Номер 1.357, страница 115 - гдз по алгебре 10 класс учебник Арефьева, Пирютко

Алгебра, 10 класс Учебник, авторы: Арефьева Ирина Глебовна, Пирютко Ольга Николаевна, издательство Народная асвета, Минск, 2019, голубого цвета

Авторы: Арефьева И. Г., Пирютко О. Н.

Тип: Учебник

Издательство: Народная асвета

Год издания: 2019 - 2025

Цвет обложки: голубой с графиком

Допущено Министерством образования Республики Беларусь

Популярные ГДЗ в 10 классе

Глава 1. Тригонометрия. Параграф 8. Тригонометрические уравнения - номер 1.357, страница 115.

№1.357 (с. 115)
Условие. №1.357 (с. 115)
скриншот условия
Алгебра, 10 класс Учебник, авторы: Арефьева Ирина Глебовна, Пирютко Ольга Николаевна, издательство Народная асвета, Минск, 2019, голубого цвета, страница 115, номер 1.357, Условие

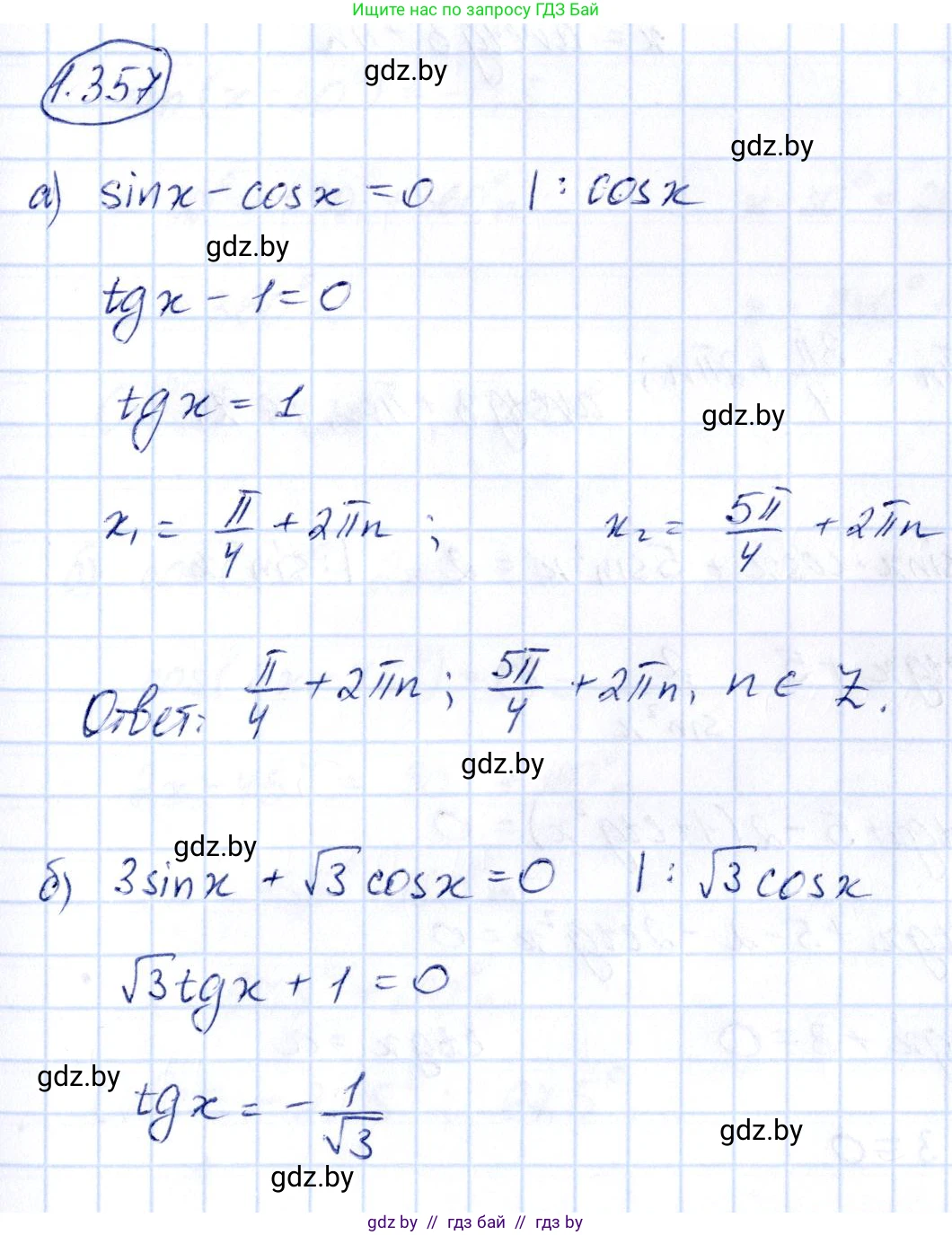
1.357. Решите уравнение, используя метод решения однородных уравнений:

