Номер 1.355, страница 114 - гдз по алгебре 10 класс учебник Арефьева, Пирютко

Алгебра, 10 класс Учебник, авторы: Арефьева Ирина Глебовна, Пирютко Ольга Николаевна, издательство Народная асвета, Минск, 2019, голубого цвета

Авторы: Арефьева И. Г., Пирютко О. Н.

Тип: Учебник

Издательство: Народная асвета

Год издания: 2019 - 2025

Цвет обложки: голубой с графиком

Допущено Министерством образования Республики Беларусь

Популярные ГДЗ в 10 классе

Глава 1. Тригонометрия. Параграф 8. Тригонометрические уравнения - номер 1.355, страница 114.

№1.355 (с. 114)
Условие. №1.355 (с. 114)
скриншот условия
Алгебра, 10 класс Учебник, авторы: Арефьева Ирина Глебовна, Пирютко Ольга Николаевна, издательство Народная асвета, Минск, 2019, голубого цвета, страница 114, номер 1.355, Условие

1.355. Решите уравнение, выполнив замену переменной:

a) $\cos^2 x + \cos x - 2 = 0$;

б) $2\cos^2 x + \cos x - 1 = 0$;

в) $\sin^2 x - 4\sin x - 5 = 0$;

г) $2\cos^2 x - 3\cos x + 1 = 0$;

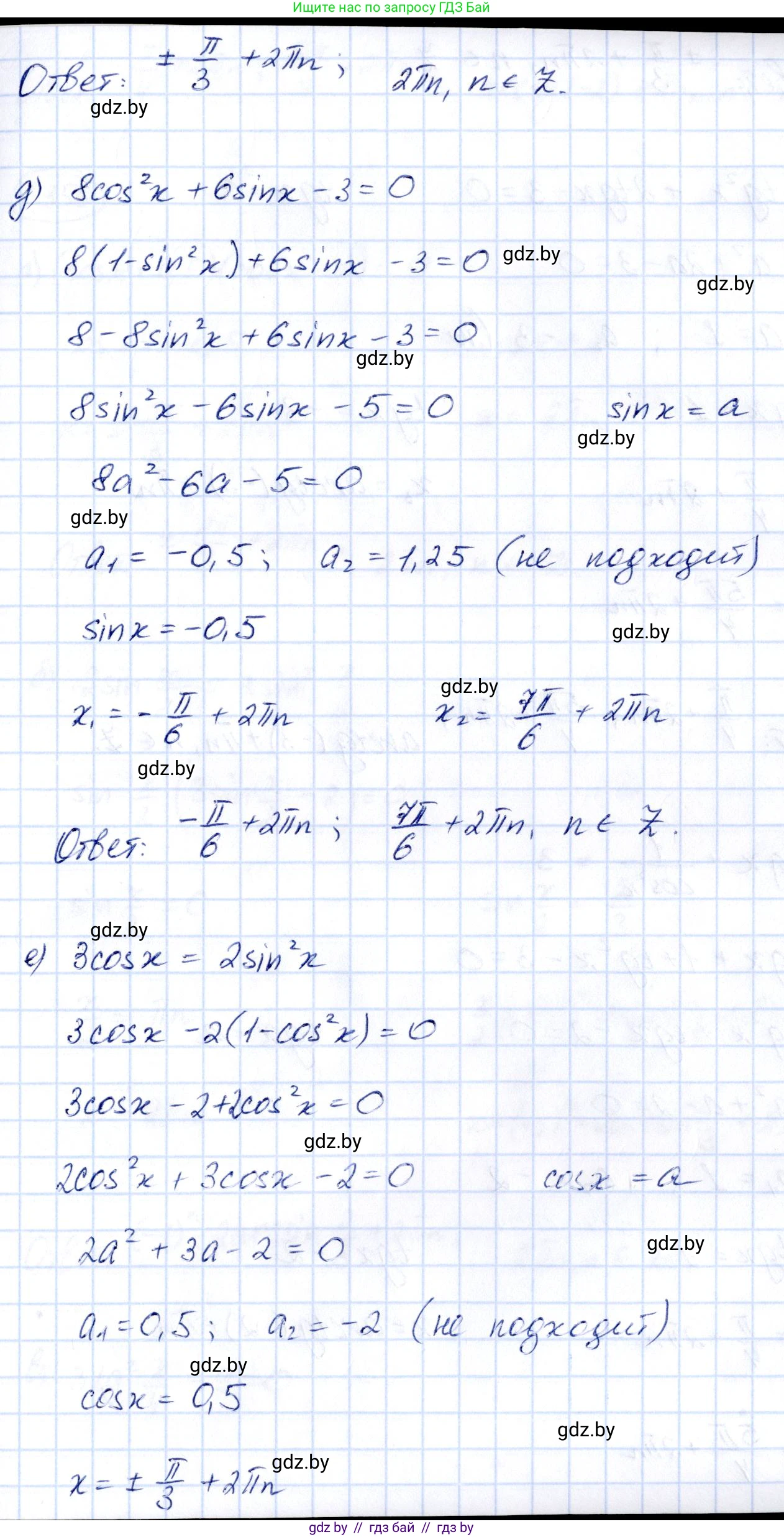
д) $8\cos^2 x + 6\sin x - 3 = 0$;

