Номер 270, страница 295 - гдз по алгебре 9 класс учебник Арефьева, Пирютко

Алгебра, 9 класс Учебник, авторы: Арефьева Ирина Глебовна, Пирютко Ольга Николаевна, издательство Народная асвета, Минск, 2019, голубого цвета

Авторы: Арефьева И. Г., Пирютко О. Н.

Тип: Учебник

Издательство: Народная асвета

Год издания: 2019 - 2025

Цвет обложки: голубой, синий с графиком

ISBN: 978-985-03-3077-2

Допущено Министерством образования Республики Беларусь

Популярные ГДЗ в 9 классе

Итоговое повторение. Уравнения, неравенства, системы - номер 270, страница 295.

№270 (с. 295)
Условие. №270 (с. 295)
скриншот условия
Алгебра, 9 класс Учебник, авторы: Арефьева Ирина Глебовна, Пирютко Ольга Николаевна, издательство Народная асвета, Минск, 2019, голубого цвета, страница 295, номер 270, Условие

270. Найдите область определения функции:

а) $y = \sqrt{\frac{x - 10}{3 - x}}$;

б) $y = \sqrt{\frac{x^2 - 5x + 12}{3 + 2x - x^2}}$;

в) $y = \sqrt{\frac{x^2 - 3x - 10}{x^4 - 9x^2}}$;

г) $y = \sqrt{\frac{1 - x}{x^2 - 4x + 4}} + \sqrt{x^2 - x}$.

Решение. №270 (с. 295)
Алгебра, 9 класс Учебник, авторы: Арефьева Ирина Глебовна, Пирютко Ольга Николаевна, издательство Народная асвета, Минск, 2019, голубого цвета, страница 295, номер 270, Решение Алгебра, 9 класс Учебник, авторы: Арефьева Ирина Глебовна, Пирютко Ольга Николаевна, издательство Народная асвета, Минск, 2019, голубого цвета, страница 295, номер 270, Решение (продолжение 2)
Решение 2. №270 (с. 295)

