Номер 269, страница 295 - гдз по алгебре 9 класс учебник Арефьева, Пирютко

Алгебра, 9 класс Учебник, авторы: Арефьева Ирина Глебовна, Пирютко Ольга Николаевна, издательство Народная асвета, Минск, 2019, голубого цвета

Авторы: Арефьева И. Г., Пирютко О. Н.

Тип: Учебник

Издательство: Народная асвета

Год издания: 2019 - 2025

Цвет обложки: голубой, синий с графиком

ISBN: 978-985-03-3077-2

Допущено Министерством образования Республики Беларусь

Популярные ГДЗ в 9 классе

Итоговое повторение. Уравнения, неравенства, системы - номер 269, страница 295.

№269 (с. 295)
Условие. №269 (с. 295)
скриншот условия
Алгебра, 9 класс Учебник, авторы: Арефьева Ирина Глебовна, Пирютко Ольга Николаевна, издательство Народная асвета, Минск, 2019, голубого цвета, страница 295, номер 269, Условие

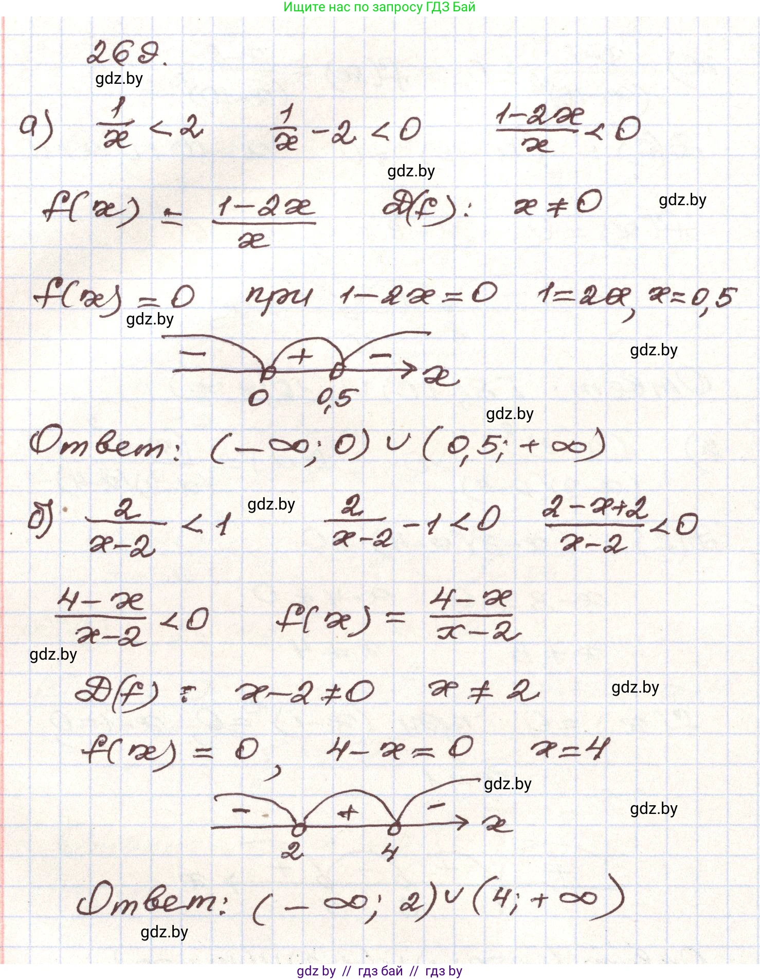
269. Решите неравенство:

a) $ \frac{1}{x} < 2; $

б) $ \frac{2}{x-2} < 1; $

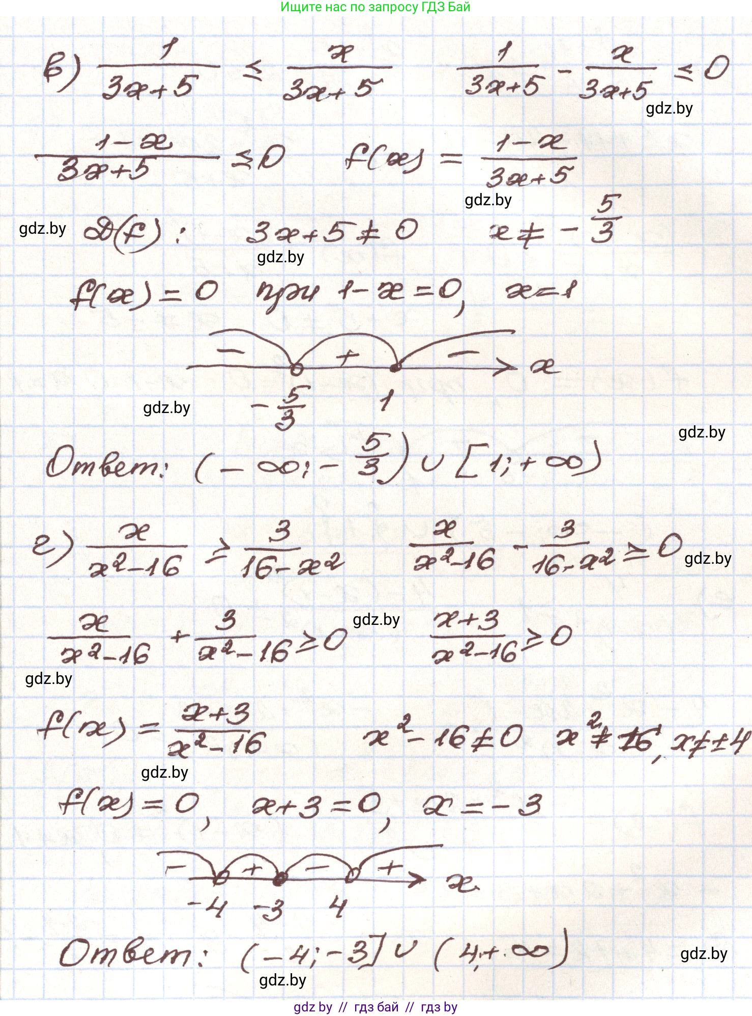
в) $ \frac{1}{3x+5} \le \frac{x}{3x+5}; $