е) $3\cos x = 2\sin^2 x$;

ж) $\text{tg}^2 x + 2\text{tg} x - 3 = 0$;

з) $\text{tg} x + \frac{1}{\cos^2 x} = 3$.

Решение. №1.355 (с. 114)
Алгебра, 10 класс Учебник, авторы: Арефьева Ирина Глебовна, Пирютко Ольга Николаевна, издательство Народная асвета, Минск, 2019, голубого цвета, страница 114, номер 1.355, Решение Алгебра, 10 класс Учебник, авторы: Арефьева Ирина Глебовна, Пирютко Ольга Николаевна, издательство Народная асвета, Минск, 2019, голубого цвета, страница 114, номер 1.355, Решение (продолжение 2)
Решение 2. №1.355 (с. 114)

а) Исходное уравнение: $ \cos^2 x + \cos x - 2 = 0 $.
Это уравнение является квадратным относительно $ \cos x $. Выполним замену переменной: пусть $ t = \cos x $.
Поскольку область значений функции косинус - это отрезок $ [-1, 1] $, то для новой переменной должно выполняться условие $ |t| \le 1 $.
После замены уравнение принимает вид: $ t^2 + t - 2 = 0 $.
Решим это квадратное уравнение. Можно использовать теорему Виета: произведение корней равно -2, а сумма равна -1. Корни: $ t_1 = 1 $ и $ t_2 = -2 $.
Также можно решить через дискриминант: $ D = b^2 - 4ac = 1^2 - 4 \cdot 1 \cdot (-2) = 1 + 8 = 9 $.
Корни уравнения: $ t_{1,2} = \frac{-b \pm \sqrt{D}}{2a} = \frac{-1 \pm \sqrt{9}}{2} = \frac{-1 \pm 3}{2} $.
$ t_1 = \frac{-1 + 3}{2} = 1 $.
$ t_2 = \frac{-1 - 3}{2} = -2 $.
Проверим, удовлетворяют ли корни условию $ |t| \le 1 $:
$ t_1 = 1 $ - удовлетворяет условию.
$ t_2 = -2 $ - не удовлетворяет условию, так как $ |-2| > 1 $. Этот корень является посторонним.
Выполним обратную замену для подходящего корня:
$ \cos x = 1 $.
Это частный случай простейшего тригонометрического уравнения, решением которого является $ x = 2\pi k $, где $ k \in \mathbb{Z} $.
Ответ: $ x = 2\pi k, k \in \mathbb{Z} $.

