Номер 1.356, страница 114 - гдз по алгебре 10 класс учебник Арефьева, Пирютко

Алгебра, 10 класс Учебник, авторы: Арефьева Ирина Глебовна, Пирютко Ольга Николаевна, издательство Народная асвета, Минск, 2019, голубого цвета

Авторы: Арефьева И. Г., Пирютко О. Н.

Тип: Учебник

Издательство: Народная асвета

Год издания: 2019 - 2025

Цвет обложки: голубой с графиком

Допущено Министерством образования Республики Беларусь

Популярные ГДЗ в 10 классе

Глава 1. Тригонометрия. Параграф 8. Тригонометрические уравнения - номер 1.356, страница 114.

№1.356 (с. 114)
Условие. №1.356 (с. 114)
скриншот условия
Алгебра, 10 класс Учебник, авторы: Арефьева Ирина Глебовна, Пирютко Ольга Николаевна, издательство Народная асвета, Минск, 2019, голубого цвета, страница 114, номер 1.356, Условие

1.356. Используйте способ разложения на множители и решите уравнение:

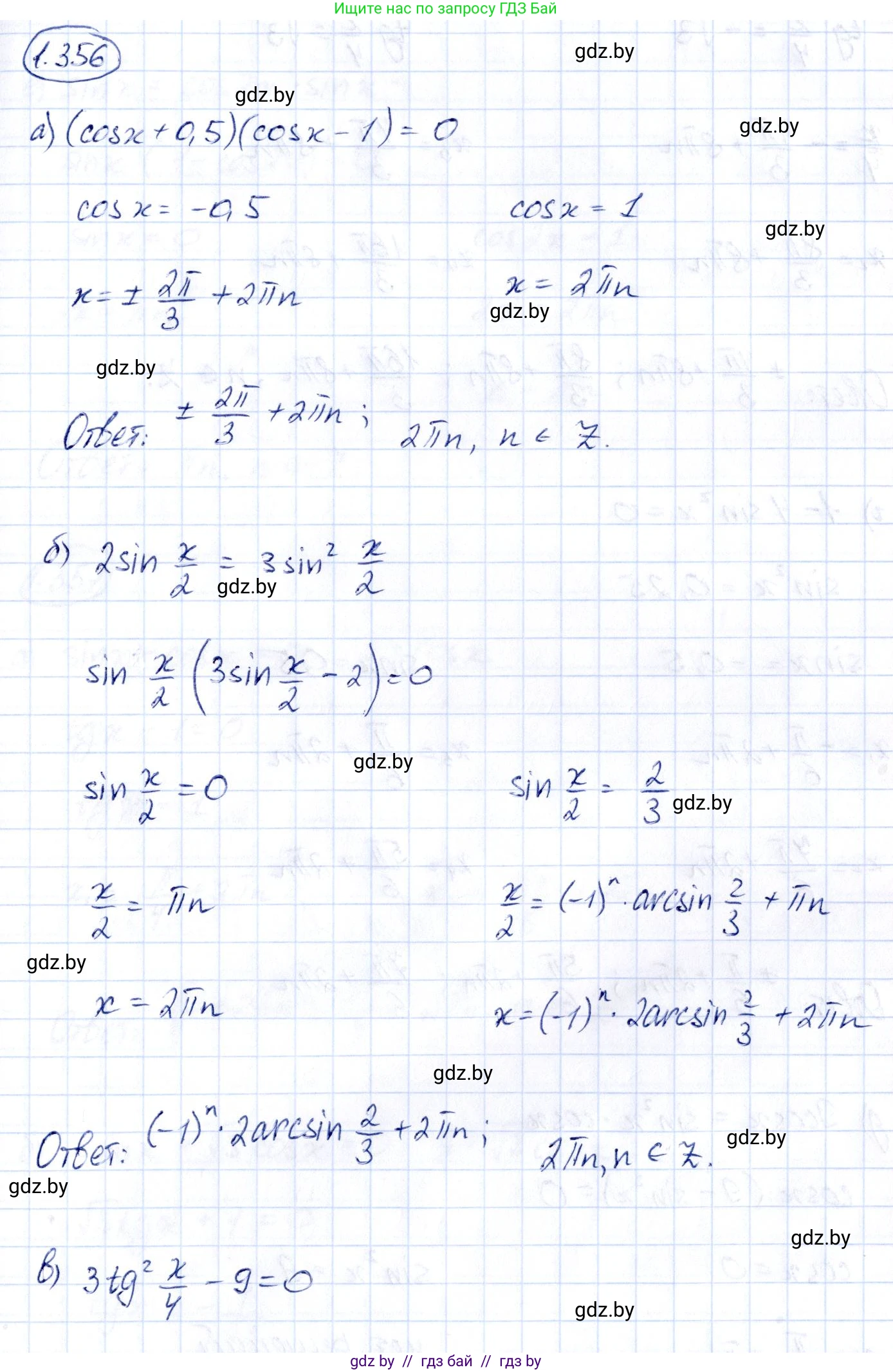
a) $(\cos x + 0,5)(\cos x - 1) = 0;$

б) $2\sin \frac{x}{2} = 3\sin^2 \frac{x}{2};$

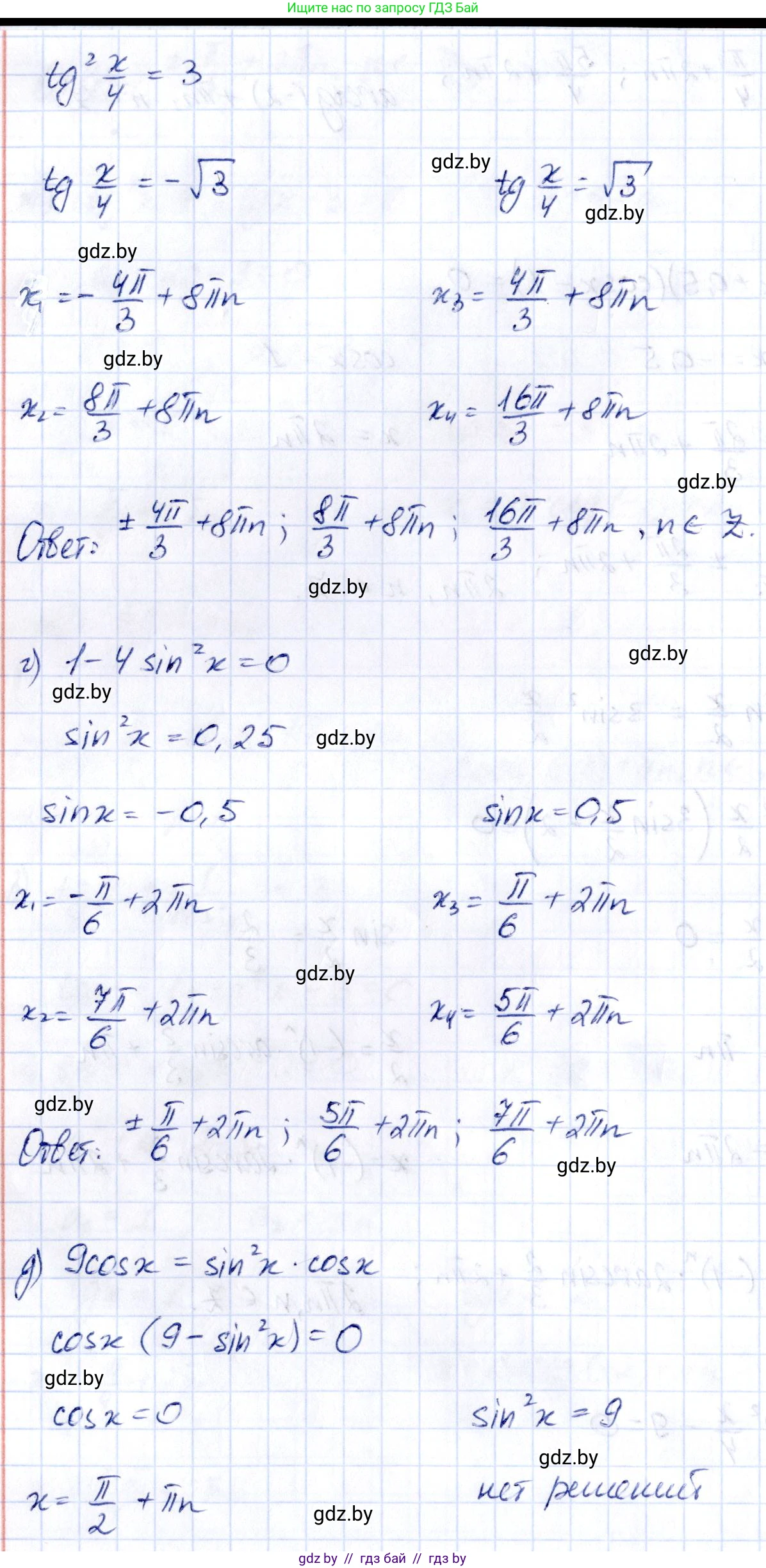
в) $3\tan^2 \frac{x}{4} - 9 = 0;$

г) $1 - 4\sin^2 x = 0;$

д) $9\cos x = \sin^2 x \cos x;$