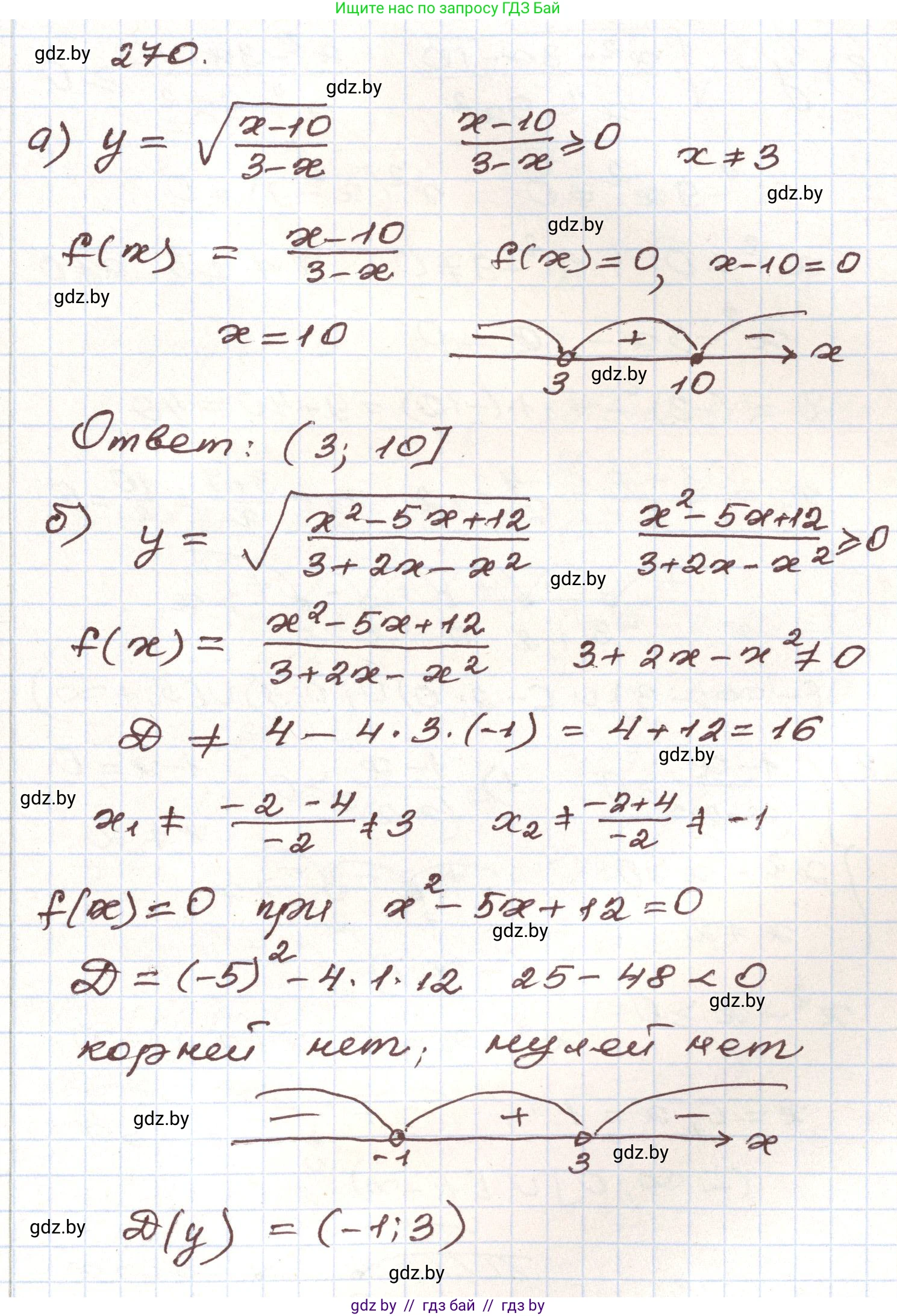
а) Область определения функции $y = \sqrt{\frac{x-10}{3-x}}$ задается условием, что выражение под знаком корня должно быть неотрицательным, а знаменатель не должен равняться нулю. Это приводит к системе неравенств:

$\frac{x-10}{3-x} \ge 0$

Решим это неравенство методом интервалов.

1. Найдем нули числителя и знаменателя:
$x-10=0 \implies x=10$
$3-x=0 \implies x=3$

2. Отметим эти точки на числовой прямой. Точка $x=10$ включается в решение (неравенство нестрогое), а точка $x=3$ исключается (знаменатель не может быть равен нулю).

3. Определим знак выражения на каждом из интервалов: $(-\infty, 3)$, $(3, 10]$, $[10, +\infty)$.
- При $x \in (-\infty, 3)$, например $x=0$, дробь $\frac{0-10}{3-0} = -\frac{10}{3} < 0$.
- При $x \in (3, 10]$, например $x=4$, дробь $\frac{4-10}{3-4} = \frac{-6}{-1} = 6 > 0$.
- При $x \in [10, +\infty)$, например $x=11$, дробь $\frac{11-10}{3-11} = \frac{1}{-8} < 0$.

Неравенство выполняется на интервале $(3, 10]$.
Ответ: $(3, 10]$.

б) Область определения функции $y = \sqrt{\frac{x^2 - 5x + 12}{3 + 2x - x^2}}$ задается условием:

$\frac{x^2 - 5x + 12}{3 + 2x - x^2} \ge 0$

1. Рассмотрим числитель $x^2 - 5x + 12$. Найдем его дискриминант:
$D = (-5)^2 - 4 \cdot 1 \cdot 12 = 25 - 48 = -23$.
Поскольку $D < 0$ и коэффициент при $x^2$ положителен ($a=1>0$), числитель $x^2 - 5x + 12$ всегда положителен при любом значении $x$.

