Номер 1.354, страница 114 - гдз по алгебре 10 класс учебник Арефьева, Пирютко

Алгебра, 10 класс Учебник, авторы: Арефьева Ирина Глебовна, Пирютко Ольга Николаевна, издательство Народная асвета, Минск, 2019, голубого цвета

Авторы: Арефьева И. Г., Пирютко О. Н.

Тип: Учебник

Издательство: Народная асвета

Год издания: 2019 - 2025

Цвет обложки: голубой с графиком

Допущено Министерством образования Республики Беларусь

Популярные ГДЗ в 10 классе

Глава 1. Тригонометрия. Параграф 8. Тригонометрические уравнения - номер 1.354, страница 114.

№1.354 (с. 114)
Условие. №1.354 (с. 114)
скриншот условия
Алгебра, 10 класс Учебник, авторы: Арефьева Ирина Глебовна, Пирютко Ольга Николаевна, издательство Народная асвета, Минск, 2019, голубого цвета, страница 114, номер 1.354, Условие

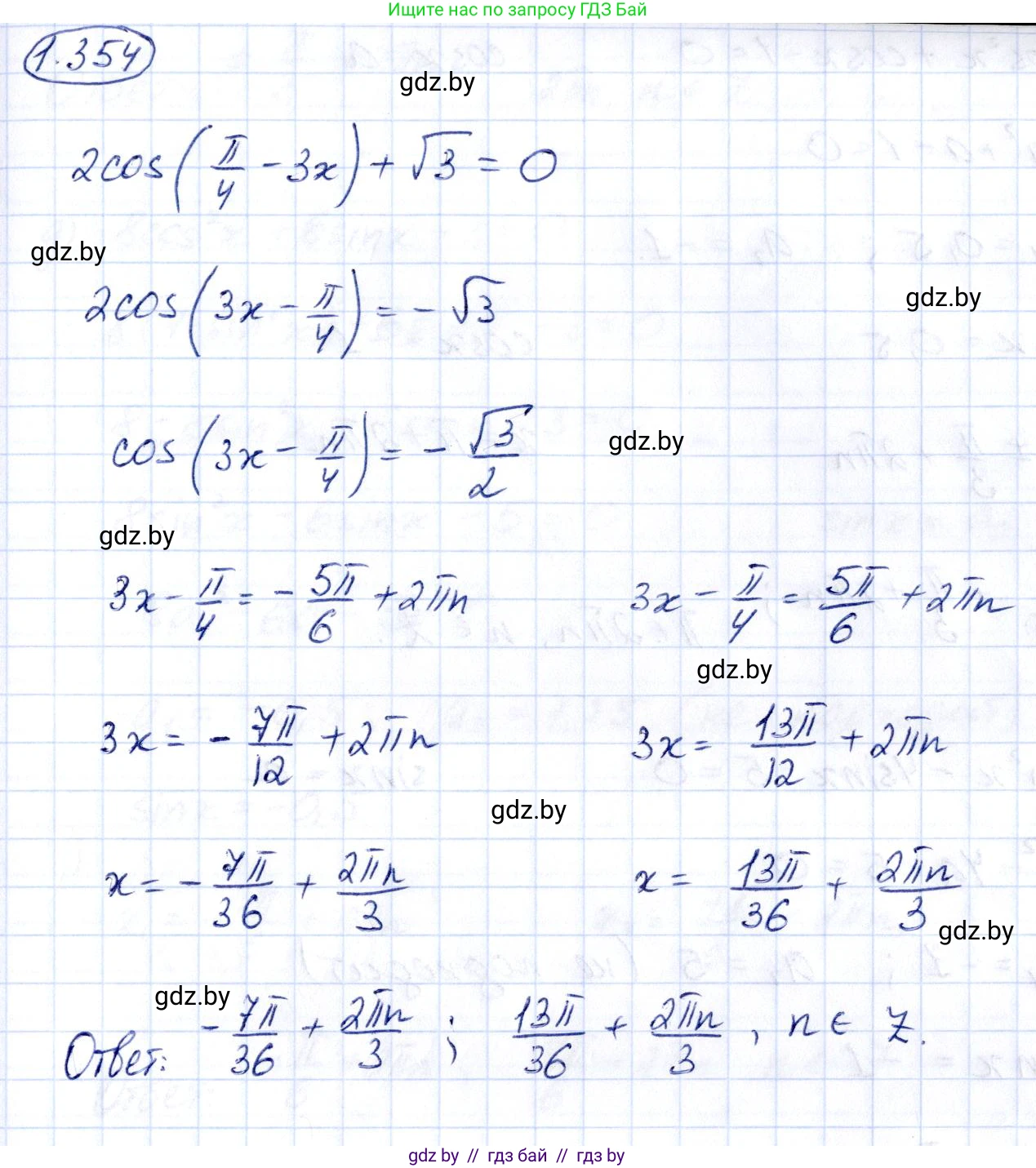
1.354. Найдите нули функции $f(x) = 2\cos\left(\frac{\pi}{4} - 3x\right) + \sqrt{3}$.

