Номер 271, страница 295 - гдз по алгебре 9 класс учебник Арефьева, Пирютко

Алгебра, 9 класс Учебник, авторы: Арефьева Ирина Глебовна, Пирютко Ольга Николаевна, издательство Народная асвета, Минск, 2019, голубого цвета

Авторы: Арефьева И. Г., Пирютко О. Н.

Тип: Учебник

Издательство: Народная асвета

Год издания: 2019 - 2025

Цвет обложки: голубой, синий с графиком

ISBN: 978-985-03-3077-2

Допущено Министерством образования Республики Беларусь

Популярные ГДЗ в 9 классе

Итоговое повторение. Уравнения, неравенства, системы - номер 271, страница 295.

№271 (с. 295)
Условие. №271 (с. 295)
скриншот условия
Алгебра, 9 класс Учебник, авторы: Арефьева Ирина Глебовна, Пирютко Ольга Николаевна, издательство Народная асвета, Минск, 2019, голубого цвета, страница 295, номер 271, Условие

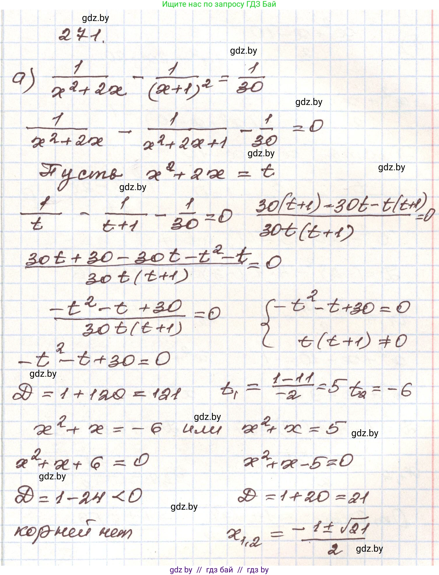
271*. Выполните замену переменной и решите уравнение:

a) $\frac{1}{x^2 + 2x} - \frac{1}{(x+1)^2} = \frac{1}{30}$;

б) $\frac{x^2 + x - 10}{2} - \frac{3}{2x^2 + 2x - 20} = 1.$

Решение. №271 (с. 295)
Алгебра, 9 класс Учебник, авторы: Арефьева Ирина Глебовна, Пирютко Ольга Николаевна, издательство Народная асвета, Минск, 2019, голубого цвета, страница 295, номер 271, Решение Алгебра, 9 класс Учебник, авторы: Арефьева Ирина Глебовна, Пирютко Ольга Николаевна, издательство Народная асвета, Минск, 2019, голубого цвета, страница 295, номер 271, Решение (продолжение 2)
Решение 2. №271 (с. 295)

а) Исходное уравнение: $ \frac{1}{x^2+2x} - \frac{1}{(x+1)^2} = \frac{1}{30} $.

Преобразуем знаменатель второй дроби: $ (x+1)^2 = x^2+2x+1 $. Он отличается от знаменателя первой дроби $ x^2+2x $ лишь на единицу. Это позволяет нам ввести замену переменной для упрощения уравнения.

Пусть $ y = x^2+2x $. Тогда $ (x+1)^2 = y+1 $.

Подставим новую переменную $y$ в уравнение, получим: $$ \frac{1}{y} - \frac{1}{y+1} = \frac{1}{30} $$ Область допустимых значений (ОДЗ) для $y$: $ y \neq 0 $ и $ y+1 \neq 0 $, то есть $ y \neq -1 $.

Приведем дроби в левой части к общему знаменателю: $$ \frac{(y+1) - y}{y(y+1)} = \frac{1}{30} $$ $$ \frac{1}{y(y+1)} = \frac{1}{30} $$

Из этого равенства следует, что $ y(y+1) = 30 $. Раскроем скобки и преобразуем уравнение в квадратное: $$ y^2 + y - 30 = 0 $$

Решим это уравнение относительно $y$ с помощью теоремы Виета: произведение корней равно -30, а их сумма равна -1. Следовательно, корни: $ y_1 = 5 $ и $ y_2 = -6 $. Оба значения удовлетворяют ОДЗ для $y$.