2. Так как числитель всегда положителен, знак дроби определяется знаком знаменателя. Неравенство равносильно следующему:
$3 + 2x - x^2 > 0$
Знак строгий, так как знаменатель не может быть равен нулю.

3. Решим квадратное неравенство $-x^2 + 2x + 3 > 0$. Найдем корни соответствующего уравнения $x^2 - 2x - 3 = 0$. По теореме Виета, корни $x_1 = 3$ и $x_2 = -1$.
Парабола $y = -x^2 + 2x + 3$ имеет ветви, направленные вниз, и пересекает ось Ox в точках $x=-1$ и $x=3$. Следовательно, она принимает положительные значения между корнями.

Таким образом, решение неравенства: $-1 < x < 3$.
Ответ: $(-1, 3)$.

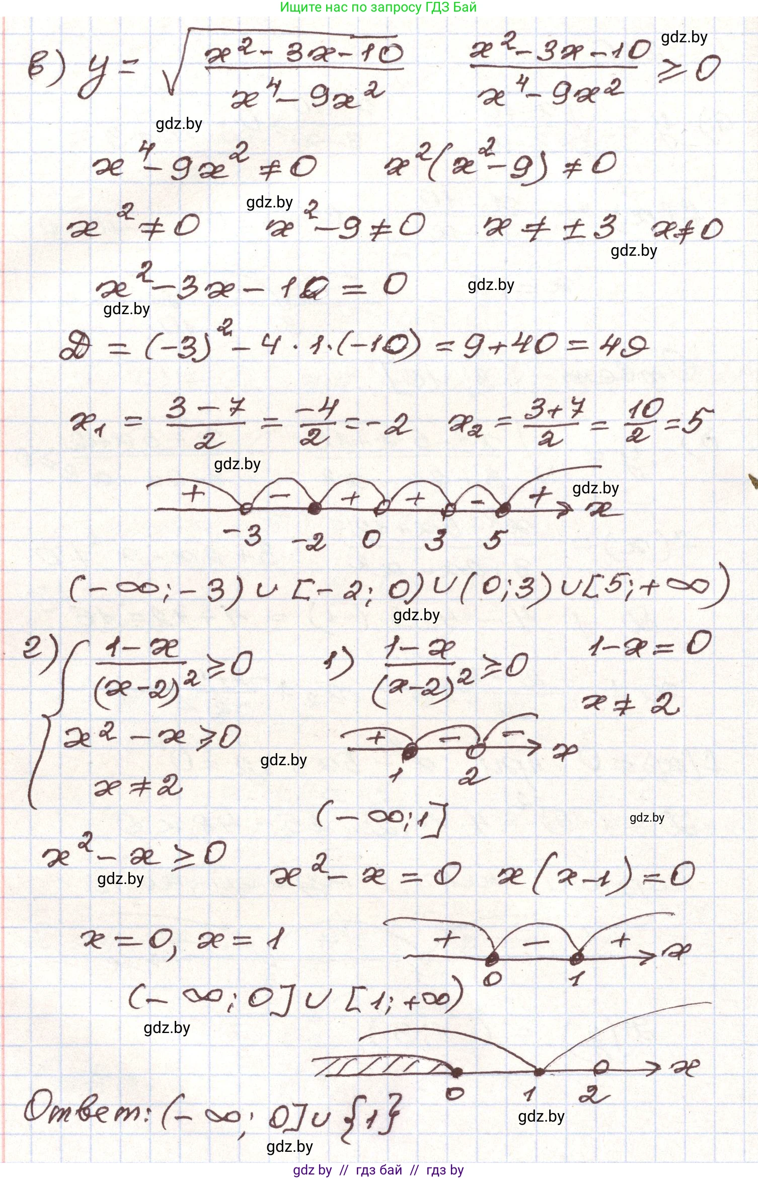
в) Область определения функции $y = \sqrt{\frac{x^2 - 3x - 10}{x^4 - 9x^2}}$ задается условием:

$\frac{x^2 - 3x - 10}{x^4 - 9x^2} \ge 0$

1. Разложим числитель и знаменатель на множители.
Числитель: $x^2 - 3x - 10 = (x-5)(x+2)$, так как корни уравнения $x^2 - 3x - 10 = 0$ равны $x_1=5$ и $x_2=-2$.
Знаменатель: $x^4 - 9x^2 = x^2(x^2 - 9) = x^2(x-3)(x+3)$.

