqrt{2}$.

Найдем $a_6$, $a_{12}$ и $a_{51}$:

$a_6 = -\sqrt{2} + (6-1)(-5\sqrt{2}) = -\sqrt{2} + 5(-5\sqrt{2}) = -\sqrt{2} - 25\sqrt{2} = -26\sqrt{2}$.

$a_{12} = -\sqrt{2} + (12-1)(-5\sqrt{2}) = -\sqrt{2} + 11(-5\sqrt{2}) = -\sqrt{2} - 55\sqrt{2} = -56\sqrt{2}$.

$a_{51} = -\sqrt{2} + (51-1)(-5\sqrt{2}) = -\sqrt{2} + 50(-5\sqrt{2}) = -\sqrt{2} - 250\sqrt{2} = -251\sqrt{2}$.

Ответ: $a_6 = -26\sqrt{2}$; $a_{12} = -56\sqrt{2}$; $a_{51} = -251\sqrt{2}$.

Помогло решение? Оставьте отзыв в комментариях ниже.

Присоединяйтесь к Телеграм-группе @gdz_by_belarus

Присоединиться

Мы подготовили для вас ответ c подробным объяснением домашего задания по алгебре за 9 класс, для упражнения номер 4.86 расположенного на странице 222 к учебнику 2019 года издания для учащихся школ и гимназий.

Теперь на нашем сайте ГДЗ.ТОП вы всегда легко и бесплатно найдёте условие с правильным ответом на вопрос «Как решить ДЗ» и «Как сделать» задание по алгебре к упражнению №4.86 (с. 222), авторов: Арефьева (Ирина Глебовна), Пирютко (Ольга Николаевна), учебного пособия издательства Народная асвета.