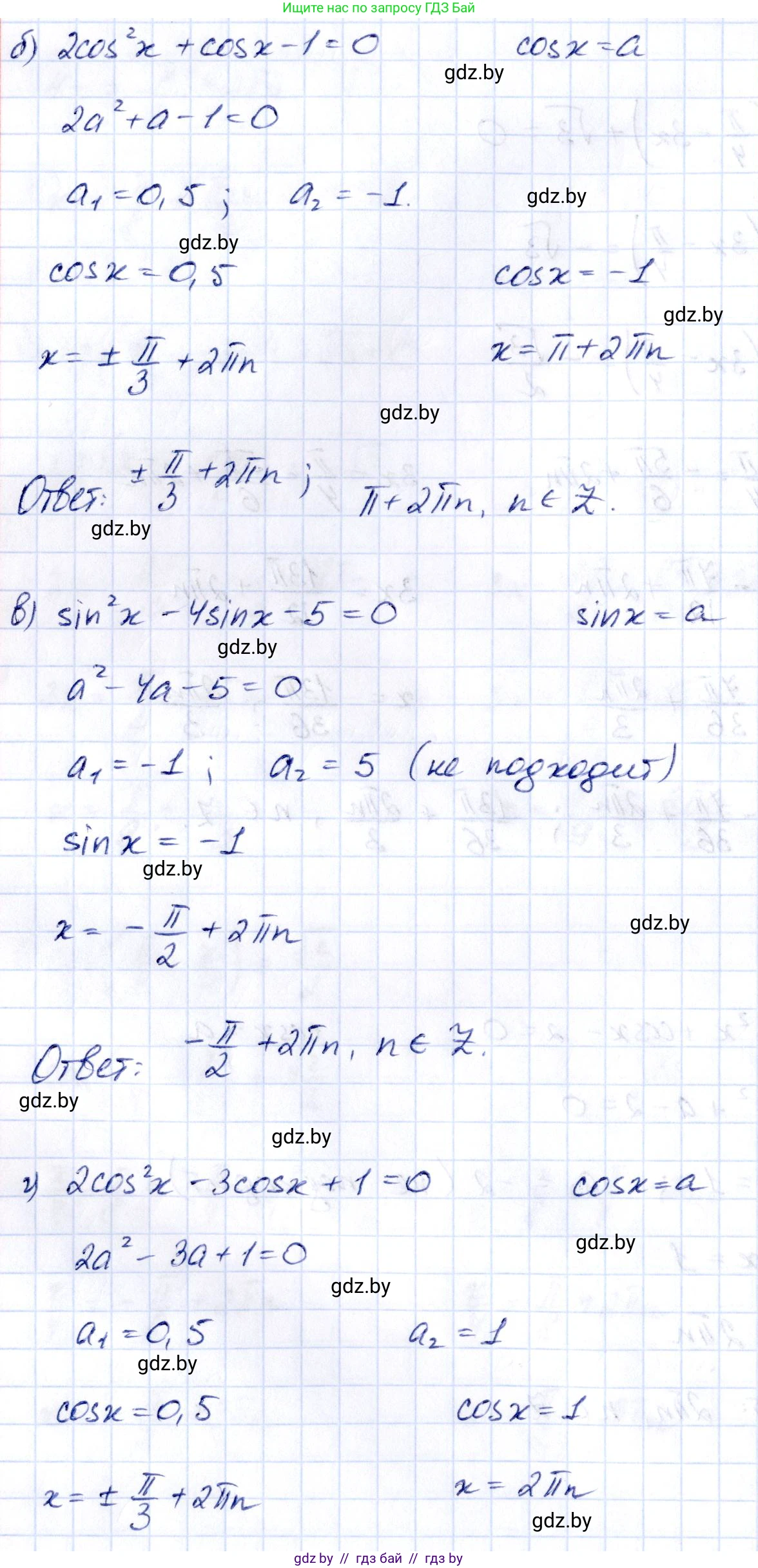
б) Исходное уравнение: $ 2\cos^2 x + \cos x - 1 = 0 $.
Введем замену переменной: $ t = \cos x $, где $ |t| \le 1 $.
Получаем квадратное уравнение: $ 2t^2 + t - 1 = 0 $.
Решим его. Дискриминант $ D = 1^2 - 4 \cdot 2 \cdot (-1) = 1 + 8 = 9 $.
Корни: $ t_{1,2} = \frac{-1 \pm \sqrt{9}}{2 \cdot 2} = \frac{-1 \pm 3}{4} $.
$ t_1 = \frac{-1 + 3}{4} = \frac{2}{4} = \frac{1}{2} $.
$ t_2 = \frac{-1 - 3}{4} = \frac{-4}{4} = -1 $.
Оба корня удовлетворяют условию $ |t| \le 1 $.
Выполним обратную замену для каждого корня:
1) $ \cos x = \frac{1}{2} $. Решение: $ x = \pm \arccos\left(\frac{1}{2}\right) + 2\pi k = \pm \frac{\pi}{3} + 2\pi k $, где $ k \in \mathbb{Z} $.
2) $ \cos x = -1 $. Решение: $ x = \pi + 2\pi n $, где $ n \in \mathbb{Z} $.
Ответ: $ x = \pm \frac{\pi}{3} + 2\pi k, \quad x = \pi + 2\pi n, \quad k, n \in \mathbb{Z} $.