г) $ \frac{x}{x^2-16} \ge \frac{3}{16-x^2}; $

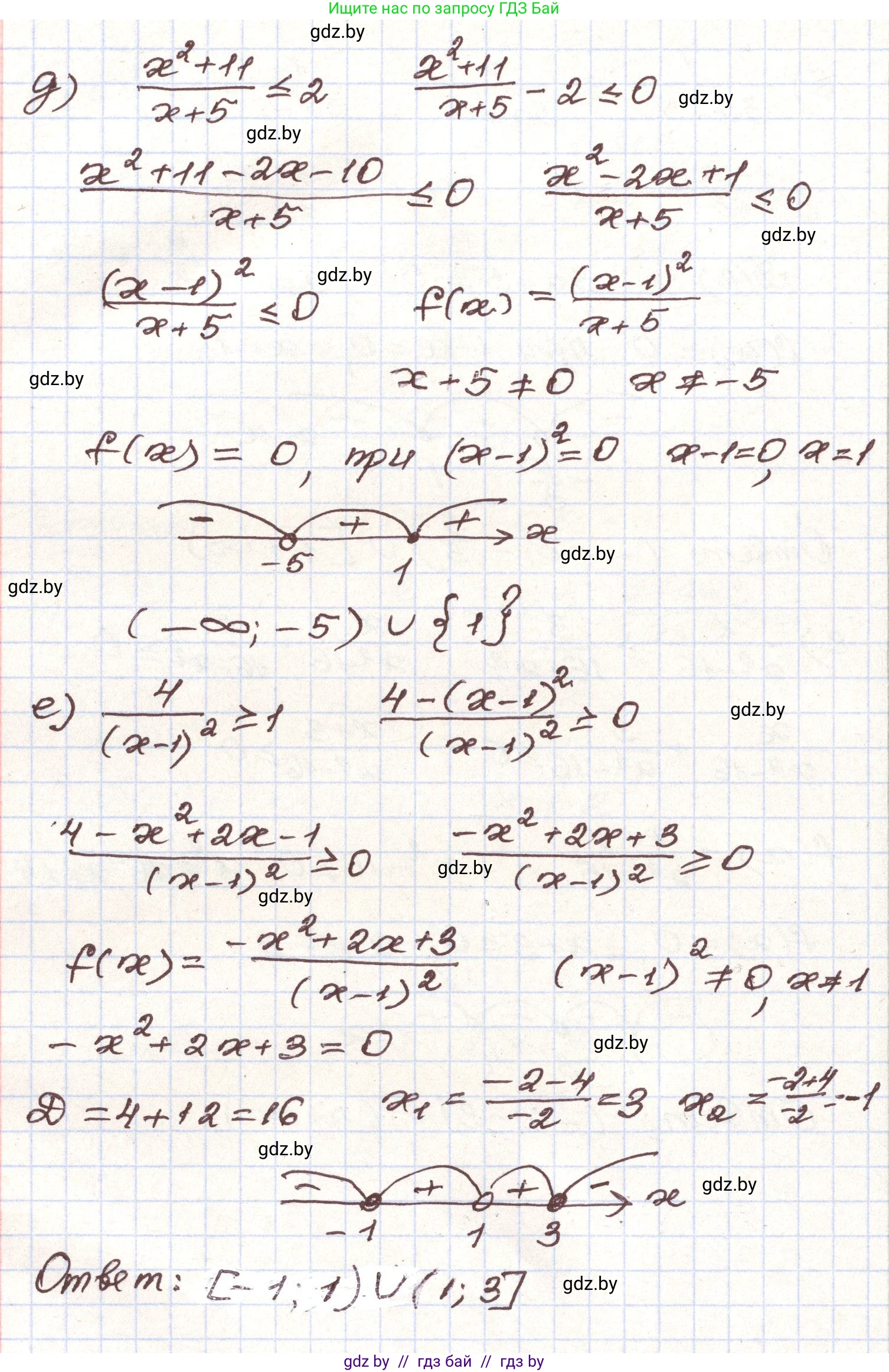
д) $ \frac{x^2+11}{x+5} \le 2; $

е) $ \frac{4}{(x-1)^2} \ge 1. $

Решение. №269 (с. 295)
Алгебра, 9 класс Учебник, авторы: Арефьева Ирина Глебовна, Пирютко Ольга Николаевна, издательство Народная асвета, Минск, 2019, голубого цвета, страница 295, номер 269, Решение Алгебра, 9 класс Учебник, авторы: Арефьева Ирина Глебовна, Пирютко Ольга Николаевна, издательство Народная асвета, Минск, 2019, голубого цвета, страница 295, номер 269, Решение (продолжение 2)
Решение 2. №269 (с. 295)

а) Перенесем все члены в левую часть неравенства и приведем к общему знаменателю:

$\frac{1}{x} - 2 < 0$

$\frac{1 - 2x}{x} < 0$

Для решения неравенства используем метод интервалов. Найдем точки, в которых числитель или знаменатель обращаются в ноль:

Нуль числителя: $1 - 2x = 0 \Rightarrow x = \frac{1}{2}$

Нуль знаменателя: $x = 0$

Эти точки разбивают числовую прямую на три интервала: $(-\infty, 0)$, $(0, \frac{1}{2})$ и $(\frac{1}{2}, +\infty)$. Определим знак выражения $\frac{1 - 2x}{x}$ в каждом из них:

  • При $x > \frac{1}{2}$ (например, $x=1$): $\frac{1-2(1)}{1} = -1 < 0$. Интервал подходит.
  • При $0 < x < \frac{1}{2}$ (например, $x=0.1$): $\frac{1-2(0.1)}{0.1} = \frac{0.8}{0.1} = 8 > 0$. Интервал не подходит.
  • При $x < 0$ (например, $x=-1$): $\frac{1-2(-1)}{-1} = \frac{3}{-1} = -3 < 0$. Интервал подходит.