е) $\sin x = \cos 2x \sin x.$

Решение. №1.356 (с. 114)
Алгебра, 10 класс Учебник, авторы: Арефьева Ирина Глебовна, Пирютко Ольга Николаевна, издательство Народная асвета, Минск, 2019, голубого цвета, страница 114, номер 1.356, Решение Алгебра, 10 класс Учебник, авторы: Арефьева Ирина Глебовна, Пирютко Ольга Николаевна, издательство Народная асвета, Минск, 2019, голубого цвета, страница 114, номер 1.356, Решение (продолжение 2)
Решение 2. №1.356 (с. 114)

а) $(\cos x + 0,5)(\cos x - 1) = 0$

Данное уравнение представляет собой произведение двух множителей, равное нулю. Это возможно только в том случае, если хотя бы один из множителей равен нулю. Таким образом, мы получаем совокупность двух уравнений:

$\cos x + 0,5 = 0$ или $\cos x - 1 = 0$

Решим каждое уравнение отдельно:

  1. $\cos x = -0,5$

    Это простейшее тригонометрическое уравнение. Его решения находятся по формуле:

    $x = \pm \arccos(-0,5) + 2\pi k$, где $k \in \mathbb{Z}$

    Так как $\arccos(-0,5) = \pi - \arccos(0,5) = \pi - \frac{\pi}{3} = \frac{2\pi}{3}$, то получаем:

    $x = \pm \frac{2\pi}{3} + 2\pi k, k \in \mathbb{Z}$

  2. $\cos x = 1$