в) Исходное уравнение: $ \sin^2 x - 4\sin x - 5 = 0 $.
Пусть $ t = \sin x $, где $ |t| \le 1 $.
Уравнение сводится к квадратному: $ t^2 - 4t - 5 = 0 $.
По теореме Виета, $ t_1 = 5, t_2 = -1 $.
Проверим корни:
$ t_1 = 5 $ - не удовлетворяет условию $ |t| \le 1 $.
$ t_2 = -1 $ - удовлетворяет условию.
Выполним обратную замену:
$ \sin x = -1 $.
Решение этого уравнения: $ x = -\frac{\pi}{2} + 2\pi k $, где $ k \in \mathbb{Z} $.
Ответ: $ x = -\frac{\pi}{2} + 2\pi k, k \in \mathbb{Z} $.

г) Исходное уравнение: $ 2\cos^2 x - 3\cos x + 1 = 0 $.
Пусть $ t = \cos x $, где $ |t| \le 1 $.
Получаем квадратное уравнение: $ 2t^2 - 3t + 1 = 0 $.
Так как сумма коэффициентов $ 2 - 3 + 1 = 0 $, то корни уравнения $ t_1 = 1 $ и $ t_2 = \frac{c}{a} = \frac{1}{2} $.
Оба корня удовлетворяют условию $ |t| \le 1 $.
Выполним обратную замену:
1) $ \cos x = 1 $. Решение: $ x = 2\pi k $, где $ k \in \mathbb{Z} $.
2) $ \cos x = \frac{1}{2} $. Решение: $ x = \pm \frac{\pi}{3} + 2\pi n $, где $ n \in \mathbb{Z} $.
Ответ: $ x = 2\pi k, \quad x = \pm \frac{\pi}{3} + 2\pi n, \quad k, n \in \mathbb{Z} $.

д) Исходное уравнение: $ 8\cos^2 x + 6\sin x - 3 = 0 $.
Уравнение содержит синус и косинус. Приведем его к одной функции, используя основное тригонометрическое тождество $ \cos^2 x = 1 - \sin^2 x $.
$ 8(1 - \sin^2 x) + 6\sin x - 3 = 0 $
$ 8 - 8\sin^2 x + 6\sin x - 3 = 0 $
$ -8\sin^2 x + 6\sin x + 5 = 0 $
$ 8\sin^2 x - 6\sin x - 5 = 0 $.
Выполним замену: $ t = \sin x $, где $ |t| \le 1 $.
$ 8t^2 - 6t - 5 = 0 $.
Дискриминант $ D = (-6)^2 - 4 \cdot 8 \cdot (-5) = 36 + 160 = 196 = 14^2 $.
$ t_{1,2} = \frac{6 \pm 14}{16} $.
$ t_1 = \frac{20}{16} = \frac{5}{4} $.
$ t_2 = \frac{-8}{16} = -\frac{1}{2} $.
Проверим корни:
$ t_1 = \frac{5}{4} $ - не удовлетворяет условию $ |t| \le 1 $.
$ t_2 = -\frac{1}{2} $ - удовлетворяет условию.
Выполним обратную замену: $ \sin x = -\frac{1}{2} $.
Решения этого уравнения можно записать в виде двух серий:
$ x = -\frac{\pi}{6} + 2\pi k $, где $ k \in \mathbb{Z} $.
$ x = \pi - (-\frac{\pi}{6}) + 2\pi n = \frac{7\pi}{6} + 2\pi n $, где $ n \in \mathbb{Z} $.
Выделим целую часть из неправильной дроби в ответе: $ \frac{7}{6} = 1\frac{1}{6} $.
Ответ: $ x = -\frac{\pi}{6} + 2\pi k, \quad x = 1\frac{1}{6}\pi + 2\pi n, \quad k, n \in \mathbb{Z} $.

е) Исходное уравнение: $ 3\cos x = 2\sin^2 x $.
Используем тождество $ \sin^2 x = 1 - \cos^2 x $:
$ 3\cos x = 2(1 - \cos^2 x) $
$ 3\cos x = 2 - 2\cos^2 x $
$ 2\cos^2 x + 3\cos x - 2 = 0 $.
Пусть $ t = \cos x $, где $ |t| \le 1 $.
$ 2t^2 + 3t - 2 = 0 $.
Дискриминант $ D = 3^2 - 4 \cdot 2 \cdot (-2) = 9 + 16 = 25 $.
$ t_{1,2} = \frac{-3 \pm 5}{4} $.
$ t_1 = \frac{2}{4} = \frac{1}{2} $.
$ t_2 = \frac{-8}{4} = -2 $.
Корень $ t_2 = -2 $ не удовлетворяет условию $ |t| \le 1 $.
Выполним обратную замену для $ t_1 = \frac{1}{2} $:
$ \cos x = \frac{1}{2} $.
Решение: $ x = \pm \frac{\pi}{3} + 2\pi k $, где $ k \in \mathbb{Z} $.
Ответ: $ x = \pm \frac{\pi}{3} + 2\pi k, k \in \mathbb{Z} $.