a) $\sin x - \cos x = 0;$

б) $\boldsymbol{3\sin x + \sqrt{3}\cos x = 0;}$

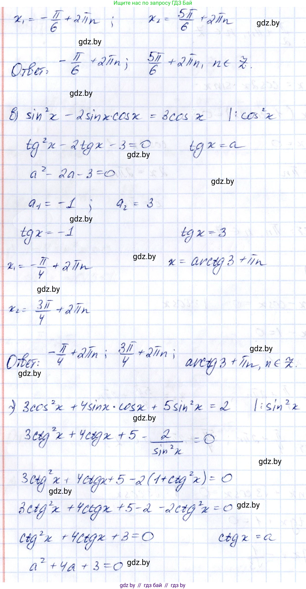
в) $\sin^2 x - 2\sin x \cos x = 3\cos^2 x;$

г) $3\cos^2 x + 4\sin x \cos x + 5\sin^2 x = 2.$

Решение. №1.357 (с. 115)
Алгебра, 10 класс Учебник, авторы: Арефьева Ирина Глебовна, Пирютко Ольга Николаевна, издательство Народная асвета, Минск, 2019, голубого цвета, страница 115, номер 1.357, Решение Алгебра, 10 класс Учебник, авторы: Арефьева Ирина Глебовна, Пирютко Ольга Николаевна, издательство Народная асвета, Минск, 2019, голубого цвета, страница 115, номер 1.357, Решение (продолжение 2)
Решение 2. №1.357 (с. 115)

а) $ \sin x - \cos x = 0 $

Это однородное тригонометрическое уравнение первой степени. Чтобы его решить, разделим обе части уравнения на $ \cos x $. Предварительно убедимся, что $ \cos x \neq 0 $. Если предположить, что $ \cos x = 0 $, то из основного тригонометрического тождества $ \sin^2 x + \cos^2 x = 1 $ следует, что $ \sin^2 x = 1 $, то есть $ \sin x = \pm 1 $. Подставив эти значения в исходное уравнение, получим $ \pm 1 - 0 = 0 $, что неверно. Следовательно, $ \cos x \neq 0 $, и мы можем делить на него.

$ \frac{\sin x}{\cos x} - \frac{\cos x}{\cos x} = 0 $

$ \tan x - 1 = 0 $

$ \tan x = 1 $

Решением этого простейшего тригонометрического уравнения является серия корней:

$ x = \arctan(1) + \pi k, \quad k \in \mathbb{Z} $

$ x = \frac{\pi}{4} + \pi k, \quad k \in \mathbb{Z} $

Ответ: $ x = \frac{\pi}{4} + \pi k, \quad k \in \mathbb{Z} $

б) $ 3\sin x + \sqrt{3}\cos x = 0 $

Это также однородное тригонометрическое уравнение первой степени. Проверим случай $ \cos x = 0 $. Если $ \cos x = 0 $, то $ \sin x = \pm 1 $. Подставим в уравнение: $ 3(\pm 1) + \sqrt{3}(0) = 0 $, то есть $ \pm 3 = 0 $, что неверно. Значит, $ \cos x \neq 0 $, и мы можем разделить обе части уравнения на $ \cos x $.

$ \frac{3\sin x}{\cos x} + \frac{\sqrt{3}\cos x}{\cos x} = 0 $

$ 3\tan x + \sqrt{3} = 0 $

$ 3\tan x = -\sqrt{3} $

$ \tan x = -\frac{\sqrt{3}}{3} $

Решением этого уравнения является серия корней:

$ x = \arctan\left(-\frac{\sqrt{3}}{3}\right) + \pi k, \quad k \in \mathbb{Z} $

$ x = -\frac{\pi}{6} + \pi k, \quad k \in \mathbb{Z} $

Ответ: $ x = -\frac{\pi}{6} + \pi k, \quad k \in \mathbb{Z} $

в) $ \sin^2 x - 2\sin x \cos x = 3\cos^2 x $

Перенесем все члены в левую часть, чтобы получить однородное уравнение второй степени:

$ \sin^2 x - 2\sin x \cos x - 3\cos^2 x = 0 $

Проверим случай $ \cos x = 0 $. Если $ \cos x = 0 $, то $ \sin^2 x = 1 $. Подставив в уравнение, получим $ 1 - 2 \cdot 0 - 3 \cdot 0 = 0 $, то есть $ 1 = 0 $, что неверно. Значит, $ \cos x \neq 0 $, и мы можем разделить обе части уравнения на $ \cos^2 x $.