Решение. №1.354 (с. 114)
Алгебра, 10 класс Учебник, авторы: Арефьева Ирина Глебовна, Пирютко Ольга Николаевна, издательство Народная асвета, Минск, 2019, голубого цвета, страница 114, номер 1.354, Решение
Решение 2. №1.354 (с. 114)

Для нахождения нулей функции необходимо приравнять значение функции к нулю и решить полученное уравнение:

$f(x) = 0$

$2\cos(\frac{\pi}{4} - 3x) + \sqrt{3} = 0$

Изолируем косинус:

$2\cos(\frac{\pi}{4} - 3x) = -\sqrt{3}$

$\cos(\frac{\pi}{4} - 3x) = -\frac{\sqrt{3}}{2}$

Так как косинус — четная функция, то есть $\cos(-\alpha) = \cos(\alpha)$, мы можем записать:

$\cos(3x - \frac{\pi}{4}) = -\frac{\sqrt{3}}{2}$

Общее решение уравнения $\cos(t) = a$ имеет вид $t = \pm \arccos(a) + 2\pi n$, где $n \in \mathbb{Z}$. В нашем случае $t = 3x - \frac{\pi}{4}$ и $a = -\frac{\sqrt{3}}{2}$.

Значение арккосинуса: $\arccos(-\frac{\sqrt{3}}{2}) = \frac{5\pi}{6}$.

Подставляем значение в общее решение:

$3x - \frac{\pi}{4} = \pm \frac{5\pi}{6} + 2\pi n$

Теперь выразим $x$. Сначала перенесем $\frac{\pi}{4}$ в правую часть:

$3x = \frac{\pi}{4} \pm \frac{5\pi}{6} + 2\pi n$

Разобьем решение на два случая:

1. Используем знак "+":

$3x = \frac{\pi}{4} + \frac{5\pi}{6} + 2\pi n$

Приводим дроби к общему знаменателю 12:

$3x = \frac{3\pi}{12} + \frac{10\pi}{12} + 2\pi n = \frac{13\pi}{12} + 2\pi n$

Делим обе части на 3:

$x_1 = \frac{13\pi}{36} + \frac{2\pi n}{3}$

2. Используем знак "−":

$3x = \frac{\pi}{4} - \frac{5\pi}{6} + 2\pi n$

Приводим дроби к общему знаменателю 12:

$3x = \frac{3\pi}{12} - \frac{10\pi}{12} + 2\pi n = -\frac{7\pi}{12} + 2\pi n$

Делим обе части на 3:

$x_2 = -\frac{7\pi}{36} + \frac{2\pi n}{3}$

Ответ: $x = \frac{13\pi}{36} + \frac{2\pi n}{3}$ и $x = -\frac{7\pi}{36} + \frac{2\pi n}{3}$, где $n \in \mathbb{Z}$.

Помогло решение? Оставьте отзыв в комментариях ниже.

Присоединяйтесь к Телеграм-группе @gdz_by_belarus

Присоединиться

Мы подготовили для вас ответ c подробным объяснением домашего задания по алгебре за 10 класс, для упражнения номер 1.354 расположенного на странице 114 к учебнику 2019 года издания для учащихся школ и гимназий.

Теперь на нашем сайте ГДЗ.ТОП вы всегда легко и бесплатно найдёте условие с правильным ответом на вопрос «Как решить ДЗ» и «Как сделать» задание по алгебре к упражнению №1.354 (с. 114), авторов: Арефьева (Ирина Глебовна), Пирютко (Ольга Николаевна), учебного пособия издательства Народная асвета.