Теперь выполним обратную замену для каждого найденного значения $y$.

1. Случай $ y = 5 $:
$ x^2+2x = 5 \implies x^2+2x-5 = 0 $
Найдем корни через дискриминант: $ D = b^2 - 4ac = 2^2 - 4 \cdot 1 \cdot (-5) = 4 + 20 = 24 $.
$ x = \frac{-2 \pm \sqrt{24}}{2} = \frac{-2 \pm 2\sqrt{6}}{2} = -1 \pm \sqrt{6} $.

2. Случай $ y = -6 $:
$ x^2+2x = -6 \implies x^2+2x+6 = 0 $
Найдем дискриминант: $ D = b^2 - 4ac = 2^2 - 4 \cdot 1 \cdot 6 = 4 - 24 = -20 $.
Так как $ D < 0 $, в этом случае уравнение не имеет действительных корней.

ОДЗ исходного уравнения: $x^2+2x \neq 0 \implies x(x+2) \neq 0 \implies x \neq 0, x \neq -2$. Также $(x+1)^2 \neq 0 \implies x \neq -1$. Найденные корни $ -1 \pm \sqrt{6} $ удовлетворяют этим условиям.

Ответ: $ -1 \pm \sqrt{6} $.

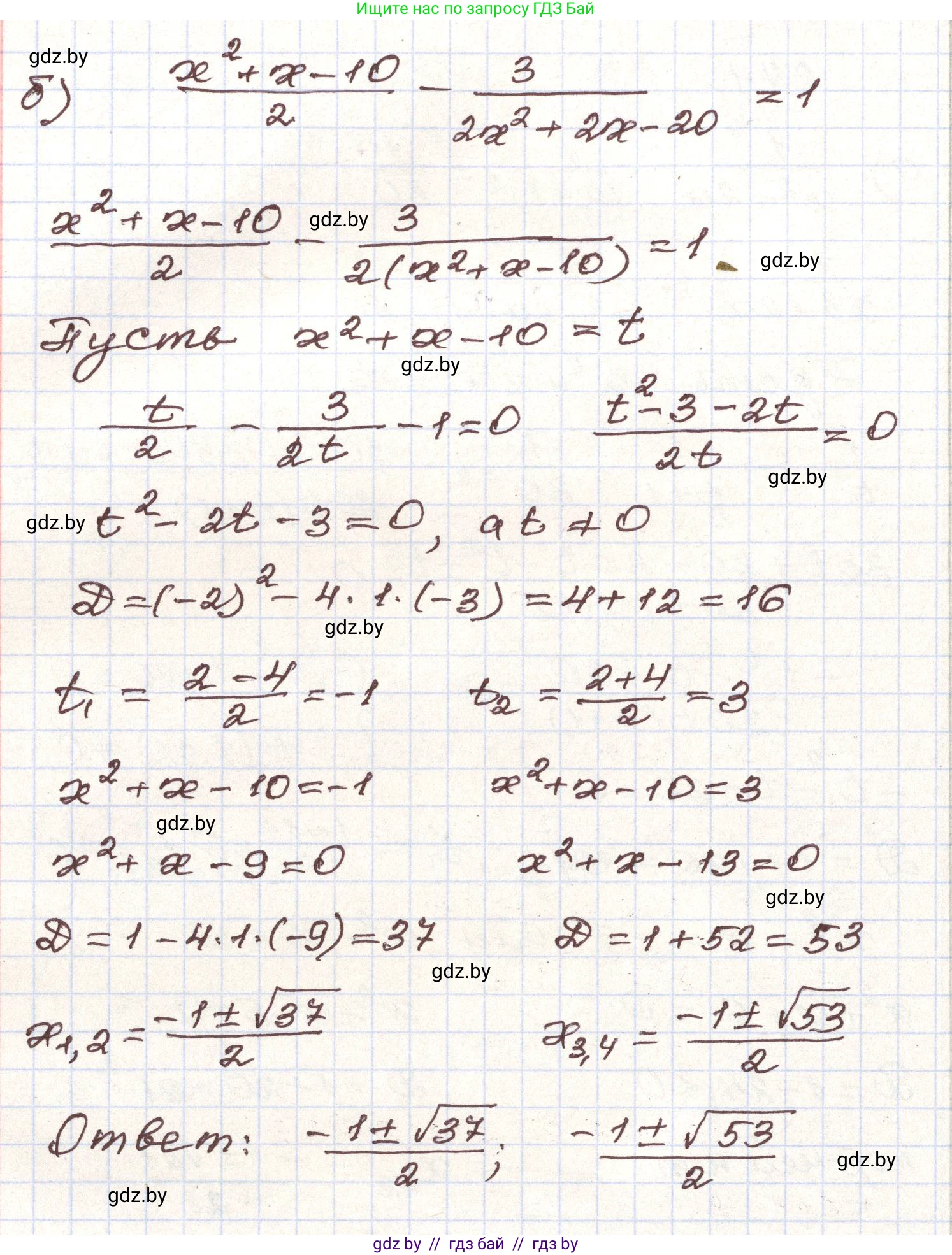
б) Исходное уравнение: $ \frac{x^2+x-10}{2} - \frac{3}{2x^2+2x-20} = 1 $.