Объединяя интервалы, где неравенство выполняется, получаем решение.

Ответ: $x \in (-\infty, 0) \cup (\frac{1}{2}, +\infty)$

б) Перенесем 1 в левую часть и приведем дроби к общему знаменателю:

$\frac{2}{x-2} - 1 < 0$

$\frac{2 - (x-2)}{x-2} < 0$

$\frac{4 - x}{x-2} < 0$

Решим методом интервалов. Найдем нули числителя и знаменателя:

Нуль числителя: $4 - x = 0 \Rightarrow x = 4$

Нуль знаменателя: $x - 2 = 0 \Rightarrow x = 2$

Точки $2$ и $4$ делят числовую прямую на интервалы $(-\infty, 2)$, $(2, 4)$ и $(4, +\infty)$. Определим знак дроби $\frac{4 - x}{x-2}$ в каждом интервале:

  • При $x > 4$ (например, $x=5$): $\frac{4-5}{5-2} = -\frac{1}{3} < 0$. Подходит.
  • При $2 < x < 4$ (например, $x=3$): $\frac{4-3}{3-2} = 1 > 0$. Не подходит.
  • При $x < 2$ (например, $x=0$): $\frac{4-0}{0-2} = -2 < 0$. Подходит.

Ответ: $x \in (-\infty, 2) \cup (4, +\infty)$

в) Перенесем все члены в левую часть:

$\frac{1}{3x+5} - \frac{x}{3x+5} \le 0$

$\frac{1 - x}{3x+5} \le 0$

Решим методом интервалов. Найдем нули числителя и знаменателя:

Нуль числителя: $1 - x = 0 \Rightarrow x = 1$ (точка включается в решение, так как неравенство нестрогое).

Нуль знаменателя: $3x + 5 = 0 \Rightarrow x = -\frac{5}{3}$ (точка исключается, так как находится в знаменателе).

Точки $-\frac{5}{3}$ и $1$ делят числовую ось на интервалы. Определим знак дроби $\frac{1 - x}{3x+5}$ на них:

  • При $x > 1$ (например, $x=2$): $\frac{1-2}{3(2)+5} = -\frac{1}{11} \le 0$. Подходит.
  • При $-\frac{5}{3} < x < 1$ (например, $x=0$): $\frac{1-0}{3(0)+5} = \frac{1}{5} > 0$. Не подходит.
  • При $x < -\frac{5}{3}$ (например, $x=-2$): $\frac{1-(-2)}{3(-2)+5} = \frac{3}{-1} = -3 \le 0$. Подходит.

Представим неправильную дробь в виде смешанного числа: $-\frac{5}{3} = -1\frac{2}{3}$.

Ответ: $x \in (-\infty, -\mathbf{1}\frac{2}{3}) \cup [1, +\infty)$

г) Заметим, что $16-x^2 = -(x^2-16)$. Перепишем неравенство и перенесем все в левую часть:

$\frac{x}{x^2-16} \ge \frac{3}{-(x^2-16)}$

$\frac{x}{x^2-16} + \frac{3}{x^2-16} \ge 0$

$\frac{x+3}{x^2-16} \ge 0$

Разложим знаменатель на множители: $\frac{x+3}{(x-4)(x+4)} \ge 0$.

Решим методом интервалов. Нули числителя и знаменателя:

Нуль числителя: $x + 3 = 0 \Rightarrow x = -3$ (включается).

Нули знаменателя: $x - 4 = 0 \Rightarrow x = 4$; $x + 4 = 0 \Rightarrow x = -4$ (исключаются).

