Номер 4.88, страница 222 - гдз по алгебре 9 класс учебник Арефьева, Пирютко

Алгебра, 9 класс Учебник, авторы: Арефьева Ирина Глебовна, Пирютко Ольга Николаевна, издательство Народная асвета, Минск, 2019, голубого цвета

Авторы: Арефьева И. Г., Пирютко О. Н.

Тип: Учебник

Издательство: Народная асвета

Год издания: 2019 - 2025

Цвет обложки: голубой, синий с графиком

ISBN: 978-985-03-3077-2

Допущено Министерством образования Республики Беларусь

Популярные ГДЗ в 9 классе

Глава 4. Прогрессии. Параграф 15. Арифметическая прогрессия - номер 4.88, страница 222.

№4.88 (с. 222)
Условие. №4.88 (с. 222)
скриншот условия
Алгебра, 9 класс Учебник, авторы: Арефьева Ирина Глебовна, Пирютко Ольга Николаевна, издательство Народная асвета, Минск, 2019, голубого цвета, страница 222, номер 4.88, Условие

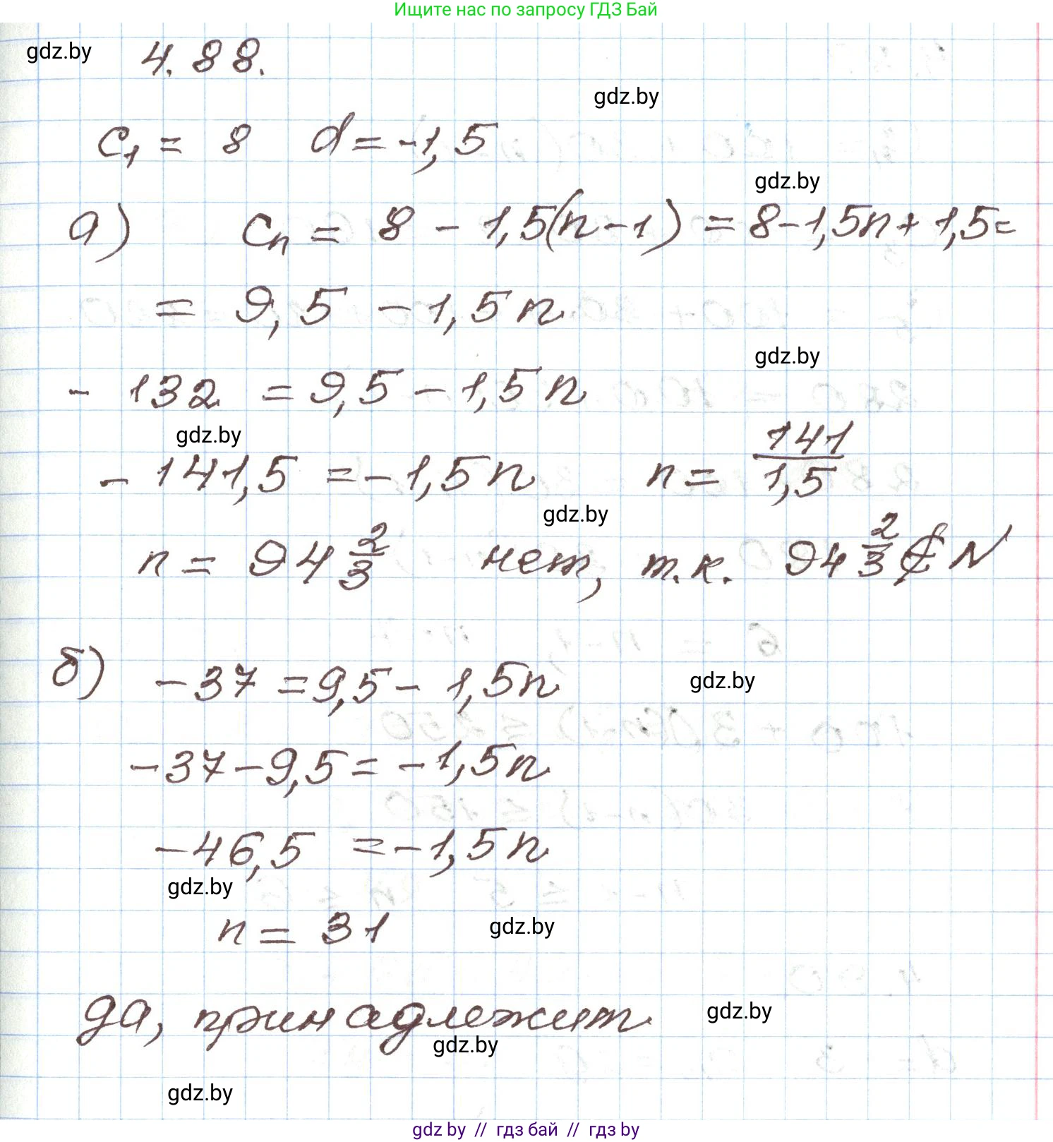
4.88. Последовательность $(c_n)$ — арифметическая прогрессия, $c_1=8$; $d=-1.5$. Является ли членом этой прогрессии число:

а) -132;

б) -37?

Решение. №4.88 (с. 222)
Алгебра, 9 класс Учебник, авторы: Арефьева Ирина Глебовна, Пирютко Ольга Николаевна, издательство Народная асвета, Минск, 2019, голубого цвета, страница 222, номер 4.88, Решение
Решение 2. №4.88 (с. 222)

Для того чтобы определить, является ли указанное число членом арифметической прогрессии $(c_n)$, необходимо проверить, существует ли натуральное число $n$ (порядковый номер члена), для которого выполняется формула n-го члена. Если такой номер $n$ существует и является натуральным числом (т.е. $n \in \{1, 2, 3, ...\}$), то число является членом прогрессии.

Формула n-го члена арифметической прогрессии:

$c_n = c_1 + (n-1)d$

По условию задачи, первый член прогрессии $c_1 = 8$, а разность $d = -1.5$.

а) -132;

Проверим, является ли число -132 членом данной прогрессии. Для этого подставим $c_n = -132$ в формулу и найдем $n$:

$-132 = 8 + (n-1) \cdot (-1.5)$

Вычтем 8 из обеих частей уравнения:

$-132 - 8 = -1.5(n-1)$

$-140 = -1.5(n-1)$

Разделим обе части на -1.5:

$n-1 = \frac{-140}{-1.5} = \frac{1400}{15} = \frac{280}{3}$

Найдем $n$:

$n = \frac{280}{3} + 1 = \frac{280}{3} + \frac{3}{3} = \frac{283}{3}$

Преобразуем полученную неправильную дробь в смешанное число:

$n = 94\frac{1}{3}$

Так как номер $n$ не является натуральным числом (его целая часть равна 94), то число -132 не является членом этой арифметической прогрессии.

Ответ: нет.

б) -37?

Проверим, является ли число -37 членом данной прогрессии. Подставим $c_n = -37$ в формулу:

$-37 = 8 + (n-1) \cdot (-1.5)$

$-37 - 8 = -1.5(n-1)$

$-45 = -1.5(n-1)$

Разделим обе части на -1.5:

$n-1 = \frac{-45}{-1.5} = \frac{450}{15} = 30$

Найдем $n$:

$n = 30 + 1 = 31$

Так как номер $n = 31$ является натуральным числом (его целая часть равна 31), то число -37 является 31-м членом этой арифметической прогрессии.

Ответ: да.

Помогло решение? Оставьте отзыв в комментариях ниже.

Присоединяйтесь к Телеграм-группе @gdz_by_belarus

Присоединиться

Мы подготовили для вас ответ c подробным объяснением домашего задания по алгебре за 9 класс, для упражнения номер 4.88 расположенного на странице 222 к учебнику 2019 года издания для учащихся школ и гимназий.

Теперь на нашем сайте ГДЗ.ТОП вы всегда легко и бесплатно найдёте условие с правильным ответом на вопрос «Как решить ДЗ» и «Как сделать» задание по алгебре к упражнению №4.88 (с. 222), авторов: Арефьева (Ирина Глебовна), Пирютко (Ольга Николаевна), учебного пособия издательства Народная асвета.