Заметим, что знаменатель второй дроби можно преобразовать, вынеся 2 за скобки: $ 2x^2+2x-20 = 2(x^2+x-10) $. Выражение в скобках совпадает с числителем первой дроби.

Сделаем замену переменной: пусть $ y = x^2+x-10 $.

Подставив $y$ в уравнение, получим: $$ \frac{y}{2} - \frac{3}{2y} = 1 $$ ОДЗ для $y$: $ y \neq 0 $.

Чтобы избавиться от дробей, умножим обе части уравнения на $2y$:
$ y^2 - 3 = 2y $
$ y^2 - 2y - 3 = 0 $

Решим полученное квадратное уравнение по теореме Виета: произведение корней равно -3, а их сумма равна 2. Следовательно, корни: $ y_1 = 3 $ и $ y_2 = -1 $. Оба значения удовлетворяют ОДЗ для $y$.

Выполним обратную замену для каждого значения $y$.

1. Случай $ y = 3 $:
$ x^2+x-10 = 3 \implies x^2+x-13 = 0 $
$ D = 1^2 - 4 \cdot 1 \cdot (-13) = 1 + 52 = 53 $
$ x = \frac{-1 \pm \sqrt{53}}{2} $.

2. Случай $ y = -1 $:
$ x^2+x-10 = -1 \implies x^2+x-9 = 0 $
$ D = 1^2 - 4 \cdot 1 \cdot (-9) = 1 + 36 = 37 $
$ x = \frac{-1 \pm \sqrt{37}}{2} $.

ОДЗ исходного уравнения $2x^2+2x-20 \neq 0$ равносильно $x^2+x-10 \neq 0$, то есть $y \neq 0$. Так как наши значения $y=3$ и $y=-1$ не равны нулю, все четыре найденных корня являются решениями.

Ответ: $ \frac{-1 \pm \sqrt{53}}{2}; \frac{-1 \pm \sqrt{37}}{2} $.

Помогло решение? Оставьте отзыв в комментариях ниже.

Присоединяйтесь к Телеграм-группе @gdz_by_belarus

Присоединиться

Мы подготовили для вас ответ c подробным объяснением домашего задания по алгебре за 9 класс, для упражнения номер 271 расположенного на странице 295 к учебнику 2019 года издания для учащихся школ и гимназий.

Теперь на нашем сайте ГДЗ.ТОП вы всегда легко и бесплатно найдёте условие с правильным ответом на вопрос «Как решить ДЗ» и «Как сделать» задание по алгебре к упражнению №271 (с. 295), авторов: Арефьева (Ирина Глебовна), Пирютко (Ольга Николаевна), учебного пособия издательства Народная асвета.