Точки $-4, -3, 4$ делят числовую ось на интервалы. Определим знак выражения $\frac{x+3}{(x-4)(x+4)}$:

  • При $x > 4$ (например, $x=5$): $\frac{+}{(+)(+)} > 0$. Подходит.
  • При $-3 \le x < 4$ (например, $x=0$): $\frac{+}{(-)(+)} < 0$. Не подходит.
  • При $-4 < x \le -3$ (например, $x=-3.5$): $\frac{-}{(-)(+)} > 0$. Подходит.
  • При $x < -4$ (например, $x=-5$): $\frac{-}{(-)(-)} < 0$. Не подходит.

Ответ: $x \in (-4, -3] \cup (4, +\infty)$

д) Перенесем 2 в левую часть и приведем к общему знаменателю:

$\frac{x^2+11}{x+5} - 2 \le 0$

$\frac{x^2+11 - 2(x+5)}{x+5} \le 0$

$\frac{x^2+11 - 2x - 10}{x+5} \le 0$

$\frac{x^2-2x+1}{x+5} \le 0$

Числитель является полным квадратом: $\frac{(x-1)^2}{x+5} \le 0$.

Выражение $(x-1)^2$ всегда неотрицательно. Неравенство $\le 0$ выполняется в двух случаях:

1. Дробь равна 0. Это происходит, когда числитель равен 0, а знаменатель не равен 0.$(x-1)^2=0 \Rightarrow x=1$. При $x=1$ знаменатель $1+5=6 \ne 0$. Следовательно, $x=1$ является решением.

2. Дробь меньше 0. Так как числитель $(x-1)^2$ положителен при $x \ne 1$, дробь будет отрицательной, только если знаменатель отрицателен.$x+5 < 0 \Rightarrow x < -5$.

Объединяя оба случая, получаем итоговое решение.

Ответ: $x \in (-\infty, -5) \cup \{1\}$

е) Определим область допустимых значений (ОДЗ): знаменатель не должен быть равен нулю, $(x-1)^2 \ne 0$, откуда $x \ne 1$.

Перенесем 1 в левую часть и приведем к общему знаменателю:

$\frac{4}{(x-1)^2} - 1 \ge 0$

$\frac{4 - (x-1)^2}{(x-1)^2} \ge 0$

Так как знаменатель $(x-1)^2$ на ОДЗ всегда положителен, знак дроби совпадает со знаком числителя. Таким образом, неравенство равносильно системе:

$\begin{cases} 4 - (x-1)^2 \ge 0 \\ x \ne 1 \end{cases}$

Решим первое неравенство, разложив его левую часть по формуле разности квадратов:

$(2 - (x-1))(2 + (x-1)) \ge 0$

$(3 - x)(x + 1) \ge 0$

Корни левой части: $x=3$ и $x=-1$. Графиком функции $y=(3-x)(x+1)$ является парабола, ветви которой направлены вниз. Значения функции неотрицательны между корнями, включая их: $x \in [-1, 3]$.

Учитывая ОДЗ ($x \ne 1$), исключаем эту точку из полученного отрезка.

Ответ: $x \in [-1, 1) \cup (1, 3]$

Помогло решение? Оставьте отзыв в комментариях ниже.

Присоединяйтесь к Телеграм-группе @gdz_by_belarus

Присоединиться

Мы подготовили для вас ответ c подробным объяснением домашего задания по алгебре за 9 класс, для упражнения номер 269 расположенного на странице 295 к учебнику 2019 года издания для учащихся школ и гимназий.

Теперь на нашем сайте ГДЗ.ТОП вы всегда легко и бесплатно найдёте условие с правильным ответом на вопрос «Как решить ДЗ» и «Как сделать» задание по алгебре к упражнению №269 (с. 295), авторов: Арефьева (Ирина Глебовна), Пирютко (Ольга Николаевна), учебного пособия издательства Народная асвета.