2. Неравенство принимает вид:
$\frac{(x-5)(x+2)}{x^2(x-3)(x+3)} \ge 0$
Знаменатель не должен равняться нулю, поэтому $x \neq 0$, $x \neq 3$, $x \neq -3$.

3. Решим неравенство методом интервалов. Отметим на числовой прямой нули числителя ($x=5, x=-2$ – закрашенные точки) и нули знаменателя ($x=-3, x=0, x=3$ – выколотые точки).
Множитель $x^2$ в знаменателе всегда положителен при $x \neq 0$, поэтому при переходе через точку $x=0$ знак выражения не меняется.

4. Определим знаки на интервалах:
- $(-\infty, -3)$: $+$
- $(-3, -2]$: $-$
- $[-2, 0)$: $+$
- $(0, 3)$: $+$
- $(3, 5]$: $-$
- $[5, +\infty)$: $+$

Объединяя интервалы, на которых выражение неотрицательно, получаем решение.
Ответ: $(-\infty, -3) \cup [-2, 0) \cup (0, 3) \cup [5, +\infty)$.

г) Область определения данной функции является пересечением областей определения двух слагаемых: $y_1 = \sqrt{\frac{1-x}{x^2 - 4x + 4}}$ и $y_2 = \sqrt{x^2 - x}$.

1. Для $y_1 = \sqrt{\frac{1-x}{x^2 - 4x + 4}}$ должно выполняться условие:
$\frac{1-x}{x^2 - 4x + 4} \ge 0$
Знаменатель $x^2 - 4x + 4 = (x-2)^2$. Он не равен нулю при $x \neq 2$ и положителен при всех $x \neq 2$.
Следовательно, неравенство сводится к $1-x \ge 0$, откуда $x \le 1$. Условие $x \neq 2$ выполняется автоматически.
Область определения $D_1 = (-\infty, 1]$.

2. Для $y_2 = \sqrt{x^2 - x}$ должно выполняться условие:
$x^2 - x \ge 0 \implies x(x-1) \ge 0$
Корни $x=0$ и $x=1$. Парабола $y=x^2-x$ ветвями вверх, значит, неравенство выполняется при $x \le 0$ или $x \ge 1$.
Область определения $D_2 = (-\infty, 0] \cup [1, +\infty)$.

3. Итоговая область определения – это пересечение $D_1$ и $D_2$:
$D = D_1 \cap D_2 = (-\infty, 1] \cap \left( (-\infty, 0] \cup [1, +\infty) \right)$
Пересечением является множество $(-\infty, 0]$ и отдельная точка $\{1\}$.
Ответ: $(-\infty, 0] \cup \{1\}$.

Помогло решение? Оставьте отзыв в комментариях ниже.

Присоединяйтесь к Телеграм-группе @gdz_by_belarus

Присоединиться

Мы подготовили для вас ответ c подробным объяснением домашего задания по алгебре за 9 класс, для упражнения номер 270 расположенного на странице 295 к учебнику 2019 года издания для учащихся школ и гимназий.

Теперь на нашем сайте ГДЗ.ТОП вы всегда легко и бесплатно найдёте условие с правильным ответом на вопрос «Как решить ДЗ» и «Как сделать» задание по алгебре к упражнению №270 (с. 295), авторов: Арефьева (Ирина Глебовна), Пирютко (Ольга Николаевна), учебного пособия издательства Народная асвета.