$ \frac{\sin^2 x}{\cos^2 x} - \frac{2\sin x \cos x}{\cos^2 x} - \frac{3\cos^2 x}{\cos^2 x} = 0 $

$ \tan^2 x - 2\tan x - 3 = 0 $

Получили квадратное уравнение относительно $ \tan x $. Сделаем замену $ t = \tan x $:

$ t^2 - 2t - 3 = 0 $

Решим это квадратное уравнение. По теореме Виета, корни $ t_1 = 3 $ и $ t_2 = -1 $.

Выполним обратную замену:

1) $ \tan x = 3 \implies x = \arctan(3) + \pi k, \quad k \in \mathbb{Z} $

2) $ \tan x = -1 \implies x = \arctan(-1) + \pi n, \quad n \in \mathbb{Z} \implies x = -\frac{\pi}{4} + \pi n, \quad n \in \mathbb{Z} $

Ответ: $ x = \arctan(3) + \pi k, \quad x = -\frac{\pi}{4} + \pi n, \quad k, n \in \mathbb{Z} $

г) $ 3\cos^2 x + 4\sin x \cos x + 5\sin^2 x = 2 $

Это уравнение можно свести к однородному, используя основное тригонометрическое тождество $ 1 = \sin^2 x + \cos^2 x $. Заменим число 2 в правой части на $ 2(\sin^2 x + \cos^2 x) $.

$ 3\cos^2 x + 4\sin x \cos x + 5\sin^2 x = 2(\sin^2 x + \cos^2 x) $

$ 3\cos^2 x + 4\sin x \cos x + 5\sin^2 x = 2\sin^2 x + 2\cos^2 x $

Перенесем все члены в левую часть и приведем подобные:

$ (5\sin^2 x - 2\sin^2 x) + 4\sin x \cos x + (3\cos^2 x - 2\cos^2 x) = 0 $

$ 3\sin^2 x + 4\sin x \cos x + \cos^2 x = 0 $

Получили однородное уравнение второй степени. Проверим случай $ \cos x = 0 $. Если $ \cos x = 0 $, то $ \sin^2 x = 1 $. Подставим в уравнение: $ 3(1) + 4 \cdot 0 + 0 = 0 $, то есть $ 3 = 0 $, что неверно. Значит, $ \cos x \neq 0 $, и мы можем разделить обе части уравнения на $ \cos^2 x $.

$ \frac{3\sin^2 x}{\cos^2 x} + \frac{4\sin x \cos x}{\cos^2 x} + \frac{\cos^2 x}{\cos^2 x} = 0 $

$ 3\tan^2 x + 4\tan x + 1 = 0 $

Сделаем замену $ t = \tan x $:

$ 3t^2 + 4t + 1 = 0 $

Решим квадратное уравнение через дискриминант:

$ D = 4^2 - 4 \cdot 3 \cdot 1 = 16 - 12 = 4 $

$ t_{1,2} = \frac{-4 \pm \sqrt{4}}{2 \cdot 3} = \frac{-4 \pm 2}{6} $

$ t_1 = \frac{-4 + 2}{6} = \frac{-2}{6} = -\frac{1}{3} $

$ t_2 = \frac{-4 - 2}{6} = \frac{-6}{6} = -1 $

Выполним обратную замену:

1) $ \tan x = -1 \implies x = \arctan(-1) + \pi k, \quad k \in \mathbb{Z} \implies x = -\frac{\pi}{4} + \pi k, \quad k \in \mathbb{Z} $

2) $ \tan x = -\frac{1}{3} \implies x = \arctan\left(-\frac{1}{3}\right) + \pi n, \quad n \in \mathbb{Z} \implies x = -\arctan\left(\frac{1}{3}\right) + \pi n, \quad n \in \mathbb{Z} $

Ответ: $ x = -\frac{\pi}{4} + \pi k, \quad x = -\arctan\left(\frac{1}{3}\right) + \pi n, \quad k, n \in \mathbb{Z} $

Помогло решение? Оставьте отзыв в комментариях ниже.

Присоединяйтесь к Телеграм-группе @gdz_by_belarus

Присоединиться

Мы подготовили для вас ответ c подробным объяснением домашего задания по алгебре за 10 класс, для упражнения номер 1.357 расположенного на странице 115 к учебнику 2019 года издания для учащихся школ и гимназий.

Теперь на нашем сайте ГДЗ.ТОП вы всегда легко и бесплатно найдёте условие с правильным ответом на вопрос «Как решить ДЗ» и «Как сделать» задание по алгебре к упражнению №1.357 (с. 115), авторов: Арефьева (Ирина Глебовна), Пирютко (Ольга Николаевна), учебного пособия издательства Народная асвета.