    Это частный случай простейшего тригонометрического уравнения. Его решения:

    $x = 2\pi n$, где $n \in \mathbb{Z}$

Объединяя найденные серии решений, получаем окончательный ответ.

Ответ: $x = \pm \frac{2\pi}{3} + 2\pi k, k \in \mathbb{Z}$; $x = 2\pi n, n \in \mathbb{Z}$.


б) $2\sin\frac{x}{2} = 3\sin^2\frac{x}{2}$

Перенесем все члены уравнения в одну сторону и вынесем общий множитель за скобки.

$3\sin^2\frac{x}{2} - 2\sin\frac{x}{2} = 0$

$\sin\frac{x}{2} \left(3\sin\frac{x}{2} - 2\right) = 0$

Произведение равно нулю, если один из множителей равен нулю:

$\sin\frac{x}{2} = 0$ или $3\sin\frac{x}{2} - 2 = 0$

Решим каждое уравнение:

  1. $\sin\frac{x}{2} = 0$

    $\frac{x}{2} = \pi k, k \in \mathbb{Z}$

    $x = 2\pi k, k \in \mathbb{Z}$

  2. $3\sin\frac{x}{2} - 2 = 0 \implies \sin\frac{x}{2} = \frac{2}{3}$

    $\frac{x}{2} = (-1)^n \arcsin\left(\frac{2}{3}\right) + \pi n, n \in \mathbb{Z}$

    $x = 2(-1)^n \arcsin\left(\frac{2}{3}\right) + 2\pi n, n \in \mathbb{Z}$

Ответ: $x = 2\pi k, k \in \mathbb{Z}$; $x = 2(-1)^n \arcsin\left(\frac{2}{3}\right) + 2\pi n, n \in \mathbb{Z}$.