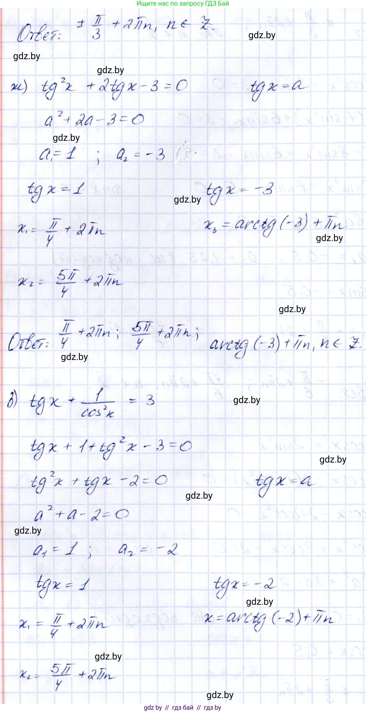
ж) Исходное уравнение: $ \text{tg}^2 x + 2\text{tg} x - 3 = 0 $.
Пусть $ t = \text{tg} x $. Переменная $t$ может принимать любые действительные значения.
Уравнение принимает вид: $ t^2 + 2t - 3 = 0 $.
По теореме Виета, корни $ t_1 = 1, t_2 = -3 $.
Выполним обратную замену:
1) $ \text{tg} x = 1 $. Решение: $ x = \arctan(1) + \pi k = \frac{\pi}{4} + \pi k $, где $ k \in \mathbb{Z} $.
2) $ \text{tg} x = -3 $. Решение: $ x = \arctan(-3) + \pi n = -\arctan(3) + \pi n $, где $ n \in \mathbb{Z} $.
Ответ: $ x = \frac{\pi}{4} + \pi k, \quad x = -\arctan(3) + \pi n, \quad k, n \in \mathbb{Z} $.

з) Исходное уравнение: $ \text{tg} x + \frac{1}{\cos^2 x} = 3 $.
Область допустимых значений: $ \cos x \ne 0 $, то есть $ x \ne \frac{\pi}{2} + \pi k, k \in \mathbb{Z} $. Используем тождество $ \frac{1}{\cos^2 x} = 1 + \text{tg}^2 x $.
$ \text{tg} x + (1 + \text{tg}^2 x) = 3 $
$ \text{tg}^2 x + \text{tg} x - 2 = 0 $.
Пусть $ t = \text{tg} x $.
$ t^2 + t - 2 = 0 $.
Корни этого уравнения $ t_1 = 1, t_2 = -2 $.
Выполним обратную замену:
1) $ \text{tg} x = 1 $. Решение: $ x = \frac{\pi}{4} + \pi k $, где $ k \in \mathbb{Z} $.
2) $ \text{tg} x = -2 $. Решение: $ x = \arctan(-2) + \pi n = -\arctan(2) + \pi n $, где $ n \in \mathbb{Z} $.
Оба семейства решений удовлетворяют ОДЗ, так как тангенс для них определен.
Ответ: $ x = \frac{\pi}{4} + \pi k, \quad x = -\arctan(2) + \pi n, \quad k, n \in \mathbb{Z} $.

Помогло решение? Оставьте отзыв в комментариях ниже.

Присоединяйтесь к Телеграм-группе @gdz_by_belarus

Присоединиться

Мы подготовили для вас ответ c подробным объяснением домашего задания по алгебре за 10 класс, для упражнения номер 1.355 расположенного на странице 114 к учебнику 2019 года издания для учащихся школ и гимназий.

Теперь на нашем сайте ГДЗ.ТОП вы всегда легко и бесплатно найдёте условие с правильным ответом на вопрос «Как решить ДЗ» и «Как сделать» задание по алгебре к упражнению №1.355 (с. 114), авторов: Арефьева (Ирина Глебовна), Пирютко (Ольга Николаевна), учебного пособия издательства Народная асвета.