в) $3\text{tg}^2\frac{x}{4} - 9 = 0$

Сначала выразим $\text{tg}^2\frac{x}{4}$:

$3\text{tg}^2\frac{x}{4} = 9$

$\text{tg}^2\frac{x}{4} = 3$

Извлечем квадратный корень из обеих частей уравнения:

$\text{tg}\frac{x}{4} = \pm\sqrt{3}$

Это дает нам два случая, которые можно объединить в одну формулу:

$\frac{x}{4} = \pm \arctan(\sqrt{3}) + \pi k, k \in \mathbb{Z}$

$\frac{x}{4} = \pm \frac{\pi}{3} + \pi k, k \in \mathbb{Z}$

Умножим обе части на 4, чтобы найти $x$:

$x = \pm \frac{4\pi}{3} + 4\pi k, k \in \mathbb{Z}$

Дробь $\frac{4}{3}$ является неправильной. Выделим целую часть: $\frac{4}{3} = 1\frac{1}{3}$.

Ответ: $x = \pm \mathbf{1}\frac{1}{3}\pi + 4\pi k, k \in \mathbb{Z}$.


г) $1 - 4\sin^2 x = 0$

Левую часть уравнения можно разложить на множители, используя формулу разности квадратов $a^2 - b^2 = (a-b)(a+b)$:

$1^2 - (2\sin x)^2 = 0$

$(1 - 2\sin x)(1 + 2\sin x) = 0$

Произведение равно нулю, если один из множителей равен нулю:

$1 - 2\sin x = 0$ или $1 + 2\sin x = 0$

Решим каждое уравнение:

  1. $\sin x = \frac{1}{2}$

    $x = (-1)^k \frac{\pi}{6} + \pi k, k \in \mathbb{Z}$

  2. $\sin x = -\frac{1}{2}$

    $x = (-1)^n \left(-\frac{\pi}{6}\right) + \pi n = (-1)^{n+1} \frac{\pi}{6} + \pi n, n \in \mathbb{Z}$

Эти две серии решений можно объединить в одну более компактную форму:

$x = \pm \frac{\pi}{6} + \pi k, k \in \mathbb{Z}$

Ответ: $x = \pm \frac{\pi}{6} + \pi k, k \in \mathbb{Z}$.


д) $9\cos x = \sin^2 x \cos x$

Перенесем все члены в левую часть и вынесем общий множитель $\cos x$ за скобки:

$9\cos x - \sin^2 x \cos x = 0$

$\cos x (9 - \sin^2 x) = 0$

Это уравнение распадается на два:

$\cos x = 0$ или $9 - \sin^2 x = 0$

Решим каждое из них:

  1. $\cos x = 0$

    $x = \frac{\pi}{2} + \pi k, k \in \mathbb{Z}$

  2. $9 - \sin^2 x = 0 \implies \sin^2 x = 9$

    $\sin x = \pm 3$

    Так как область значений функции синус $[-1, 1]$, это уравнение не имеет действительных корней.

Следовательно, решения исходного уравнения — это только решения первого уравнения.

Ответ: $x = \frac{\pi}{2} + \pi k, k \in \mathbb{Z}$.


е) $\sin x = \cos 2x \sin x$

Перенесем все члены уравнения в одну сторону:

$\sin x - \cos 2x \sin x = 0$

Вынесем общий множитель $\sin x$ за скобки:

$\sin x (1 - \cos 2x) = 0$

Произведение равно нулю, когда один из множителей равен нулю:

$\sin x = 0$ или $1 - \cos 2x = 0$

Решим каждое уравнение:

  1. $\sin x = 0$

    $x = \pi k, k \in \mathbb{Z}$

  2. $1 - \cos 2x = 0 \implies \cos 2x = 1$

    Это частный случай, решения которого:

    $2x = 2\pi n, n \in \mathbb{Z}$

    $x = \pi n, n \in \mathbb{Z}$

Обе серии решений совпадают. Поэтому общим решением является $x = \pi k, k \in \mathbb{Z}$.

Ответ: $x = \pi k, k \in \mathbb{Z}$.

Помогло решение? Оставьте отзыв в комментариях ниже.

Присоединяйтесь к Телеграм-группе @gdz_by_belarus

Присоединиться

Мы подготовили для вас ответ c подробным объяснением домашего задания по алгебре за 10 класс, для упражнения номер 1.356 расположенного на странице 114 к учебнику 2019 года издания для учащихся школ и гимназий.

Теперь на нашем сайте ГДЗ.ТОП вы всегда легко и бесплатно найдёте условие с правильным ответом на вопрос «Как решить ДЗ» и «Как сделать» задание по алгебре к упражнению №1.356 (с. 114), авторов: Арефьева (Ирина Глебовна), Пирютко (Ольга Николаевна), учебного пособия издательства Народная асвета.